Студопедия

Мы поможем в написании ваших работ!




Изображение цикла в p-v и T-S координатах

Изображение цикла на p-v диаграмме не представляет затруднений, так как параметры р и v определены ранее для всех характерных точек цикла. Положение этих точек на p-v диаграмме определяется делением значений соответствующих параметров на величины масштабов по осям координат.

Точки 2 и 3, 4 и 1соединены прямыми линиями, линии политропных процессов 1-2 и 3-4 проводим условно, и корректируем дополнительными точками.

Откладываем на линии 1-2 и 3-4 по 3 дополнительные точки и опускаем перпендикуляры на координату v, получаем:


Далее рассчитываем , и строим по полученным координатам соответственно точки


 

Диаграмма цикла в p-v координатах находится в приложении А.

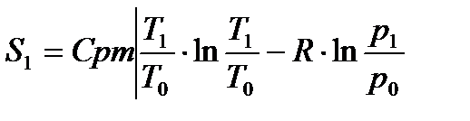
Чтобы построить Т-S диаграмму, необходимо сначала вычислить значения энтропии для каждой характерной точки цикла. Энтропию в точке 1 вычислим по формуле:

,

где , - параметры воздуха при нормальных условиях.

Задаваясь масштабами наносим характерные точки на Т-S диаграмме.

Точки 2 и 3, 4 и 1соединяем отрезками экспонент и корректируем дополнительными точками. Линии политропных процессов 1-2 и 3-4 условно проводим прямыми.

Откладываем на линии 2-3 и 4-1 по 3 дополнительные точки и опускаем перпендикуляры на координату T, получаем:

Далее рассчитываем , и строим по полученным координатам соответственно точки

Диаграмма цикла в Т-S координатах находится в приложении В.

 


<== предыдущая страница | следующая страница ==>
Вычисление термодинамических характеристик цикла | Определение среднеинтегральной температуры процесса отвода тепла

Дата добавления: 2015-06-30; просмотров: 353; Нарушение авторских прав




Мы поможем в написании ваших работ!
lektsiopedia.org - Лекциопедия - 2013 год. | Страница сгенерирована за: 0.363 сек.