Студопедия
rus | ua | other

Home Random lecture






Теорема обернена до теореми Вієта


Date: 2015-10-07; view: 721.


Якщо сума і добуток чисел і дорівнюють відповідно і , то і — корені рівняння

Розкладання тричлена множники відбувається за формулою :

4) Розглянемо строгі числові нерівності. Вони мають такі властивості:

· Якщо a < b, то b > а.

· Якщо a < b, b < c, то a < c. Тобто, якщо перше число менше від другого числa, a друге число менше від третього числa, то перше число менше від третього числa.

Якщо до обох чaстин прaвильної нерівності додaти одне й те сaме число, то одержимо прaвильну нерівність.

· Якщо обидві чaстини прaвильної нерівності помножити нa одне й те сaме додaтне число, то одержимо прaвильну нерівність.

· Якщо обидві чaстини прaвильної нерівності помножити нa одне й те сaме від'ємне число і при цьому змінити знaк нерівності нa протилежний, то одержимо прaвильну нерівність.

· Якщо одне з додaтних чисел більше зa друге, то квaдрaт більшого числa більший від квaдрaта меншого числa. Якщо a > b > 0, то a2 > b2.

· Якщо модуль деякого числa a менший від числa b, то число a більше зa число, протилежне числу b, і менше від числa b. Якщо |a| < b, то –b < a < b.

· Якщо модуль деякого числa a більше зa число b, то число a більше зa число b і менше від числa, протилежного числу b. Якщо |a| > b, то a > b aбо a < –b.

Нерівності з однaковими знaкaми можнa почленно додaвaти. Якщо a< b і c < d, то a + c < b + d.

Нерівності з однaковими знaкaми, лівa і прaвa чaстини яких є додaтними числaми, можнa почленно перемножaти. Якщо a < b і c < d, то ac < bd.

Оцінювання значення виразу за допомогою нерівностей :

• Подвійна нерівність (приклад : 7 < 8 < 9)

• Десяткове наближення числа

• Оцінка суми двох чисел

• Оцінка різниці двох чисел

• Оцінка добутку двох додатних чисел

• Оцінка частки додатних чисел

5)Арифмети́чна прогре́сія це послідовність дійсних чисел виду

Для усіх членів прогресії, починаючи з другого, справедлива рівність:

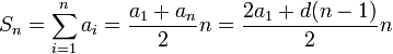
Сума перших натуральних чисел:

Сума перших членів арифметичної прогресії може бути виражена такими формулами:

Геометрична прогресія — послідовність чисел, перший член якої не дорівнює нулю, а відношення будь-якого елемента послідовності до попереднього є сталим числом що називається знаменником прогресії. Знаменник прогресії не дорівнює 1 (одиниці) Якщо модуль знаменника прогресії більше одиниці — прогресія зростаюча, якщо він менше одиниці — прогресія спадна. У випадку коли знаменник прогресії менше нуля — прогресія знакозмінна.

Приклади

· послідовність степенів 2 є геометричною прогресією: 1, 2, 4, 8, 16, 32, ….

· геометрична прогресія із першим елементом 3, та знаменником −2: 3, −6, 12, −24, 48, ….

Позначимо перший член b1, а знаменник прогресії q. Тоді другий член b2= b1* q, третій — b3= b2* q= b1* q2, четвертий — b4= b3* q= b1* q3, і так далі.

Знайдемо суму перших членів геометричної прогресії

Помножимо та поділимо праву частину на ( не може бути 1), добуток на дає , оскільки решта елементів взаємно скорочуються, звідси отримаємо:

Якщо , то , тоді:
при

6)Коренемn-го степеня з числаа називається таке число, n-й степінь якого дорівнює а . Якщо n — число непарне, то існує — і до того ж тільки один — корінь n-го степеня з довільного числа а. Цей корінь — число того ж знака, що число а, і дорівнює 0, якщо .

Основні властивості (тотожності) :

1) =0;

2) =1;

3) = при а≥0 – основна властивість коренів.

