Студопедия
rus | ua | other

Home Random lecture






Глава 5. Маркетинг взаимодействия: ценовая политика


Date: 2015-10-07; view: 425.


ся к максимизации затрат. Такие ситуации наблюдаются, к примеру, при обще­ственных заказах.

К прочим косвенным акциям приспособления цен в условиях инфляции мож­но отнести изменение размера упаковки, а также различные комбинации «цена-количество» продукта.

Данные о структуре затрат и цен используются при установлении скользящих цен на сложное оборудование (прокатные станы, турбогенераторы и т. д.), на про­дукцию, которая требует длительного срока изготовления (суда), а также в миро­вой торговле.

Определение скользящих цен в мировой торговле сводится к следующему. В контракте указывается базисная цена на дату заключения контракта и ее со­ставляющие элементы, например: 45% — заработная плата, 40% — стоимость сы­рья и материалов, 15% — неизменная часть цены (прибыль, накладные расходы и др.). Цены на материалы и ставки заработной платы на момент заключения сдел­ки также фиксируются в контракте.

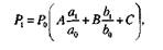
Зависимость конечной цены от изменения цен на материалы и ставок заработ­ной платы можно представить в виде формулы скольжения:

где Р1 — окончательная цена оборудования; Р0 — базисная цена оборудования; А — доля в цене материальных затрат; В — доля в цене заработной платы и В представляют собой скользящую часть цены); а0базисные цены материалов; а1цены материалов за пери­од скольжения; b0базисные ставки заработной платы; b1 — ставки заработной платы за период скольжения; С — неизменная часть цены.

Рассмотрим пример расчета скользящей цены (табл. 5.17). В контракте указана цена товара — 6 млн руб. Срок поставки товара через год начиная со дня подписания контракта. Оговорено, что производитель будет пересматривать рост заработной платы на основе национального индекса ее роста, а рост затрат на сталь — на основе индекса цен на стальной прокат. В контракте также оговорено, что 70% роста затрат будет включено в новую цену, а 30% будут погашены самим производителем.

Таблица 5.17. Расчет скользящей цены

 

Структура затрат Базовые затраты, млн руб. Базовый индекс затрат Прирост индекса, % Доля прироста, учиты­ваемая в цене, % Прирост в соответ­ствии с контрак­том, тыс. руб.
Заработная плата Национальный индекс заработной платы
Материалы (сталь) Индекс цен стального проката
Другие затраты, включая прибыль
Всего

5.2. Факторы, влияющие на политику цен предприятия 341

Как видим, цена возросла на 350 тыс. руб., контрактная цена на момент постав­ки должна составить 6 млн 350 тыс. руб. Скользящие цены защищают прибыли производителя. Покупатель тоже имеет защиту, так как при пересчете затрат ис­пользуются официально публикуемые индексы.

5. Налоги. На политику цен предприятия оказывают влияние налоги. К налогу,
входящему в состав себестоимости продукции, относится социальный налог. Став­
ка социального налога влияет на уровень себестоимости и долю прибыли в цене.
Чем выше эта ставка, тем выше себестоимость и ниже доля прибыли. В цену про­
дукции включаются косвенные налоги, влияющие на уровень цен, а также на уро­
вень и структуру спроса. Это налог на добавленную стоимость, акцизы, таможен­
ные пошлины. К прямым налогам относится налог на прибыль.

Чем выше ставки налогов, тем выше затраты и цены. Потребление продукции при высоких ставках налогов в случае эластичного спроса ниже, чем при меньших ставках налогов. Снижение действующих ставок налогов увеличивает разрыв меж­ду действующими ценами и затратами, создает потенциальную возможность для снижения цен. Отметим, что снижение действующих ставок налога не обязательно должно сопровождаться снижением текущих цен. Если рынок принимает действу­ющие цены, то предприятие не пойдет на их снижение. Снижение налогов способ­ствует повышению активности предприятий. Чем ниже налог на прибыль, тем боль­ше средств на осуществление инвестиций в производство. Оптимальная налоговая система повышает активность ценовой политики предприятия.

6. Регулирование цен со стороны органов исполнительной власти. На федераль­
ном уровне регулированием цен занимается Правительство РФ и входящий в его
состав Департамент цен. На уровне субъектов РФ регулированием цен занима­
ются соответствующие законодательные органы и входящие в них управления
или комитеты по ценам.

Регулированию подлежат, например, цены на продукцию естественных моно­полий (газ, электроэнергия, тепловая энергия), наценка на продукцию, реализуе­мую на предприятиях общественного питания в общеобразовательных школах, средних и высших учебных заведениях, торговые надбавки к ценам на лекарствен­ные средства и изделия медицинского назначения и пр. Регулирование цен на­правлено на обеспечение сочетания интересов общества, потребителей и произво­дителей. Регулирование цен может быть в форме установления: фиксированных цен и тарифов, предельного уровня цены, предельного норматива рентабельности, оптово-сбытовых и торговых наценок. Регулирование цен снижает роль политики цен предприятия.

