Студопедия
rus | ua | other

Home Random lecture






МАРКЕТИНГ-ЛОГИСТИКА


Date: 2015-10-07; view: 546.


Маркетинг-логистика как инструмент повышения эффективности маркетин­говых коммуникаций является фактором, определяющим уровень конкуренто­способности системы сбыта.


466Глава 6. Маркетинг взаимодействия: основы принятия маркетинговых решений.Г.

Становление и развитие маркетинг-логистики связаны с процессами проник­новения и конвергенции во все сферы товарного производства, в том числе и в маркетинговую деятельность, философию логистики.

Логистика — это отрасль науки, совокупность сложившейся методологии, тео­рии, методов и способов исследования и оптимизации всех видов потоков (физи­ческих, информационных, финансовых, энергетических и т. д.), сопровождающих экономические, социальные, экологические и коммуникативные процессы в сфе­ре формирования, создания, обращения и потребления товаров и услуг в услови­ях рыночных отношений.

В настоящее время принято считать, что логистика представляет собой науку о планировании и перемещении товаров, а также раздел математики — математи­ческую логистику.

Логистика в том контексте, который отражает ее назначение в социально-эко­номических процессах, изначально тесно связана с организацией материально-технического и транспортного обслуживания военных образований. Еще в Рим­ской империи логистика рассматривалась как практическое искусство управле­ния войсками, их снабжения и дислокации. В XIX в. в фундаментальных работах известного военного теоретика барона А. А. Жомини логистика определялась как умение планировать, управлять и обеспечивать военные подразделения транспор­том и амуницией [102].

Наиболее широко принципы логистики использовались в годы Второй мировой войны при решении задач материально-технического обеспечения и организации взаимодействия между поставщиками вооружения, продовольствия, транспортом и войсками американской армии, дислоцированной в Европе. С этим периодом свя­зано и начало формирования теории логистики как науки о планировании и управ­лении перемещением и материально-техническим снабжением войск.

В начале 1950-х гг. логистика как наука и инструмент предпринимательства стала применяться в гражданских отраслях экономики. В этот период в США под логистикой стали понимать планирование и реализацию физического распреде­ления товаров от производителей к потребителям. Значительно позже этот тер­мин стал употребляться в таких сферах, как снабжение и складирование товаров.

В 1970-е гг. логистика начала активно внедряться в промышленность, исполь­зоваться при разработке рационального производственного потенциала благода­ря комплексной оптимизации снабжения, производства, складирования и распре­деления товаров (рис. 6.20).


Рис. 6.20.Интеграция логистики в сфере материального производства

Значение логистики для всех отраслей экономики значительно возросло в 1980-е гг. На отдельных предприятиях стали создаваться группы, а затем отделы логисти­ки. В ведущих вузах США и Европы была организована подготовка специали­стов в области логистики. Логистика стала эффективно применяться уже не только


6.3. Маркетинг-логистика



в военно-промышленном комплексе и добывающей промышленности, но прежде всего в торговле, на транспорте, в производстве компьютерной техники.

В 1990-е гг. логистика внедрялась в мирохозяйственные процессы интернаци­онализации рыночных отношений. Этому способствовало, например, вхождение Европы в мировое экономическое сообщество, а также необходимость интенси­фикации материальных и сырьевых ресурсов и объективные процессы информа­тизации промышленного и частного секторов экономики.

Эволюция логистики сопровождается и изменением ее концепции (табл. 6.7). Например, командно-распределительная концепция характеризовала изначальный классический подход к организации распределения товаров на основе не согла­сованной с рынком деятельности снабженческих и транспортных отделов фир­мы. Распределительно-сбытовая концепция основывалась на согласовании ма­териальных потоков с потребителями продукции фирмы, но после того, как товар был произведен или уже находился на складе готовой продукции. Маркетинго­вая концепция, в отличие от фрагментарного управления сбытом, базировалась на комплексном подходе к исследованию рынка, согласованию возможного объема сбыта, к заказам на продукцию с потенциальными возможностями производства и системой его материально-технического обеспечения. Маркетинговая концеп­ция ориентировала оптимизацию логистических потоков на спрос и потребности покупателя.

