Студопедия
rus | ua | other

Home Random lecture






Прямая проходит через точки


Date: 2015-10-07; view: 857.


1) О (0; 0) и В (5; -15). Ответ: -3

2) О (0; 0) и В (-2; 1). Ответ: -1/2

3) О (0; 0) и В (-7; 14). Ответ: -2

4) О (0; 0) и В (-4; 8). Ответ: -2

5) О (0; 0) и В (1; -7). Ответ: -7

6) А (0; 3) и В (1; -2). Ответ: -5

7) А (2; 3) и В (5; 1). Ответ: -2/3

8) А (4; 0) и В (2; 3). Ответ: -3/2

9) А (5; 2) и В (4; 5). Ответ: -3

10) А (1; 2) и В (3; 1). Ответ: -1/2

Вопрос н2

11) Поверхность 2-го порядка, образованная прямыми линиями, проходящими через данную точку Р и пересекающими данную кривую К (направляющую), называется конусом

12) Поверхность 2-го порядка, образованная движением прямой L, которая, перемещаясь в пространстве, сохраняет постоянное направление и пересекается с некоторой кривой K (направляющей), называется цилиндрической

13) Поверхность 2-го порядка в пространстве, определяемая уравнением F (y,z)=0, называется цилиндром

14) Поверхность 2-го порядка в пространстве, определяемая уравнением F(x, )=0, называется 1)коническая поверхность или 2)конус

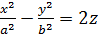
15) Поверхность в пространстве, определяемая уравнением

, называется гиперболическим параболоидом

16) , называется эллиптическим параболоидом.

17) , называется однополостным гиперболоидом

18) , называется плоскостью

19) , называется двуполостным гиперболоидом

20) , называется эллипсоидом

21) Поверхность в пространстве, описываемая уравнением A(x-x0)+B(y-y0)+C(z-z0)=0, называется плоскостью

22) Множество точек плоскости, модуль разности расстояний от которых до двух данных точек, есть величина постоянная, называется гиперболой

23) Множество точек плоскости, сумма расстояний от каждой из которых до двух данных точек, есть величина постоянная, называется эллипсом

24) Множество точек плоскости, каждая из которых одинаково удалена от данной точки и данной прямой, называется параболой

25) Справедливо утверждение: линия, определяемая на плоскости Оху уравнением второго порядка Ax2+Cy2+2Dx+2Ey+F=0, является …, если выполняется равенство А-С=0: окружностью

26) А*С>0: эллипсом

27) А*С<0 гиперболой

28) А*С=0 параболой

Вопрос н3

29) Тройка векторов {a×b,b,a} является левой

30) Тройка векторов {a,b,a×b} является правой

31) Если смешанное произведение abc отрицательно, то тройка векторов {a,b,c} является левой

32) Если смешанное произведение abc положительно, то тройка векторов {a,b,c} является правой

33) Если вектор а умножить векторно на вектор b, после чего полученный вектор a×b умножить скалярно на вектор с, то такое произведение (a×b)*с называется смешанным

34) Если скалярное произведение АВ*АС>0, то угол А в треугольнике АВС является острым

35) Если скалярное произведение АВ*АС<0, то угол А в треугольнике АВС является тупым

36) Если векторы АВ и CD коллинеарны, а BC и AD – не коллинеарны, то четырехугольник ABCD является трапецией

37) Если выполняется равенство a*b=|a|*|b|, то векторы a и b являются коллинеарными

38) Если для двух не нулевых векторов a и b выполняется равенство а*b=0, то векторы называются ортогональными

Вопрос н4

39) Выражение представляет собой модуль комплексного числа z=x+iy

40) Выражение arctg представляет собой аргумент комплексного числа z=x+iy

41) Выражение z=reiф называют показательной формой записи комплексного числа

42) Выражение z=r(cosф+i*sinф) называют тригонометрической формой записи комплексного числа

43) При делении комплексных чисел их аргументы вычитаются

44) При умножении комплексных чисел их аргументы складываются

45) Формула для вычисления n-ной степени комплексного числа носит название формулы Муавра

46) При вычислении n-ной степени комплексного числа на n-ную степень умножается аргумент этого числа

47) Два комплексных числа z1=x+iy и z2=x-iy называют сопряженными

48) Для комплексного числа z=x+iy величина у называется мнимой частью этого числа

Вопрос н5

49) Две матрицы одинаковой размерности равны, если равны их соответствующие элементы