Отметим также, что свобода действия политики цен выше у фирм, выпускаю­щих потребительские товары, чем у фирм, выпускающих продукцию производ­ственно-технического назначения; выше у торговых предприятий, чем у предпри­ятий-производителей.

Для политики цен предприятия важное значение имеет фактор времени. Для формирования уровня цен и ценового имиджа новой продуктовой группы, вне­дряемой на рынок, требуется длительное время. Для выравнивания цен на товар­ной бирже требуется короткое время. Определение цен на единичные товары осу­ществляется в данный конкретный момент. Политика цен зависит и от того, для какогцгеографическрго района (например, Россия, Швеция) или рыночного сег-


342__________________________ Глава 5. Маркетинг взаимодействия: ценовая политика

мента должна быть установлена цена, затрагивает ли ценовая акция отдельный продукт или продуктовую группу, отдельный продукт или также послепродаж­ное обслуживание.

Виды цен

В зависимости от принятого признака цены различаются по видам. РассмоТ3

рим важнейшие из них.

Оптовые цены — это цены, по которым предприятия-производители и оптово-сбытовые организации продают свою продукцию.

Розничные цены — это цены, по которым розничная торговля продает товары населению или мелкооптовому потребителю.

Закупочные цены — это цены, по которым закупается сельскохозяйственная продукция у сельскохозяйственных производителей. Они представляют собой вид оптовой цены.

Тарифы — это цены за услуги (любые нематериальные виды деятельности. На­пример, железнодорожные тарифы, тарифы за услуги связи, электроэнергию, па­рикмахерские и коммунальные услуги).

Трансфертные цены — это внутренние цены, по которым факторы производ­ства и продукты обмениваются между отделениями или филиалами интегриро­ванной фирмы.

Управляемая цена — это цена, которая устанавливается отдельными произво­дителями (продавцами) или группой производителей (продавцов). Такая цена имеет место, если производители (продавцы) обладают определенной властью при установлении цены. Такой властью обладают монополисты, олигополисты, мо­нополистические конкуренты. Производители (продавцы) могут объединяться, чтобы управлять ценой продукта, создавая картель или соглашение об уровне цены.

Свободные цены — это цены, не подвергаемые контролю и устанавливаемые продавцами с учетом рыночной конъюнктуры.

Регулируемые цены — это цены, которые находятся под контролем соответству­ющих органов управления.

«Потолок» цены — это максимальная цена, которая назначается регулирующим органом. Уровень такой цены ниже уровня равновесной рыночной цены.

«Пол» цены — это минимальная цена, которая назначается регулирующим ор­ганом. Уровень такой цены выше уровня равновесной рыночной цены.

Фиксированная цена — это единая цена определенного уровня, устанавливае­мая, как правило, группой производителей (продавцов) на основе сговора, обра­зования картеля.

Твердая цена — это цена, зафиксированная в контракте в момент его заключе­ния и не подлежащая изменению на протяжении всего срока действия контракта (что оговорено в контракте).

Подвижная цена — это цена, которая зафиксирована в контракте в момент его заключения и может быть изменена при определенных условиях (что оговорено в контракте).

Скользящая цена — это цена, которая устанавливается, как правило, на про­дукцию с длительным сроком изготовления (например, суда). Цена, зафикси-


5.2. Факторы, влияющие на политику цен предприятия 343

рованная в контракте в момент его заключения, подлежит изменению в поряд­ке, оговоренном обеими сторонами. Скользящие цены используются и для уче­та инфляции.

Постоянная цена — это цена, срок действия которой не оговорен.

Временная цена — это цена, действующая в течение определенного периода времени.

Цена-нетто — это «чистая» цена товара.

Цена-брутто (валовая цена) — это цена, определенная с учетом условий, куп­ли-продажи (налоги, скидки, вид «франко», страхование). В зависимости от того, кто берет на себя оплату транспортных расходов, цены различаются по виду «фран­ко». Термин «франко» показывает, до какого пункта продавец возмещает транс­портные затраты.

Франко-склад продавца означает, что все транспортные затраты оплачивает покупатель, а франко-склад покупателя — что все транспортные затраты оп­лачивает продавец. Порядок учета транспортного фактора и других сопутству­ющих расходов во внешнеторговых ценах изложен в документе «Инкотермс 1990 г.».

Рыночная цена — цена, по которой потребители покупают какой-либо товар. Рыночная цена большинства товаров является равновесной рыночной ценой, ко­торая устанавливается под воздействием спроса и предложения, хотя косвенный налог или субсидии могут изменять равновесную рыночную цену.

Равновесная рыночная цена — цена, при которой объем спроса равен объему предложения.

Договорная цена — это цена, установленная по договоренности между произво­дителем (продавцом) и покупателем продукта.

Цена спроса (цена покупателя) — это максимальная цена, по которой покупа­тель готов купить товар, ценную бумагу, валюту.