Таблица 6.7. Эволюция концепции и интеграции логистики в основные отрасли экономики

 

Годы Отрасль, процессы экономики Концепция логистики
До 1950 Военный комплекс Командно-распределительная
1960 1970 1975 1980 Распределение товаров Заготовка, складское хозяйство Производство Торговля Распределительно-сбытовая
1982 1986 1990 Компьютерные технологии Транспорт товаров Материально-техническое обеспечение Маркетинговая
1996 2000 Крупные селитебные территории и промышленные центры Личный транспорт Коммуникативные сети и процессы интернационализации бизнес-предпринимательства Интегрированного маркетинга-менеджмента

Концепция интегрированного маркетинга-менеджмента рассматривает логи­стику как инструмент обеспечения конкурентного преимущества фирмы, посколь­ку, интегрируясь с маркетингом и менеджментом, она пронизывает все сферы де­ятельности компании как во внутренней, так и во внешней среде. Эта концепция предполагает активное применение компьютерных технологий и информацион­но-логистических сетей, что создает возможность более эффективного согласо­вания спроса и предложения на товарных рынках.


468Глава 6. Маркетинг взаимодействия: основы принятия маркетинговых решений...

Объектами логистики являются товары, личности, информация, технологии, энергия, финансы. Предметом логистики выступают потоки, создаваемые движе­нием и трансформацией этих объектов в процессе бизнес-предпринимательства.

Главной целью применения логистики является нахождение оптимума между максимально возможным уровнем обеспечения сервиса поставки товара потре­бителю и необходимыми для этого затратами человеческих, материальных и ин­формационных ресурсов (рис. 6.21).

Доля затрат на логистику зависит от отрасли экономики и составляет для раз­витых стран 10-30% величины оборота. В табл. 6.8 приведены данные о затратах на логистику в отраслях экономики Германии. О тенденции развития логистики предприятий в Германии можно судить по показателям динамики таких факто­ров, как число предприятий, имеющих отдел логистики и придерживающихся ло­гистической концепции, величина резерва производительности за счет логисти­ки и уровень эффекта в сервисном обслуживании (табл. 6.9) [134].

Рис. 6.21.Характер зависимости между затратами на логистику и сервисом поставок товаров

Таблица 6.8. Доля затрат на логистику в отдельных отраслях экономики

 

Отрасль Доля затрат, %
Промышленность продовольственных товаров 29,6
Производство и обработка металла 26,5
Химическое производство, нефть 23,1
Бумажная промышленность 16,7
Сельскохозяйственное производство 16,1
Электронное и электротехническое производство 15,9
Текстильное производство 14,9
Машиностроение 9,8

В современных условиях логистика активно применяется в промышленном производстве и в социальной сфере. Дальнейшее развитие получают методоло­гия, теоретические основы и методика этой науки, организуются логистические общества, фирмы и ассоциации. В 1991 г. была создана Всесоюзная ассоциация


6.3. Маркетинг-логистика



 


Таблица 6.9. Показатели развития логистики предприятий, %

 

Признак 1980 г. 1986 г. 2000 г. (оценка)
Предприятия с отделом логистики
Предприятия с логистической концепцией
Резервы производительности за счет логистики: имеющиеся потенциальные 12 9 30 30
Доля эффекта в сервисном обслуживании от логистики

логистики, преобразованная в 1993 г. в Фонд логистических разработок. В Евро­пе функционирует Европейская логистическая ассоциация, в США создано Об­щество инженеров-логистов. Большое внимание проблемам логистики уделяют и другие общественные организации, например такие, как Ассоциация маркетин­га, Ассоциация менеджмента, Ассоциация потребителей и др.

Существенный вклад в развитие логистики как науки внесли зарубежные и отечественные ученые и специалисты [И; 35; 61; 63; 70; 85; 86; 95; 101; 102; 122; 133; 136]. Среди работ российской логистической научной школы особо выде­ляются труды таких ученых и специалистов, как Б. А. Аникин, Н. В. Афанасье­ва, А. М. Таджикский, М. Е. Залманова, К. В. Инютина, А. Д. Кибанов, О. А. Но­виков, Д. Т. Новиков, Ю. М. Неруш, А. Д. Плоткин, О. Д. Проценко, А. Н. Род­ников, Н. А. Саломатин, А. И. Семененко, В. И. Сергеев, С. А. Уваров, В. В. Щербаков.

Для развитых рыночных отношений становятся актуальными процессы интег­рации маркетинга и логистики, основанные на взаимодействии двух концепций управления. Взаимодействие маркетинга как концепции управления, ориентиро­ванной на рынок, и логистики как концепции управления, ориентированной на поток, создает возможности повышения материальной и информационной полез­ности и ценности продукта, определяемых покупателем или клиентом (рис. 6.22). Такая интеграция создает основы для структуризации логистики на подсистемы, которые предоставляют покупателю возможность более эффективно и надежно использовать приобретенную продукцию.