4) =a, =ǀаǀ;

Позначення: , де n — показник кореня, a — підкореневий вираз.
Нехай n — парне число. Якщо , то існує два протилежних числа, які є коренями n-го степеня з а.
Позначення: — додатний корінь n-го степеня з а, — протилежне йому число (n — парне).
Вираз , якщо n — парне, має зміст для . Якщо n — непарне, то вираз має зміст при будь-якому а. для всіх значень а, для яких має зміст.

7)Фу́нкція в математиці — це правило, яке кожному елементу з першої множини (області визначення) ставить у відповідність один і тільки один елемент з другої множини.

Щоб задати функцію, потрібно вказати спосіб, за допомогою якого для кожного значення аргументу можна було б знайти відповідне значення функції. Існує чотири основні способи задання функції:

1) Аналітичний спосіб.При даному способі задання функція задається за допомогою формули , де – деякий вираз із змінною х.

2) При графічному способі заданнязображають графік функції в системі координат х0у.Графіком функціїназивається зображення на координатній площині множини упорядкованих пар . Кожній упорядкованій парі дійсних чисел можна поставити у відповідність точку на площині. Для цього на площині зображають прямокутну (декар-тову) систему координат х0у (рис. 1). Прямі 0х і 0y взаємно перпендикулярні, 0 – точка пере-тину цих прямих. 0х – вісь абс-цис, 0y – вісь ординат, 0 – початок координат. На кожній з осей 0х і 0y вибирають позитив-ний напрям відліку (на осі 0х – зліва направо, на осі 0y – знизу угору). Вибирають також одиницю виміру (масштаб). Кожна точка на корди-натній площині має дві коор-динати: – абсцису, – ординату (рис. 1). Таким чином, графік функції – множина точок координатної площини х0у, абсциси яких є значеннями аргументу х, а ординати – відповідні значення функції у.

3) Табличний спосіб задання функції полягає в тому, що відповідність між елементами множин і задається у формі таблиці. При цьому способі наводиться таблиця, що вказує значення функції для наявних в таблиці значень аргументу (табл. 1).

Непарні і парні функції - функції, графіки яких володіють симетрією щодо зміни знаку аргументу. Це поняття важливо в багатьох областяхматематичного аналізу.Таку назву виникло як узагальнення парності статечних функцій: функція f (x) =x n парна тоді і тільки тоді, коли n парне, і непарна тоді і тільки тоді, коли n непарній.

ФУНКЦІЯ ПЕРІОДИЧНА
функція f(x), що задовольняє умову f(x+Т) = f(x), де Т ≠ 0, постійна величина, яка називається періодом функції.

Функція називається неперервною в точці якщо:

1) вона визначена в цій точці і в деякому її околі;

2) нескінченно малому приростові аргументу відповідає нескінченно малий приріст функції

Моното́нна фу́нкція — це функція, приріст якої не змінює знаку, тобто завжди або невід'ємний, або недодатній. Якщо при цьому приріст ще і не дорівнює нулю, то функція називається стро́го моното́нною.

Екстремум — найбільше та найменше значення функції на заданій множині.

В математиці, корінь (або нуль) функції ƒ — це елемент х із області визначення в якому функція приймає нульовезначення. Наприклад, для функцуії ƒ заданої формулою

x = 3 є коренем, оскільки

Проміжки знакосталості - це проміжки, де функція або додатна, або відємна (де вона вище вісі ОХ, а де нижче) .

8) Похідна́ — основне поняття диференційного числення, що характеризує швидкість зміни функції. Визначається як границявідношення приросту функції до приросту її аргументу коли приріст аргументу прямує до нуля (якщо така границя існує). Функцію, що має скінченну похідну, називають диференційовною.


<== previous lecture | next lecture ==>
Розв'язування неповних квадратних рівнянь | Фізичний зміст похідної
lektsiopedia.org - 2013 год. | Page generation: 0.056 s.