Цена предложения (цена продавца) — это минимальная цена, по которой про­давец готов продать товар, ценную бумагу, валюту.

Цена закрытия — это рыночная цена, которая настолько низка, что производи­тель не в состоянии покрыть переменные затраты на производство данного товара.

Номинальная цена — цена блага, ценной бумаги, измеренная в текущих едини­цах ценности без поправки на инфляцию.

Реальная цена — цена блага, ценной бумаги, измеренная в постоянных ценах для устранения влияния инфляции.

Цена проникновения — сравнительно низкая цена на продукт, устанавливаемая с целью увеличения объема продаж и завоевания рынка. Такая цена полезна для фирмы, если спрос по цене эластичен.

Прейскурантная цена — это опубликованная цена. Фактическая цена, выпла­чиваемая покупателем, часто бывает ниже прейскурантной цены, так как постав­щики предлагают скидки. Многие производители назначают рекомендуемую роз­ничную цену на свою продукцию, но и в этом случае фактическая цена может быть намного ниже рекомендованной, в зависимости от силы конкуренции в роз­ничной торговле.

Теневая цена — это цена, определенная условно. Теневая цена возникает либо из-за отсутствия обычного рынка, который формирует цену, либо если обычный


344 Глава 5. Маркетинг взаимодействия: ценовая политика

рынок сильно деформирован. Теневые цены встречаются во внутрифирменной
торговле. Например, продажа комплектующего изделия подразделением А под­
разделению В производится по теневым ценам, если для этого изделия не суще­
ствует открытого рынка с эквивалентной ценой. Теневая цена определяется как
сумма затрат плюс прибылеобразующая накидка. •

Демпинговая цена — это цена товара на экспорт, которая значительно ниже цени внутреннего рынка. Демпинговая цена может являться краткосрочной реакцией на спад в стране или средством долгосрочной стратегии проникновения на зару­бежные рынки (как только положение на них упрочено, экспортеры повышают цены, чтобы получить прибыль). Демпинговая цена рассматривается как «нечест­ная» и запрещена международными торговыми договорами.

Тендерная цена — это цена товара, в котором нуждается государственный сек­тор. Она выявляется в результате конкурентных торгов. Проведение конкурен­тных торгов осуществляется с целью создания конкуренции в поставке товаров и услуг и, следовательно, снижения затрат государственных учреждений, мест­ных органов власти, органов здравоохранения. Тендерная цена — это, как пра­вило, наименьшая из всех предложенных цен, хотя могут быть и исключения из этого.

Аукционная цена — это цена реального товара, проданного на аукционе. Аукци­он — это способ продажи товаров путем конкурентных торгов. Покупателем ста­новится тот из участников, кто предложит наивысшую цену, при условии, что была достигнута минимальная цена. На аукционах продают пушно-меховые то­вары, чай, предметы старины, драгоценные камни и пр.

Биржевые котировки — это цены контрактов, заключаемых на товарных бир­жах. Данный рынок предусматривает куплю-продажу товара по цене, оговорен­ной сейчас, но с поставкой его к определенному моменту в будущем. Цены бирже­вых товаров базируются на текущих ценах наличного рынка, но, кроме того, в них учитываются процентные ставки и тенденции изменения темпа инфляции. На товарных биржах оперируют товарами, цены которых подвержены сильным ко­лебаниям во времени. В отличие от наличного рынка, где происходит физичес­кий обмен товаров, на товарных биржах имеет место только купля-продажа кон­трактов. На товарных биржах покупают-продают, к примеру, хлопок, цветные и драгоценные металлы, зерно и пр.

Цены международной торговли — совокупность цен, действующих на между­народных рынках и во внешнеторговом обороте отдельных стран.

Мировые цены — это цены, по которым осуществляются крупные экспортно-импортные операции, носящие регулярный характер и предусматривающие пла­тежи в свободно конвертируемой валюте. Мировые цены по сырьевым товарам определяются уровнем цен стран-экспортеров или импортеров. Например, цены на нефть определяются ценами стран — членов ОПЕК, цены на пшеницу — цена­ми Канады. Мировые цены на другие товары определяются уровнем цен бирж, аукционов. Например, цены на цветные металлы определяются ценами Лондон­ской биржи цветных металлов, а цены на чай — ценами аукционов в Калькутте, Коломбо, Лондоне. Мировые цены готовых изделий определяются уровнями цен ведущих в мире производителей, специализирующихся на изготовлении продук­ции данного вида.


5.3. Стратегии политики цен- понятие, виды, условия их применения 345

5.3. СТРАТЕГИИ ПОЛИТИКИ ЦЕН:


<== previous lecture | next lecture ==>
Прочие факторы | ИНФОРМАЦИЯ, НЕОБХОДИМАЯ ДЛЯ ПРИНЯТИЯ ЦЕНОВЫХ РЕШЕНИЙ
lektsiopedia.org - 2013 год. | Page generation: 1.726 s.