Студопедия
rus | ua | other

Home Random lecture






Определители, матрицы, системы


Date: 2015-10-07; view: 755.


5.1.1-5.1.4 Вычислить определитель:

5. ;5. ;5. ;5. ;

5.1.5 Проверить, что ;

5.1.6-5.1.7 Решить уравнение: 5.1.6 =0; 5.1.7 =0;

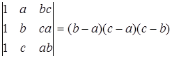
5.1.8 Доказать тождество: .

5.1.9 Вычислить: 3А+2В, где А= ; В= ;

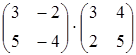
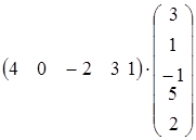
5.1.10-5.1.13 Найти произведение матриц:

5.1.10 ;5.1.11 ;

5.1.12 ;5.1.13 ;

5.1.14-5.1.15 Найти матрицу, обратную данной:

5.1.14 А= ; 5.1.15 ;

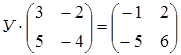
5.1.16-5.1.17 Решить матричное уравнение:

5.1.16 ;5.1.17 ;

5.1.18 , где Найти ;

5.1.19-5.1.20Найти те из произведений матриц , , которые существуют:

5.1.19 ;5.1.20 ;

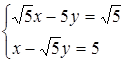
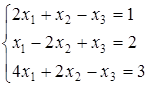
5.1.21-5.1.23Решить систему по формулам Крамера и с помощью обратной матрицы:

5.1.21 ;5.1.22 ;5.1.23 ;

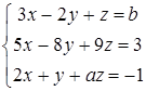
5.1.24 Определить, при каких значениях и система

- имеет единственное решение;

- не имеет решений;

- имеет бесконечно много решений.

 

5.1.25-5.1.27 Определить ранг матрицы и указать какой-либо базисный минор:

5.1.25 ;5.1.26 ;

5.1.27 ;

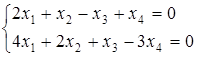
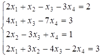
5.1.28-5.1.30 Исследовать систему на совместность и в случае совместности найти все ее решения:

 

5.1.28 ;5.1.29 ;

5.1.30 ;

 

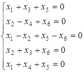
5.1.31-5.1.33 Найти общее решение и фундаментальный набор решений системы:

5.1.31 ;5.1.32 ;

5.1.33 ;

5.2. Элементы векторной алгебры

5.2.1 Указать коллинеарные векторы:

5.2.2 На плоскости заданы векторы . Доказать (графически и аналитически), что базис. Найти разложение вектора по базису.

5.2.3 Задана тройка некомпланарных векторов . Найти координаты вектора в базисе и написать соответствующее разложение.

5.2.4 Коллинеарны ли векторы и , построенные по векторам и . .

5.2.5 Дано: . Найти: .

5.2.6 Найти векторное произведение .

5.2.7 Компланарны ли векторы .

5.2.8 Образуют ли вектора базис?

5.2.9 Найти площадь параллелограмма, построенного на векторах и , как на сторонах, где .

5.2.10 Разложить вектор по векторам , если .


<== previous lecture | next lecture ==>
Задачи для самоконтроля | Комплексные числа
lektsiopedia.org - 2013 год. | Page generation: 0.775 s.