rus | ua | other
Home
Random lecture
|
РОДОСЛОВНАЯ
Date: 2015-10-07; view: 499.

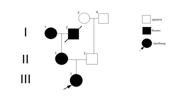
| III 1
| Войтович Анна 15.05.1992
| Высокий риск развития гипертонической болезни
| | II 1
| Войтович Елена 10.03.1972
| Гипертоническая болезнь II стадии
| | II 2
| Войтович Алексей 7.05.1963
| Здоров
| | I 1
| Богачевская Людмила 27.11.1952
| Гипертоническая болезнь
| | I 2
| Богачевский Сергей 12.02.1950
| Гипертоническая болезнь
| | I 3
| Войтович Нина 26.06.1948
| Здоров
| | I 4
| Войтович Федор 18.09.1946
| Здоров
|
Данные объективного обследования пробанда
Дата осмотра 23.02.2014
Возраст на время осмотра: 21 год
Антропометрические данные
Масса тела : 43 кг
Рост: 165 см
Окружность головы: 53 см
Окружность груди: 80 см
ЧДД:16 в'
ЧСС: 76 в'
Мышечный тонус: сохранен
Движения в суставах: активные в полном объеме
Физическое, психомоторное, психоречевое развитие: соответствует возрасту
|
| Норма
| Патология
| Опишите подробно все выявленные симптомы
| | Череп
| +
|
| Окружность 53 см
| | Уши
| +
|
| Маленькая мочка уха
| | Лицо
| +
|
| Вытянутой овальной формы,подбородок округлый, цвет волос -темно русый.
| | Цвет Глаз
| +
|
| Карие
| | Нос
| +
|
| Спинка носа вогнутая, кончик маленький закругленный,
| | Фильтр
| +
|
| 1.2 см
| | Губы
| +
|
| Нижняя губа больше верхней
| | Ротовая полость
| +
|
| Ортогнатический прикус
| | Язык
| +
| | | | Небо
| +
|
|
| | Шея
| +
|
| Длинная .Окружность 30 см
| | Легкие
| +
|
| ЖЕЛ 3,5 литра
| | Сердце
| | +
| Приобретенный пролапс митрального клапана без нарушения гемодинамики
| | Передняя стенка живота
| +
|
|
| | Печень
| +
|
|
| | Селезенка
| +
|
|
| | Кишечник
| +
|
|
| | Мочевыводящая система
| +
|
|
| | Половые органы
| +
|
|
| | Позвоночник
| +
|
| | | Грудная клетка
| +
|
| Астеническая, окружность 80 см
| | ЦНС, органы чувств
| +
|
|
| | Верхние конечности
| +
|
|
| | Ключицы
| +
|
|
| | Плече предплечье
| +
|
| Окружность плеча 20 см, предплечья 13,5см
| | Кисти
| +
|
|
| | Пальцы
| +
|
| Второй палец ноги длиннее большого, Указательный палец руки короче безымянного
| | Нижние конечности
| +
|
|
| | Бедро
| +
|
| Окружность 44см
| | Голень
| +
|
| Окружность 33см
| | Надколенник
| +
|
|
| | Стопы
| +
|
| | | Эндокринная система
| +
|
|
| | Щитовидная железа
| +
|
|
| | Надпочечники
| +
|
|
| | Дерматоглифика
| +
|
| Узоры на коже пальцев эллиптические
|
Медицинский заключение
Диагноз клинический: Пролапс митрального клапана без нарушения гемодинамики.
Рекомендации врача-генетика: Эссенциальная гипертензия - заболевание с генетической предрасположенностью: примерно у 50% больных обнаруживается наследственная предрасположенность к ЭГ, обусловленная мутацией в генах ангиотензиногена, рецепторов ангиотензина II, ангиотензинпревращающего фермента, ренина, альдостеронсинтетазы, β-субъединицы амилоридчувствительных натриевых каналов почечного эпителия и др. Вероятность развития АГ –высока . Неодходимо регулярно измерять артериальное давление. Отказаться от вредных привычек. Ограничить потребление жирной пищи и количество потребляемой соли. Регулярные физические нагрузки (зарядка, желательно на свежем воздухе, езда на велосипеде, активная ходьба). Стараться избегать стрессовых ситуаций. Поддерживать нормальный вес тела.
Фамилия врача-генетика Костюков В.В Подпись
Дата 22.02.14
|