Студопедия
rus | ua | other

Home Random lecture






Задание 2.5


Date: 2015-10-07; view: 963.


Задание 2.4

Определите размер выборки при опросе с помощью анкеты с альтернативным вопросом, если желаемый коэффициент доверия равен 2, ожидаемая вероятность составляет 0.2, а максимально возможная ошибка равна 0.06.

Определите численность случайной бесповторной выборки (опрашиваемый выбирается случайно и второй раз уже не опрашивается), если генеральная совокупность составляет 100 тыс. чел. Дисперсия, как показывают данные предыдущих аналогичных исследований, составляет ±5 руб./человек. Коэффициент доверия может быть равен 2, а предельная ошибка – 1 руб.

Примечание. Формулы для решения задания 2.4-2.5:

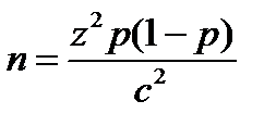
Размер выборки определяется: , где z – желаемый коэффициент доверия; р – ожидаемая вероятность; с – максимально возможная ошибка.

Расчет числа единиц выборки определяется:

,

где: t – коэффициент доверия, вычисляемый по специальным таблицам в зависимости от вероятности, с которой можно гарантировать, что предельная ошибка не превысит t-кратную ошибку;

σ2 – выборочная дисперсия (определяется на основе эксперимента или по аналогам, имевшимся в прошлом);

∆ - предельно допустимая ошибка выборки;

N – численность генеральной совокупности.


<== previous lecture | next lecture ==>
Задание 2.3 | Задание 2.6
lektsiopedia.org - 2013 год. | Page generation: 0.904 s.