50) Матрица называется нулевой, если она состоит только из нулей

51) Матрица называется диагональной, если она квадратная и все элементы вне главной диагонали равны нулю

52) Матрица называется присоединенной по отношению к исходной матрице, если она составлена из алгебраических дополнений транспонированной матрицы

53) Размерность матрицы произведения определяется числом строк первой матрицы и числом столбцов второй матрицы

54) Единичной является матрица

55) Диагональной является матрица

56) Перемножать можно такие матрицы, у которых число столбцов первой матрицы равно числу строк второй матрицы

57) Квадратная матрица, у которой все элементы, кроме элементов главной диагонали, равны нулю, называется диагональной

58) Наибольший из порядков миноров матрицы, отличных от нуля, называется рангом матрицы.

Вопрос н6

59) Произведение минора элемента аij определителя на число (-1)i+j называется алгебраическим дополнением элемента аij

60) Справедливо утверждение: всякая невырожденная матрица может иметь обратную.

61) Справедливо утверждение: система линейных алгебраических уравнений совместна тогда и только тогда, когда ранг расширенной матрицы равен рангу основной матрицы системы

62) Система линейных уравнений называется совместной, если имеет хотя бы одно решение

63) Две матрицы А и В называются эквивалентными, если одна из них получается из другой с помощью элементарных преобразований

64) Определитель, полученный из исходного вычеркиванием i-й строки и j-го столбца, называется минором элемента аij определителя

65) Квадратная матрица называется вырожденной, если ее определитель равен нулю

66) Квадратная матрица называется треугольной, если все элементы, расположенные по одну сторону от главной диагонали, равны нулю

67) Если каждую строку матрицы заменить соответствующим столбцом той же матрицы, то получается транспонированная матрица

Вопрос н7

68) Пусть точка С – середина отрезка АВ. Если А (-2; 2; 0), С (1; 0; 3), то координаты точки В равны (4; -2; 6)

69) Пусть точка С делит отрезок АВ, так что АС/СВ=2. Если А(0; 1; 0), В (3; 0; 6), тогда координаты С (2; 1/3; 4)

70) Пусть точка С делит отрезок АВ, так что АС/СВ=1/2. Если А(0; 1; 0), В (3;0;6), тогда координаты С (1; 2/3; 2)

71) Пусть точка С делит отрезок АВ, так что АС/СВ=1. Если А(0; 1; 0), В (3; 0; 6), тогда координаты С (1,5; 0,5; 3)

72) Даны точки А (1; 2; 3) и В (-1; 0; 5). Середина АВ имеет координаты (0; 1; 4)

73) Дано: точка А (3; -1; 1), точка В (2; 1; 4). Координаты точки, которая симметрична точке В относительно А… (4; -3; -2)

74) Дано: точка А (3; -1; 0), точка В (2; 1; 0). Координаты точки, которая симметрична точке A относительно B… (1; 3; 0)

75) Центр тяжести однородного стержня находится в точке С (1; -1; 5). Один из его концов есть точка А (-2; -1; 7). Координаты другого конца стержня (4; -1; 3)

76) Отрезок, ограниченный точками А (1; -3; 0) и В (4; 3; 3) разделен на три равные части. Координаты точек деления (2; -1; 1) и (3; 1; 2)

77) Отрезок [AB] разделен точками С (2; 0; 2) и D (5; -2; 0) на три равные части. Координаты точек А и В… (-1; 2; 4) и (8; -4; -2)

78) Прямая задается уравнением

Вопрос н8

79) Нормальный вектор плоскости

х+z-1=0 (1; 0; 1)

80) х-4у=8z+3 (1; -4; -8)

81) 4х+z+4у-9=0 (4; 4; 1)

82) у+z-5=0 (0; 1; 1)

83) z +2y+x-15=0 (1; 2; 1)

84) Уравнение плоскости, которая проходит через начало координат и имеет нормальный вектор n={5; 0; -3} 5x-3z=0

85) Уравнение плоскости, которая проходит через точку А (0; 0; 2) и имеет нормальный вектор n={2; -3; 1} 2x-3y+z=2

86) Уравнение плоскости, которая проходит через точку М (2; 1; -1) и имеет нормальный вектор n={1; -2; 3} x-2y+3z+3=0

87) Пусть точка Р (2; -1; -1) есть основание перпендикуляра опущенного из начала координат на плоскость. Тогда уравнение этой плоскости -2х+у+z+6=0

88) Даны точки А (3; -1; 2), В (4; -2; -1). Тогда, уравнение плоскости, проходящей через точку А перпендикулярно вектору из точки А в точку В х-у-3z+2=0

Вопрос н9

89) В вопросах на соответствие ошибок не обнаружено, в одиночных вопросах есть ошибки в БД (красным выделено). Нужно проверять.