Классификация логистики осуществляется в зависимости от пространствен­ного (предприятие, регион, страна), временного, функционального, организаци­онно-хозяйственного и объектообразующего признаков (табл. 6.10).

По производственному признаку различают следующие виды логистики.

Микрологистика охватывает границы одного предприятия. Макрологистика распространяется на народное хозяйство или на экономический район страны. Металогистика — на отдельные региональные образования, их системы снабже­ния и каналы распределения.

Наиболее представительной является классификация по функциональному признаку.

Заготовительная (закупочная) логистика связана с оптимизацией всех пото­ков, которые имеют место в процессе закупки и поставки сырья, материалов, топ­лива и других продуктов, необходимых для производства товаров.


Рис. 6.22.Маркетинг и логистика как факторы, формирующие ценность для потребителя

Таблица 6.10. Классификация логистики

 

Фактор декомпозиции Область логистики
Пространственный Микрологистика Макрологистика Металогистика
Временной Анализ, планирование и организация логистических систем и процессов Регулирование, реализация и контроль логистических установок Расчет мощности и производительности логистической системы
Функциональный Заготовительная логистика Производственная логистика Сбытовая логистика Маркетинговая логистика Торговая логистика Логистика систем передвижения Логистика складирования Логистика упаковки товара Информационная логистика
Организационно-хозяйственный Логистика предприятия Строительная логистика Военно-промышленная логистика Предпринимательская логистика
Объектообразующий Единичная логистика Массовая логистика Логистика запасных, комплектующих товаров Логистика персонала

6.3. Маркетинг-логистика 471

Производственная логистика занимается материальными потоками внутри предприятия при производстве продукции (технологические, энергетические, информационные и другие потоки).

Сбытовая логистика рассматривает все пространственно-временные процессы, которые требуется осуществить, чтобы товары были доставлены на рынки сбыта.

Торговая логистика осуществляет оптимизацию всех потоков, которые имеет торговое предприятие при организации закупки и хранения товаров, приобретен­ных у фирмы-производителя, и поставки этих товаров промежуточному покупа­телю или конечному потребителю.

Логистика систем передвижения охватывает потоки транспортных процессов, которые предприятие осуществляет на макро- и метауровне логистической сис­темы. Сюда относится, например, транспортная логистика.

Логистика складирования изучает и оптимизирует все потоки, которые связа­ны с концентрацией, хранением, переработкой и распределением товаров между потребителями.

Описание других областей применения логистики приводится в работах М. Е. Залма-новой, А. И. Семененко, В. И. Сергеева, С. А. Уварова и других ученых.

В существующей научно-практической литературе маркетинг-логистику отож­дествляют с логистикой сбыта или распределительной логистикой [63; 70; 136]. Однако логистика сбыта охватывает более широкий спектр потоков, так как про­цесс сбыта включает технологию подготовки продаж и проведения продаж. А ло­гистика распределения связана с исследованием и оптимизацией потоков, сопро­вождающих процесс разработки стратегии распределения (выбор путей, каналов и органов сбыта продукции) и процесс формирования и функционирования си­стемы физического перемещения товара по выбранному каналу. Поэтому целесо­образно выделять в структуре логистики распределения логистику стратегиче­ского распределения и логистику физического распределения, т. е. маркетинг-логи­стику.

Таким образом, маркетинг-логистика — это составная часть логистики распре­деления, которая связана с исследованием и оптимизацией всех видов потоков, сопровождающих физические перемещения товара по выбранному каналу, пути от производителя до конечного потребителя.

Некоторые специалисты в области маркетинга, логистики и менеджмента мар­кетинг-логистику называют маркетинговой логистикой. Более корректно гово­рить и писать «маркетинг-логистика», так же как «маркетинг-менеджмент», а не «маркетинговый менеджмент». Несоблюдение лексикографической грамотности может привести к неправильному толкованию содержания тех или иных терми­нов и определений. Например, термин «маркетинговая логистика» рассматрива­ется как логистика в системе маркетинга, тогда как маркетинг-логистика охваты­вает только одну подсистему маркетинга — сбыт, а именно физическое распреде­ление товара.

