Студопедия
rus | ua | other

Home Random lecture






А) индексы структуры


Date: 2015-10-07; view: 375.


Индекс цен переменного состава: Индекс цен постоянного состава:

 

 
 


Индекс cтруктуры:

 
 


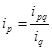
Взаимосвязь между индексами:

б) индивидуальные и общие индексы

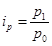
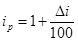
Индивидуальный индекс цен

рассчитывается по формуле:

 
 


Индивидуальный индекс физического объема рассчитаем по формуле:

 

       
   
 
 


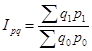
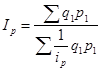
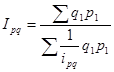
Общий индекс цен рассчитывается по формуле:

 
 


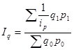
Общий индекс физического объема рассчитывается по формуле:

 

Общий индекс товарооборота

рассчитывается по формулам:

 
 


Разложение абсолютного прироста по факторам можно записать в виде:

 

 

Индекс физического объема товарооборота:

 

Общий индекс товарооборота: , где

 

 


<== previous lecture | next lecture ==>
Ж) индексы производительности труда | 
lektsiopedia.org - 2013 год. | Page generation: 0.599 s.