Студопедия
rus | ua | other

Home Random lecture






Аутосомно-рецесивне успадкування


Date: 2015-10-07; view: 588.


На відміну від аутосомно-домінантного успадкування, при якому майже все уражене потомство є результат шлюбу між гетерозиготою та здоровою гомозиготою ( Аа х аа), більшість одружень, досліджуваних при рецесивних захворюваннях, трапляється між фенотипно нормальними гетерозиготами – Аа х Аа. У потомстві від такого шлюбу генотипи АА, Аа і аа будуть представлені у співвідношенні 1:2:1, і вірогідність того, що дитина виявиться ураженою (аа), складе 25%.

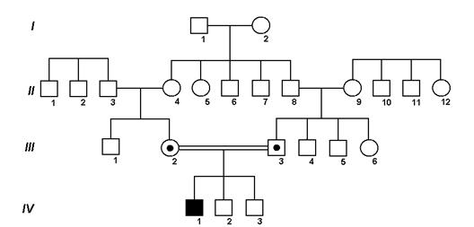
Розглянемо особливості аутосомно-рецесивного успадкування на прикладі пігментної ксеродерми – захворювання, яке недавно привернуло увагу спеціалістів з молекулярної генетики. Ця патологія супроводжується підвищеною чутливістю клітин шкіри до ультрафіолетових променів. Перші ознаки хвороби виявляються у віці 2-3 років, коли після перебування на сонці виникає стійка запальна реакція відкритих ділянок шкіри, особливо обличчя. У подальшому розвиваються процеси руйнування тканин шкіри, які завершуються злоякісними пухлинами. За відсутністю лікування наступає смерть. Хвороба може проявитися серед дітей близькоспоріднених шлюбів. На мал. 31 представлений типовий родовід, в якому батьки є двоюрідними братом та сестрою, які успадкували аномальний ген від спільного предка.

Мал. 31. Родовід з поодиноким випадком пігментної ксеродерми у шлюбі двоюрідних брата та сестри

 

Зниження числа споріднених шлюбів та зменшення розміру сім'ї в сучасному світі роблять все більш важким надійне визначення аутосомно-рецесивного типу успадкування генеалогічними засобами. За таких умов доцільно користуватися біохімічним або іншими сучасними методами дослідження генетики людини (див. розділи 3.6.2; 3.7; 3.8). Якщо захворювання рідкісне, і особливо якщо у дитини виявляються симптоми природженого порушення метаболізму і при цьому можна встановити відсутність певного ферменту, то рецесивний тип успадкування вельми вірогідний (звичайно за відсутності доказів протилежної можливості).

Генетична гетерогенність. Шлюби двох гомозигот за однією і тією ж рецесивною аномалією дуже рідкісні. При цьому всі діти уражені. В генетичній літературі описано ряд таких прикладів стосовно альбінізму. Однак, у деяких випадках у батьків-альбіносів народжувалися діти з нормальною пігментацією. Якщо ці діти не є позашлюбними, то можна припустити, що батьки гомозиготні за різними генами альбінізму. тобто в генотипі людини мають бути принаймні два локуси альбінізму. Таке явище дістало назву генетичної гетерогенності. Пізніше гетерогенність альбінізму була підтверджена за допомогою біохімічного методу.

Генетична гетерогенність була виявлена та підтверджена багатьма методами також для спадкової глухонімоти (мал. 32). Зверніть увагу, що в представленому родоводі обоє батьків мають уражених рідних братів та сестер. До того ж вони є дітьми близькоспоріднених шлюбів. Проте двоє їх синів не глухі, бо є подвійними гетерозиготами за двома різними генами глухонімоти – АаВв. Батьки ж були гомозиготами ААвв та ааВВ відповідно.

Мал. 32. Родовід з глухонімотою, що ілюструє генетичну гетерогенність

 

До ознак з генетичною гетерогенністю у людини відносяться пряме волосся, світлі очі, кирпатий ніс, тонка шкіра, резус-від'ємна 1-ша група крові, численні хвороби обміну речовин (фенілкетонурія, галактоземія, гістидінемія тощо).

Експресивність генів у межах сім'ї за аутосомно-рецесивного успадкування, як правило, більш однорідна, ніж за домінантного. Однак міжсімейна мінливість може бути досить істотною. Неповна пенетрантність рецесивних алелей у популяціях зустрічається досить рідко.

За аутосомно-рецесивним принципом успадковуються такі морфологічні ознаки людини як світле, пряме, м'яке або руде волосся, блакитні або сірі очі, тонкі губи, прямий ніс, високий зріст, а також численні, крім згаданих вище, спадкові патології: мікроцефалія (недорозвиненість мозкової частини черепа), амавротична ідіотія (хвороба Тея – Сакса), схильність до алергії, цукрового діабету, туберкульозу, шизофренії та інші.


<== previous lecture | next lecture ==>
Аутосомно-домінантне успадкування | Інші типи домінування ознак
lektsiopedia.org - 2013 год. | Page generation: 0.388 s.