Процесс маркетинг-логистики приведен на рис. 6.23. Основными этапами и элементами этого процесса являются: исследование и прогноз требований потре­бителей, изучение (бенчмаркинг) предложений конкурентов; прогноз оборота и


Рис. 6.23.Процесс маркетинг-логистики

сбыта; планирование распределения; фрахт, заключение договора о поставке и приобретении сырья и материалов для производства товаров, имеющих спрос; организация приема сырья и материалов; организация складирования и контроль запасов сырья и материалов; оформление заказов с торговыми организациями или отдельными потребителями продукции фирмы; планирование производства; про­изводство продукции; упаковка продукции; организация хранения готовой про­дукции на складах внутри территории фирмы; рассылка товара; организация транс­порта готовой продукции; организация хранения готовой продукции на складах фирмы, расположенных за пределами ее территории; сервисное обеспечение по­ставок и обслуживание покупателей; сбыт.

Процесс маркетинг-логистики характеризует технологию физического распре­деления товара и определяет основные ее функции, а также комплекс маркетин­говых решений по реализации задач маркетинг-логистики.

Основными функциями маркетинг-логистики являются: исследование, плани­рование, реализация и контроль физических потоков материалов и готовой про­дукции при перемещении их от производителя до конечного потребителя (рис. 6.24). Важнейшими задачами маркетинг-логистики могут быть (в зависимости от разви­тости этой подсистемы маркетинга на фирме):

• организация исследования требований и заказов потребителей, а также бенч-
маркинг предложений конкурентов;

• обоснование и организация информационного обеспечения маркетинг-логис­
тики;


Рис. 6.24.Маркетинг-логистика как подсистема логистики

• технико-экономическое сравнение вариантов сооружения собственной систе­
мы складирования готовых товаров или использования складов посредниче­
ских фирм;

• выбор эффективного варианта транспорта для поставки товара потребителям,
т. е. использование собственного транспорта или привлечение специальных
транспортных организаций;

• сравнение и выбор оптимального пути транспортировки товара до потребите­
лей, или до центрального склада фирмы вне ее территории, или до центрально­
го склада посреднической организации;

• создание постоянного торгового представительства фирмы для обеспечения
работ по сбыту товара, или введение постоянной должности торгового пред­
ставителя фирмы, или регулярное командирование специалиста фирмы для
взаимодействия с торговыми организациями по вопросам сбыта продукции;

• определение объемов запасов готовой продукции на складах для оперативного
обслуживания покупателей;

• установление оптимальных объемов заказов потребителей на все виды продук­
ции фирмы;

• контроль и разработка мероприятий плана распределения продукции.

Перечень более детальных задач маркетинг-логистики приведен в табл. 6.11.

Решение этих и других задач в системе маркетинг-логистики способствует до­стижению ее главной цели — обеспечения готовности поставки товаров покупа­телям с высоким уровнем сервиса их обслуживания и разумными затратами.

Уровень сервиса определяется поставкой потребителю (на рынок) желаемого товара определенного количества и требуемого качества по согласованной цене, в определенное время и в указанное место.


474Глава 6 Маркетинг взаимодействия: основы принятия

Таблица 6.11. Основные задачи подсистем маркетинг-логистики

 

Подсистема маркетинг-логистики Перечень основных задач
Информационное обеспечение Формирование и развитие информационной сети заказов продукции Автоматизация обработки заказов Информационное обслуживание (передача информации) собственных и смежных подразделений фирмы Организация компьютерных сделок, закупок, банковских операций и т. д.
Складирование Обоснование транспортно-экспедиционного склада Выбор транспортных средств и путей доставки товара покупателям Определение объема заказов и места поставки для пополнения складских запасов Контроль складских запасов Обеспечение гарантийного запаса Краткосрочный прогноз запасов Выбор метода складирования
Транспортировка Выбор вида транспортных средств Обоснование лизинга или привлечения транспортных средств от специализированных организаций Аренда транспортных средств Выбор оптимального комплекса, комбинации транспортных средств Определение оптимальных транспортных маршрутов Разработка планов использования и загрузки транспортных средств
Упаковка Подготовка и проведение упаковочных операций Обоснование применения технических средств и необходимых технологий упаковки товара Определение размеров и объема упаковочной единицы товара, дизайна упаковки, надежности

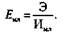
Эффективность системы маркетинг-логистики (Емл) зависит от величины эф­фекта (Э), полученного благодаря достижению главной цели маркетинг-логисти­ки, и от величины общих затрат на создание и эксплуатацию этой системы



 


Общие затраты (Имл) определяются как сумма общих затрат фирмы на транс­портировку товара (Ит), общих постоянных затрат на складирование товара (Ипс), общих переменных затрат на складирование товара (Иос) и вероятного ущерба из-за возможной задержки поставок товара по вине фирмы (У):

Эффект системы маркетинг-логистики создается как результат действия всех структурных подразделений, входящих в эту систему (транспортировка, склади­рование, упаковка, информационное обеспечение). Результат зависит от уровня постоянной готовности осуществлять поставки товара потребителю, от качества обслуживания потребителей до и после поставки товара.


