Студопедия
rus | ua | other

Home Random lecture






Классическая теория электролитической диссоциации


Date: 2015-10-07; view: 485.


Классическая теория электролитической диссоциации была создана С. Аррениусом и В. Оствальдом в 1887 году. Аррениус придерживался физической теории растворов, не учитывал взаимодействие электролита с водой и считал, что в растворах находятся свободные ионы. Русские химики И. А. Каблуков и В. А. Кистяковский применили для объяснения электролитической диссоциации химическую теорию растворов Д. И. Менделеева и доказали, что при растворении электролита происходит его химическое взаимодействие с водой, в результате которого электролит диссоциирует на ионы.

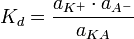
Классическая теория электролитической диссоциации основана на предположении о неполной диссоциации растворённого вещества, характеризуемой степенью диссоциации α, т. е. долей распавшихся молекул электролита. Динамическое равновесие между недиссоциированными молекулами и ионами описывается законом действующих масс . Например, электролитическая диссоциация бинарного электролита KA выражается уравнением типа:

Константа диссоциации определяется активностями катионов , анионов и недиссоциированных молекул следующим образом:

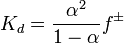
Значение зависит от природы растворённого вещества и растворителя, а также от температуры и может быть определено несколькими экспериментальными методами. Степень диссоциации (α) может быть рассчитана при любой концентрации электролита с помощью соотношения:

,

где — средний коэффициент активности электролита.


<== previous lecture | next lecture ==>
Диссоциация при плавлении | Сильные электролиты
lektsiopedia.org - 2013 год. | Page generation: 1.186 s.