Студопедия
rus | ua | other

Home Random lecture






Ж) индексы производительности труда


Date: 2015-10-07; view: 292.


           
   
     
 
 

 


Тема: ряды динамики

 
 


Формула Стерджесса:

 
 


величина интервала определяется по формуле: ,

 

где x max и x min - максимальное и минимальное значения признака в совокупности, n - число групп.

       
   
 


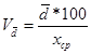
Средний годовой темп: роста

       
   
 
 


прироста

       
   
 


средний абсолютный прирост:

       
   
 


Абсолютный прирост: базисный ; цепной

       
 
   
 


Темпы роста, %: базисный ; цепной

       
   
 


Коэф-ты роста:

 
 


Абсолют. значение 1 % прироста А% =

 
 


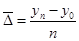
Ожидаемый уровень ряда:

 
 


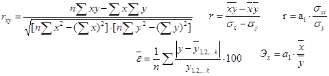
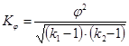
Коэффициент детерминации:

 

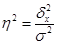
Эмпирическое корреляционное отношение:

 

Для качественной оценки тесноты связи между среднегодовой стоимостью основных производственных фондов и выпуском продукции на основании показателя эмпирического корреляционного отношения воспользуемся соотношениями Чеддока:

 
 

0,1-0,3 0,3-0,5 0,5-0,7 0,7-0,9 0,9-0,99                
Сила связи слабая умеренная заметная тесная весьма тесная                

 

Коэффициенты для нахождения линейной связи между рядами y и t

       
   

 


Тема: вариация

 
 


Размах вариации:

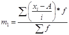
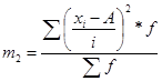
Среднее значение признака в каждой группе: xср = m1 i + A,где

 
 


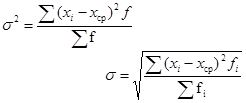
Дисперсия: , где

               
   
 
 
     
       
 
 

 

 


Среднее квадратическое отклонение:

 

 
 


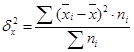
Групповая дисперсия:

       
   

 


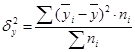
Межгрупповая дисперсия:

 

       
   

 


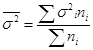
Средняя из групповых дисперсий (выборочная дисперсия):

 
 


Правило сложения дисперсий:

 
 


Мода вычисляется по формуле:

 
 

 


Медиана:

 

 

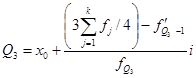
Квартиль первого порядка: Квартиль третьего порядка:

                   
   
     
 
 
     
 

 


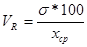
Коэффициент вариации:

 

Линейный коэффициент вариации:

 
 

 


Среднее линейное отклонение (взвешенное):

 
 

 


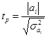
Критерий Стьюдента для оценки линейного коэф-та корреляции:

 

 
 

 


Фактические значения t-критерия: для параметра а0:

 

 
 


для параметра а1:

 
 


Коэффициент Фехнера:

 
 

 


Средние показатели при вариации вокруг средней доли:

 

Коэффициент корреляции ryx:

 
 

 

 


Коэффициент эластичности:

 

 

 
 


Коэффициент ассоциации:

 
 

 


Коэффициент контингенции:

 

 
 

 


Показатель взаимной сопряженности Чупрова:

 

 
 

 

 


Первый коэффициент автокорреляции:

 

 
 

 


Среднее квадратическое отклонение:

 

 
 


RS-критерий:

 

 

Тема: выборочное наблюдение

 

 

Предельная ошибка выборочной доли определяется по формуле:

           
   
 
 
   

 

 


Предельная ошибка выборки (при бесповторном случайном отборе):

 
 


Средняя ошибка выборки:

 
 


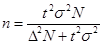
Численность выборки по формуле составит:

 

 
 


Границы генеральной доли P = W +

 
 


Дисперсия выборочной доли:

 

 

Тема: статистика уровня жизни, социальная

 
 


Децильный коэффициент дифференциации доходов (kдец):

 
 


Квинтильный коэффициент дифференциации доходов населения (kквинт):

 

Квартильный коэффициент дифференциации доходов населения (kкварт):

 

Коэффициент концентрации доходов Лоренца (L):

 

 
 


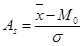
Коэффициент жизненности В.И.Покровского:

 
 

 


Общий коэффициент брачности (Кбр):

 
 


Общий коэффициент разводов (Кразв):

 
 


Коэффициент соотношения браков и разводов (Кр/б):

 
 


Специальный коэффициент рождаемости или показатель фертильности (Кф):

 
 

 


Коэффициент младенческой смертности (Кмл.см.):

 
 

 


Коэффициент механического прироста:

 

 
 


Коэффициент экономической активности населения:

 
 


Коэффициент занятости населения:

 

Коэффициент безработицы:

 

 

 
 


Общий коэффициент рождаемости:

 

 
 


Коэффициент смертности:

 

 
 


Коэффициент естественного прироста:

 

 
 


Коэффициент прибытия (Кпр):

 

 
 


Общий коэффициент выбытия (КВыб):

 


<== previous lecture | next lecture ==>
 | 
lektsiopedia.org - 2013 год. | Page generation: 1.539 s.