6.3. Маркетинг-логистика 475


Тогда величину эффекта можно определить по формуле:


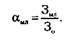
Величину возможного результата можно оценить той условной долей оборота от реализации товара, которую обеспечивает система маркетинг-логистики. Раз­мер этой доли (амл) может устанавливаться на планируемый год или квартал ру­ководством фирмы или рассчитываться, например, как отношение стоимости ос­новных и оборотных фондов подразделений маркетинг-логистики (3мл) ко всей стоимости основных и оборотных фондов фирмы (30):

где Огод— величина годового оборота фирмы от реализации продукции.

Выражение для определения эффективности системы маркетинг-логистики будет иметь вид:

Данный подход к оценке эффективности системы маркетинг-логистики носит методический характер. В каждом конкретном случае должны быть оценены за­траты и результаты создания отдельного подразделения или комплекса марке­тинг-логистики, сопоставление которых дает возможность оценить их целесооб­разность. Например, критерием целесообразности создания собственного товар­ного склада может быть превышение годовой экономии на затратах по перевозке товара и по обеспечению готовности поставки товара над затратами по сооруже­нию и эксплуатации склада, соразмерных во времени. В такой ситуации могут рассматриваться варианты аренды, лизинга или сооружения товарного склада. При этом необходимо учитывать факторы независимости и гибкости поставок при на­личии собственного склада.

Выбор варианта — собственный склад или склад специализированной посредни­ческой фирмы — зависит от выбора места сооружения (аренды) товарного склада, которое определяется как свойствами и особенностями товара, так и условиями, факторами окружающей среды, где располагается товарный склад.

Основными факторами, которые необходимо учитывать при выборе места со­оружения или аренды склада, являются: требуемый уровень поставки; инфраструк­тура области сбыта; динамика спроса; состояние транспортных сетей; уровень возможных транспортных затрат и затрат на складирование.

При сравнении вариантов складов необходимо принимать во внимание, что с ростом мощности склада пропорционально увеличиваются затраты на их содер­жание; при эксплуатации собственного склада добавляются еще и постоянные расходы. Задаваясь мощностью склада, можно определить точку равновеликих затрат (No) (рис. 6.25).

При решении вопроса о мощности сооружаемых складов необходимо учиты­вать, что при увеличении числа складов ускоряется процесс доставки товаров, но


476Глава 6 Маркетинг взаимодействия: основы принятия маркетинговых решений...

Рис. 6.25.Характеристики затрат на использование собственного склада или склада сторонней организации

при этом растут затраты на содержание этих складов. В этом случае критерием должно быть соблюдение баланса между уровнем затрат на создание сервиса об­служивания покупателей и затратами на распределение товара.

С увеличением числа товарных складов, с одной стороны, снижаются транспор­тные расходы от склада до потребителя, а с другой стороны, повышаются затраты по эксплуатации товарных складов и транспортные расходы от фирмы-производи­теля до склада (рис. 6.26).

Рассмотрим дополнительные признаки, которые целесообразно учитывать при принятии решения о варианте складирования.

 

Вариант собственного склада целесообразен, если Вариант склада сторонней организации целесообразен, если
Спрос на товар достаточно стабилен Рынки имеют сильно концентрированный характер Имеется гарантированная пропускная спо­собность склада Необходимо осуществлять прямой кон­троль за поставками товара Имеется потребность в специальных со­оружениях для складирования материалов Товар перед поставкой требует специаль­ной подготовки Спрос очень сильно колеблется во времени Размещение рынков неравномерно и неустой­чиво Транспортные средства очень часто меняются Товар выводится на рынок впервые

Выбор торгового представителя фирмы или коммивояжера в системе распреде­ления товаров осуществляется на основе сравнения постоянных и переменных затрат на их содержание.

Торговый представитель фирмы — это работник, который самостоятельно орга­низует свою деятельность и сам определяет свое рабочее время.


6.3. Маркетинг-логистика 477

Рис. 6.26.Затраты на маркетинг-логистику в зависимости от числа складов

Коммивояжер является служащим торговой фирмы и подчиняется распоря­жениям своего предприятия.

