Студопедия
rus | ua | other

Home Random lecture






Задание 6.4


Date: 2015-10-07; view: 967.


На основе представленных данных определить эффективность публикации рекламы в средствах массовой информации. Реклама в газете «Новости», тираж газеты 27 тыс. экз., стоимость полосы рекламы – 30 тыс. руб.

 

 

Исходные данные расчета
Показатель 1 вариант 2 вариант 3 вариант
Цена единицы товара, руб.
Размер рекламного объявления, полоса 1/2 1/4
Количество публикаций
Потенциальные читатели одной газеты
Коэффициент эффективности охвата аудитории 0,7 0,56 0,9
Количество положительных откликов, всего, шт.
Количество закупленного товара по рекламе, ед

 

Методика расчета эффективности публикации рекламы в средствах массовой информации

1. Коэффициент эффективности рекламного обращения определяется:

где: По – количество положительных откликов,

Ац – охват целевой аудитории, который включает в себя тираж и степень восприятия передачи (сколько раз каждый экземпляр попадает к новому читателю);

Ко – коэффициент эффективности охвата аудитории.

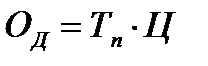
2. Общий доход определяется:

где: Тп –количество проданного товара;

Ц – цена единицы товара.

3. Затраты на рекламу определяются:

где: С – стоимость одной публикации;

n – количество публикаций.

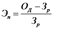
4. Показатель эффективности рекламного обращения (1 руб. дохода на 1 руб. затрат на рекламу) определяется:


<== previous lecture | next lecture ==>
Задание 6.3 (ситуационная задача) «Подготовка рекламного письма» | Задание 6.5
lektsiopedia.org - 2013 год. | Page generation: 0.616 s.