ð Уравнение прямой на плоскости с угловым коэффициентом… у=кх+b

ð Нормальное уравнение прямой на плоскости… xcosa+ysina-p=0

ð Уравнение прямой на плоскости в отрезках…

ð Уравнение прямой на плоскости, проходящей через данную точку в данном направлении… y-y0=k(x-x0)

ð Уравнение прямой на плоскости, проходящий через точку с направляющим вектором, имеет вид…

ð Уравнение прямой на плоскости в полярных координатах… rcos(φ-а)=р

ð Уравнение прямой на плоскости, проходящей через две заданные точки …

ð Общее уравнение прямой на плоскости… Ах+Ву+С=0

ð Уравнение прямой на плоскости, проходящей через точку с нормальным вектором, имеет вид А(х-х0)+В(у-у0)=0

ð Каноническое уравнение прямой в пространстве

ð Параметрические уравнения прямой в пространстве

ð Уравнение прямой в пространстве, проходящей через две заданные точки

ð Общее уравнение прямой в пространстве

Вопрос н10

Через точки … проходит прямая …

90) М (2; 1) и N (4; 3) х-у-1=0

91) М (4; -2) и N (8; -5) 3х+4у-4=0

92) М (-2; 1) и N (-3; 3) 2х+у+3=0

93) М (7; 2) и N (5; 3) х+2у-11=0

94) М (5; 3) и N (4; -1) 4х-у-17=0

95) М (3; 4) и N (4; 3) х+у-7=0

96) М (-2; 3) и N (1; 1) 2х+3у-5=0

97) М (9; 7) и N (4; 2) х-у-2=0

98) М (5; 0) и N (-4; 2) 2х+9у-10=0

99) М (2; 3) и N (-1; 4) х+3у-11=0

Вопрос н11

100) Корни уравнения равны {1; 2}

101) Корни уравнения равны 5

102) Корни уравнения равны {1; 5}

103) Корни уравнения равны 13

104) Корни уравнения равны 2

Вопрос н12

105) Векторы а(k; 2; 3), b(1; -2; 2) перпендикулярны, если k равно -2

106) Векторы а(1; 2; k), b(0; -2; 2) перпендикулярны, если k равно 2

107) Векторы а(0; -8; 2k), b(1; 1; 2) перпендикулярны, если k равно 2

108) Векторы а(3; 1; k), b(4; 1; 3) перпендикулярны, если k равно -13/3

109) Векторы а(-2; -1; k) и b(-6; -3; 15) коллинеарны, если k равно 5

110) Векторы а(1; 2; k) и b(8; 16; 32) коллинеарны, если k равно 4

111) Векторы а(-8; k; 10) и b(k; -2; 5) коллинеарны, если k равно -4

112) Если a*b=4 , |a|=16 и |b|=0,5, тогда косинус угла между векторами а и b равен

113) Если a*b=2 , |a|=0,5 и |b|=8, тогда косинус угла между векторами а и b равен

114) Если a*b=5 , |a|=5 и |b|=2 , тогда косинус угла между векторами а и b равен 1/2

Вопрос н13

Векторы …компланарны, если параметр λ равен …

115) а(0; 16; 0), b(15; 3; 5) и с(9; 5; λ) равен 3

116) а(2; 2; 1), b(1; λ; 3) и с(4; 0; 0) равен 6

117) а(4; 8; λ), b(0; 3; 0) и с(5; 1; 2) равен 8/5

118) а(2; 3; 10), b(5; 1; λ) и с(0; 3; 0) равен 25

119) а(λ; 2; 1), b(0; 8; 0) и с(4; 1; 2) равен 2

120) а(4; 1; λ), b(0; 2; 0) и с(8; 3; 24) равен 12

121) а(0; 2; 0), b(3; 4; 1) и с(λ; 7;5) равен 15

122) а(3; 3; 6), b(λ; 4; 8) и с(0; 16; 0) равен 4

123) а(1; 2; λ), b(0; 1; 0) и c(4; 3; 2) равен ½

124) a(1; 1; λ), b(0; 1; 0) и c(3; 0; 1) равен 1/3

Вопрос н14

125) Значение (1+i)10 равно 32i

126) Значение (1-i)10 равно -32i

127) Значение (1+i)6 равно -8i

128) Значение (1-i)6 равно 8i

129) Значение (1+i)5 равно -4(1+i)