В основе сравнения этих вариантов — положение о том, что привлечение тор­гового представителя требует постоянных расходов, но меньших, чем при работе с коммивояжером, тогда как переменные затраты в варианте с торговым предста­вителем растут быстрее, чем с коммивояжером. Характеристика этих затрат в за­висимости от товарооборота приведена на рис. 6.27.

Следовательно, с точки зрения затрат — при определенных обороте и условиях (небольшие суточные и постоянные расходы) — приоритет может быть отдан ком­мивояжеру.

Рис. 6.27.Характеристика затрат на содержание торгового представителя и коммивояжера


478Глава 6. Маркетинг взаимодействия: основыпринятия маркетинговых решений...

На практике возможны случаи, когда торговый представитель работает не с одной, а с несколькими фирмами. Работа с таким представителем может быть це­лесообразна для предприятия, когда:

• включение товара в программу продаж этого представителя дает больше шан­
сов реализовать товар, чем при других способах сбыта;

• новый продукт выносится предприятием на новый рынок;

• оборот предприятия с привлечением торгового представителя, работающего
только с этим предприятием, не растет;

• предприятие не желает осуществлять большие затраты по увеличению произ­
водительности.

При определении размера заказа поставок необходимо произвести расчет ми­нимальной величины заказа, так как это может предотвратить потери заказов от неполного охвата контингента потенциальных покупателей или ущерб от недо­поставки товара покупателям, с которыми заключен контракт.

Минимальная величина заказа (Омин) может быть приближенно определена по формуле:

где Спост — удельные постоянные затраты на единицу заказа, руб.; V1переменные затра­ты на производство продукции, % от оборота; V2 — переменные затраты на сбыт, % от обо­рота.

Выбор собственного транспорта или услуг транспортной специализированной организации осуществляется с учетом удаленности потребителя, скорости, часто­ты и надежности поставок, пропускной способности, доступности, загруженно­сти транспортных линий, а также стоимостных показателей, используемых топ­лива и энергии.

Доставка товаров может осуществляться железнодорожным, воздушным, ав­томобильным, водным и трубопроводным транспортом. При выборе вида транс­порта наряду со стоимостными затратами (транспортные расходы, складские рас­ходы, затраты на упаковку и т. д.) существенную роль играет учет таких свойств товара, как возможность порчи, потери массы, размер товара. Кроме того, учиты­ваются затраты, вызванные потерей заказов из-за несвоевременной поставки, ут­рата имиджа вследствие задержки поставок, а также штрафы за несоблюдение ус­ловий поставок.

Исходным пунктом анализа при сравнении вариантов обеспечения транспорт­ными средствами должны быть затраты. Выбирается вариант с меньшими затра­тами. Выбор вида транспорта осуществляется с учетом числа и вида товарных складов. Так, например, при высоких транспортных расходах, низких затратах на складирование и несрочных условиях поставки эффективной может быть транс­портировка с единого централизованного товарного склада (рис. 6.28). А при не­высоких транспортных затратах, больших складских расходах и при условиях срочной поставки рациональным может быть частичное делегирование транспорт­ных услуг сторонней транспортной организации (рис. 6.29).



Рис. 6.28.Централизованное распределение товара

Рис. 6.29.Децентрализованное распределение товара

Каждый вариант организации транспортного обслуживания имеет свои досто­инства и недостатки. В целях повышения эффективности поставки фирмы могут применять комбинирование транспортных средств (например, железнодорожный и автомобильный транспорт), использовать контейнерные перевозки, которые более удобны при перемещении в пространстве, особенно при комбинированных транспортировках грузов (рис. 6.30).

Выбор транспортного обслуживания и содержание транспорта сильно зависят от состояния рыночной конъюнктуры, устойчивости цен, уровня запасов товаров и сырья на предприятии. Поэтому решения в этой области, как правило, носят оперативный, краткосрочный характер. Прогнозные расчеты осуществляются на региональном и межрегиональном уровнях.


Рис. 6.30.Характеристика затрат на транспорт в зависимости от вида транспорта и объема перевозок


Глава 7

МАРКЕТИНГ ВЗАИМОДЕЙСТВИЯ:

МЕТОДОЛОГИЯ И МЕТОДИКА ОРГАНИЗАЦИИ

КОММУНИКАТИВНОЙ ПОЛИТИКИ



<== previous lecture | next lecture ==>
Глава 6. Маркетинг взаимодействия: основы | КОММУНИКАТИВНЫЕ СЕТИ И ПРОЦЕССЫ
lektsiopedia.org - 2013 год. | Page generation: 0.929 s.