Студопедия
rus | ua | other

Home Random lecture






Глава 6. Маркетинг взаимодействия: основы


Date: 2015-10-07; view: 478.



Зона безубыточности, или порог рентабельности (Пг), определяется по следу­ющей формуле:


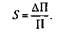
В отечественной литературе по экономике и менеджменту валовая маржа (АП), т. е. разность между выручкой от реализации и переменными затратами, исполь­зуется при определении силы воздействия производственного рычага (S) на ве­личину прибыли (П):

где Спост — величина постоянных расходов; ДПотн — результат реализации после возмеще­ния переменных затрат в относительном выражении.

Величина АПотн характеризует размер выручки от реализации, когда предпри­ятие еще не имеет прибыли, но зато уже не несет убытки (прибыль равна нулю).

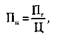
Объем производства продукции (Пн), при котором прибыль принимает нуле­вое значение, определяется по формуле:

где Ц — цена реализации продукции.

Анализ структуры издержек осуществляют путем анализа следующих состав­ляющих прямых затрат: прямых издержек производства, прямых материальных затрат; прямых расходов в сбытовой деятельности.

Особое внимание следует уделять исследованию загрузки производственных мощностей, уровня сервиса и качества поставок товара. Более детальное рассмот­рение загрузки производственных мощностей на предприятии показывает, в ка­ком объеме в цене данного товара должны учитываться постоянные издержки при данной загрузке производственных мощностей. Анализ загрузки мощностей по­зволяет сделать вывод как о возможности поиска и привлечения новых клиентов для дополнительных заказов, так и о необходимости снижения интенсивной сбы­товой деятельности ввиду полной загрузки производственных мощностей.

Анализ структуры рынка рассматривается как важный инструмент оперативно­го контроллинга-сбыта. Структура рынка определяется внешней средой, фактора­ми, оказывающими на нее постоянное влияние, динамикой доли рынка, ценовой политикой партнеров и конкурентов и т. д. Поэтому решающую роль в объектив­ности анализа структуры рынка играет качество информации о внешней среде.

Для контроля за производственной и сбытовой деятельностью могут быть ис­пользованы различные показатели. Так, на рис. 6.19 приведена система показате­лей для контроллинга-сбыта полиграфической отрасли [11].

Целевой установкой контроллинга-сбыта является информационное обеспече­ние процесса принятия решения в сфере сбыта, поэтому результаты анализа, со­провождаемые предложениями о путях повышения эффективности сбытовой дея­тельности, должны в форме отчета представляться регулярно лицом, ответствен­ным за текущее регулирование и перспективное планирование деятельности фирмы.


Рис. 6.19.Система показателей в сфере контроллинга-сбыта


<== previous lecture | next lecture ==>
КОНТРОЛЛИНГ В СИСТЕМЕ СБЫТА | МАРКЕТИНГ-ЛОГИСТИКА
lektsiopedia.org - 2013 год. | Page generation: 0.557 s.