130) Значение (1-i)5 равно -4(1-i)

131) Значение (1+i)4 равно -4

132) Значение (1-i)4 равно -4

133) Значение (1+i)3 равно -2(1-i)

134) Значение (1-i)3 равно -2(1+i)

Вопрос н15

135) Среди корней уравнения z2-z+1=0 имеется комплексное число ,

136) Среди корней уравнения z3+1=0 имеется комплексное число

137) Среди корней уравнения z3-1=0 имеется комплексное число

138) Среди корней уравнения z2-2z+2=0 имеется комплексное число 1-i, 1+i

139) Среди корней уравнения z2+z+1=0 имеется комплексное число ,

140) Найти значение у, удовлетворяющее уравнению: (2+i)x+iy=8+4i 0

141) Найти значение у, удовлетворяющее уравнению: (2+i)x+iy=3+4i 5/2

142) Найти значение у, удовлетворяющее уравнению: (1+i)x+2iy=4+3i -1/2

143) Найти значение у, удовлетворяющее уравнению: (3+i)x+2iy=6+12i 5

Вопрос н16

144) Матрице соответствует обратная матрица

145) Матрице соответствует обратная матрица

146) Матрице соответствует обратная матрица

147) Матрице соответствует обратная матрица

148) Матрице соответствует обратная матрица

Вопрос н17

149) Определитель равен 1

150) Определитель равен 1

151) Определитель равен 0

152) Определитель равен -14

153) Определитель равен 4

Вопрос н18

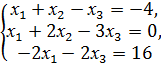
154) Система линейных уравнений является

ð Неопределенной

ð Определенной

ð Совместной

ð Однородной

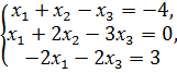
155) Система линейных уравнений является

ð Совместной

ð Определенной

ð Несовместной

ð Неоднородной

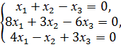
156) Система линейных уравнений является

ð Несовместной

ð Неопределенной

ð Однородной

ð Неоднородной

157) Система линейных уравнений является

ð Однородной

ð Неоднородной

ð Определенной

ð Несовместной

158) Система линейных уравнений является

ð Определенной

ð Неоднородной

ð Совместной

ð Несовместной

Вопрос н19

159) Модуль остатка от деления числа -168 на -35 равен 7

160) Модуль остатка от деления числа 168 на -35 равен 28

161) Модуль остатка от деления числа 168 на 35 равен 28

162) Модуль остатка от деления числа 134 на 26 равен 4

163) Модуль остатка от деления числа -134 на 26 равен 4

Вопрос н20

164) Уравнение плоскости, проходящей через ось Оу и точку М2 (1; 4; -3) 3х+z=0

165) Уравнение плоскости, проходящей через ось Oz и точку (3; -4; 7) 4х+3у=0

166) Уравнение плоскости, проходящей через ось Ox и точку (4; -1; 2) 2у+z=0

167) Уравнение плоскости, проходящей через точки (7; 2; -3) и (5; 6; -4) параллельно оси Ох y+4z+10=0

168) Уравнение плоскости, проходящей через точки (2; -1; 1) и (3; 1; 2) параллельно оси Оу х-z-1=0 или z-x+1=0

169) Уравнение плоскости, проходящей через точки (3; -2; 5) и (2; 3; 1) параллельно оси Оz 5x+y-13=0

170) Уравнение плоскости, проходящей через точку (1; -2; 4) параллельно плоскости Оxz у+2=0

171) Уравнение плоскости, проходящей через точку (-5; 2; -1) параллельно плоскости Оуz х+5=0

172) Уравнение плоскости, проходящей через точку (2; -3; 5) параллельно плоскости Оху z-5=0

173) Уравнение плоскости, проходящей через точку М(-2; 2; 3) параллельно плоскости Оху z-3=0


<== previous lecture | next lecture ==>
 | Системы линейных уравнений
lektsiopedia.org - 2013 год. | Page generation: 0.655 s.