Студопедия
rus | ua | other

Home Random lecture






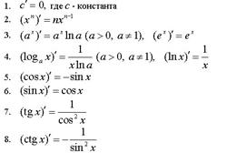
Деякі елементарні похідні


Date: 2015-10-07; view: 533.


9) Моното́нна фу́нкція — це функція, приріст якої не змінює знаку, тобто завжди або невід'ємний, або недодатній. Якщо при цьому приріст ще і не дорівнює нулю, то функція називається стро́го моното́нною.

Екстремум — найбільше та найменше значення функції на заданій множині.

Критичною точкою диференційовної функції , де — область в , називається точка, в якій всі її часткові похідні дорівнюють нулю. Ця умова еквівалентна рівності нулю диференціала функції в даній точці, а також рівносильна горизонтальності дотичної до графіка функції гіперплощини. Ця умова є необхідною (але не достатньою) для того, щоб внутрішня точка області могла бути точкою локального мінімуму або максимуму функції.

Опукла функція - функція, у якої надграфік є опуклим безліччю.

Опукла функція, її графік виділений синім і надграфік зафарбований зеленим.

Вещественнозначная функція, визначена на деякому інтервалі (у загальному випадку на опуклому підмножині деякого векторного простору) опукла, якщо для будь-яких двох значень аргументу x , y і для будь-якого числа виконується нерівність Йєнсена :

Якщо ця нерівність є строгим для всіх , Функція називається строго опуклою, якщо виконується зворотне нерівність, функція називається увігнутою, або опуклою вгору.

10) Лінійна функція задається рівнянням:

.

Лінійна функція зростає при та спадає при . Графік лінійної функції є пряма лінія, що проходить через точку паралельно графіку функції . Якщо , графік лінійної функції є пряма, паралельно осі абсцис, що проходить через точку на осі ординат.

Функція виду проходить через початок координат, і утворює з оссю абсцис кут, тангенс якого дорівнює коефіцієнту пропорціональності .

11) Розглянемо функцію y=|x|. З означення модуля слідує, що функція y=|x| складається з двох частин: а) Нехай x>0, тоді y=x. При цьому розглядаємо лише ту частину прямої y=x, яка знаходиться в правій частині півплощини. б) Нехай x<0. B цьому випадку |x|=-x, а значить y=-x, і ми розглядаємо лише частину графіка y=-x, яка розміщена в лівій півплощині.

Отже, графік функції y=|x| матиме вигляд:

 

 

Абсолютна величина чи модуль — в математиці, величина, значення або число незалежно від знака. Абсолютна величина числа n записується |x| (іноді mod x) і визначається як додатній квадратний корінь з x². Наприклад, числа −5 і 5 мають однакову абсолютну величину: |5| = |-5| = 5.

12) У математиці, квадратична функція — це поліноміальна функція з старшим членом другого порядку, тобто функція форми . Графіком квадратичної функції служить парабола з віссю, паралельною осі . При вершина параболи опиняється в точці .

Нулі квадратичної функції

це значення x такі, що f(x) = 0.

Коли коефіцієнти a, b і c, — дійсні чи комплексні, тоді корені

де дискримінант визначений як

Загальні властивості:

1. Область визначення квадратичної функції - вся числова пряма.

2. При функція не є парною і не є непарною. При квадратична функція - парна.

3. Квадратична функція неперервна і диференційовна на всій області визначення.

4. Функція має єдину критичну точку .

5. Область зміни функції: при - безліч значень функції ; при - безліч значень функції .

У загальному випадку вершина параболи лежить в точці . Якщо , То «роги» параболи спрямовані вгору, якщо , То вниз.


<== previous lecture | next lecture ==>
Фізичний зміст похідної | КОНТРОЛИРУЕМАЯ САМОСТОЯТЕЛЬНАЯ РАБОТА (КСР)
lektsiopedia.org - 2013 год. | Page generation: 5.028 s.