Студопедия

Мы поможем в написании ваших работ!




Предельное состояние металлических конструкций

Под предельными состояниями подразумевают такие состояния, при которых конструкции перестают удовлетворять заданным эксплуатационным требованиям или требованиям при производстве работ.

В расчетах конструкций на действие статических и динамических нагрузок и воздействий, которым они могут подвергаться в течение строительства и заданного срока службы, учитываются следующие предельные состояния:

первой группы — по потере несущей способности и (или) полной непригодности к эксплуатации конструкций

второй группы — по затруднению нормальной эксплуатации сооружений.

К предельным состояниям первойгруппы относятся: общая потеря устойчивости формы; потеря устойчивости положения; разрушение любого характера; переход конструкции в изменяемую систему; качест­венное изменение конфигурации; состояния, при которых возникает необходимость прекращения эксплуатации в результате текучести материала, сдвигов в соединениях, ползучести, недопустимых остаточных или полных перемещений или чрезмерного раскрытия трещин.

Первая группа по характеру предельных состояний разделяется на две подгруппы: по потере несущей способности (первые пять состоя­ний) и по непригодности к эксплуатации (шестое состояние) вследствие развития недопустимых по величине остаточных перемещений (де­формаций).

К предельным состояниям второйгруппы относятся состояния, затрудняющие нормальную эксплуатацию или снижающие долговеч­ность вследствие появления недопустимых перемещений (прогибов, осадок, углов поворота, колебаний, трещин и т. п.).

Предельные состояния первой группы проверяются расчетом на максимальные (расчетные) нагрузки и воздействия, возможные при нарушении нормальной эксплуатации, предельные состояния второй группы – на эксплуатационные (нормативные) нагрузки и воздействия, отвечающие нормальной эксплуатации конструкций.

Надежность и гарантия от возникновения предельных состояний конструкции обеспечиваются надлежащим учетом возможных наиболее неблагоприятных характеристик материалов; перегрузок и наиболее невыгодного (но реально возможного) сочетания нагрузок и воздействий; условий и особенностей действительной работы конструкций и оснований; надлежащим выбором расчетных схем и предпосылок расчета, учетом в необходимых случаях пластических и реологических свойств материалов.

Это условие для первой группы предельных состояний по несущей способности может быть записано в общем виде:

(3.1)

где N — усилие, действующее в рассчитываемом элементе конструкций (функция нагрузок и других воздействий);S - предельное усилие, которое может воспринять рассчитываемый элемент (функция физико-механических свойств материала, условий работы и размеров элементов).

Поскольку расчетом должна быть обоснована возможность нормальной эксплуатации конструкции в течение всего заданного срока ее службы, значение N неравенства (3.1) должно представлять собой наибольшее возможное за это время усилие (воздействие). Это усилие определяется от расчетных нагрузок Fi представляющих собой возможные наибольшие (при определении несущей способности конструкции (при однократно действующей нагрузке) или наиболее часто повто­ряющиеся нагрузки (при проверке усталостного разрушения). Эти нагрузки определяют умножением нормативных нагрузок Fiн, отвечающих условиям нормальной эксплуатации, на коэффициенты перегрузки , учитывающие возможное отклонение нагрузок в неблагоприятную сторону (большую или меньшую), и на коэффициент надежности по назначению, учитывающий степень ответственности зданий и сооружений.

При одновременном действии двух или нескольких временных нагрузок расчет конструкций по первой и второй группам предельных состояний выполняется с учетом наиболее неблагоприятных сочетаний нагрузок или усилий.

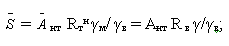
Расчетное сопротивление R получают делением основной характеристики материала – нормативного сопротивления по пределу текучести Rтн или временному сопротивлению разрыву Rвн, ус­танавливаемой стандартами на поставку металла с учетом статистической изменчивости, на коэффициент надежности по материалам 7м, учитывающий выборочный характер контроля и возможность попадания в конструкции металла с пониженными характеристиками.

Таким образом, предельная сила 5 определяется по пределу текучести

(3.3a)

по временному сопротивлению

(3.3b)

Соответственно формула (3.1) для первой группы предельных со­стояний по прочности может быть записана ?

(3.4а)

или

(3.4б)

Условие для первой группы предельных состояний по остаточным или полным перемещениям, при которых возникает необходимость пре­кращения эксплуатации, может быть записано в общем виде

(3.4в)

Для второй группы предельных состояний предельное условие может быть записано в виде


<== предыдущая страница | следующая страница ==>
Классификация и характеристика нагрузок и воздествий | Виды напряжений

Дата добавления: 2015-07-26; просмотров: 260; Нарушение авторских прав




Мы поможем в написании ваших работ!
lektsiopedia.org - Лекциопедия - 2013 год. | Страница сгенерирована за: 0.091 сек.