Студопедия
rus | ua | other

Home Random lecture






ДИАГНОСТИКА КОНКУРЕНТНОЙ СРЕДЫ В СИСТЕМЕ МАРКЕТИНГА


Date: 2015-10-07; view: 894.


В условиях постоянно меняющегося состояния маркетинговой среды предпри-нимательскиеютруктуры оказываются в сфере конкуренции, которая может быть функционально*!!, видовой и маркетинговой.

Конкуренция рассматривается как фактор, регулирующий соответствие част­ных и общественных интересов, как «невидимая рука» рынка-(А. Смит), уравни-


1S4 Глава 2. Маркетинговые исследования и бенчмаркинг

вающая нормы прибыли в целях оптимального распределения труда и капитала. Конкуренция — один из сущностных признаков рынка, форма взаимного сопер­ничества субъектов маркетинговой системы и механизм регулирования осуще­ствленного производства. Как общественная форма взаимодействия субъектов конкуренция выступает предпосылкой реализации индивидуальных экономиче­ских интересов каждого субъекта, вовлеченного в борьбу между двумя более или менее четко обозначенными соперниками по бизнесу.

Конкуренция выступает также инструментом в устранении и предотвращении монополий.

Для маркетолога важно видеть в конкуренции процесс соперничества между субъектами рынка (юридическими или физическими), которые осуществляют предпринимательскую деятельность и заинтересованы в достижении аналогич­ных целей. В маркетинге такой целью является максимизация прибыли за счет завоевания предпочтений потребителей. Смысл конкурентной борьбы заключа­ется в завоевании конкретных потребителей, пользующихся услугами конкурен­тов, а не в действиях против предприятий-соперников. Но, чтобы выиграть в кон­курентной борьбе, нужно обладать определенным преимуществом на рынке, уметь создать факторы превосходства над конкурентами в сфере потребительских ха­рактеристик товара и средств его продвижения на рынке.

В целях своевременного наличия приоритетов и эффективной стратегии, в наи­большей степени соответствующей тенденциям развития рыночной ситуации и основанной на сильных сторонах деятельности предприятия, любая фирма долж­на постоянно осуществлять текущий контроль и анализ конкурентного преиму­щества (превосходства) на рынке, на котором она и конкурирующая фирма пред­лагают аналогичные по потребительскому спросу товары или услуги.

Распознавание, определение характера, признаков, выявление причин откло­нений в состоянии конкурентной среды осуществляются с помощью диагности­ки, которая является средством, методом и инструментарием всестороннего ис­следования маркетинговых, и в частности конкурентных, отношений. Как отрасль знаний диагностика включает теорию и методы организации процессов диагноза, а также принципы построения средств диагноза, классификацию возможных от­клонений характеристик, конкурентной среды. Выделяют три формы организа­ции процесса установления диагноза — аналитическую, экспертную и диагности­ку на модели, т. е. имитационную.

Аналитической диагностикой называют процесс установления диагноза с по­мощью бесконтактных методов при использовании маркетинговой, статистиче­ской информации и методов конкурентного анализа, типологий, анализа конку­рентных карт (ретроспективных и перспективных).

Экспертная диагностика базируется на информации для целей диагноза, по­лученной контактными методами, посредством проведения специальных эксперт­ных и социоэкономических опросов в ходе полевых исследований.

Имитационная (модельная) диагностика позволяет получить информацию об объекте диагноза путем имитационного моделирования. В условиях активной информатизации маркетинговых решений на базе Интернета имитационное мо­делирование может получить более широкие возможности. Хотя моделирование конкурентной ситуации — достаточно сложная задача.


2.6. Сегментация рынка и диагностика конкурентной среды в системе маркетинга 155

Результатом, диагностики должен быть диагноз, т. е. определение и описание те­кущего и перспективного состояния конкурентной среды. На основе установленно­го диагноза маркетолог разрабатывает маркетинговые мероприятия для улучше­ния или усиления потенциала конкурентного преимущества фирмы. Организация и проведение диагностики конкурентной среды осуществляются с использованием методов и инструментария маркетинговых исследований (разд. 2.2). Постановка диагноза конкуренции среды должна базироваться на сравнении. Результаты диаг­ностики необходимы для формирования маркетинговой информации и разработ­ки политики конкуренции фирмы.

Диагностика как процесс выявления сильных и слабых сторон как своей фир­мы, так и фирм конкурентов дает возможность избежать антагонистических кон­фликтов в процессе взаимодействия конкурентов и более эффективно планиро­вать и использовать свои силы и ресурсы.

Концепция конкурентного преимущества должна базироваться на упреждаю­щем, превентивном характере тактических и стратегических действий фирмы в конкурентной среде. Пассивная стратегия, т. е. стратегия следования за конку­рентами, обычно, как показывает практика, является началом ухода с позиций прямой конкуренции, а значит, ухода на сегменты рынка, малопривлекательные для конкурентов. В отдельных случаях пассивный путь, т. е. проявление во взаи­моотношениях с конкурентами принципа «не мешать друг другу», может быть оправдан. В то же время не следует забывать, что отсутствие конкурентных пре­имуществ — верный путь к банкротству.

Главными направлениями обеспечения конкурентного преимущества фирмы являются: концентрация ресурсов фирмы для упреждения действий конкурен­тов, удерживание инициативы в конкурентной борьбе, обеспечение ресурсного потенциала для достижения поставленных целей, разработка гибкой системы планирования деятельности фирмы на рынке путем обоснования эффективной стратегии взаимодействия с конкурентами.

Диагностика конкурентной среды включает следующие этапы:

1) выявление перечня фирм, находящихся на целевом или новом рынках;

2) сбор исходной информации;

3) приведение стоимостных и финансовых показателей к сопоставимому виду;

4) определение типа выбранного рынка (рынок продавца, рынок покупателя);

5) расчет характеристик, отражающих состояние рынка;

6) определение рыночных долей фирмы на конец базисного и анализируемого
периодов;

7) построение таблицы рыночных долей фирм и расчет средней рыночной доли,
приходящейся на одну фирму;

8) расчет обобщенных характеристик интенсивности конкуренции;

9) оценка степени монополизации рынка;

 

10) факторный анализ динамики рыночных долей конкурентов;

11) выбор вида статистического распределения рыночных долей;

12) формирование групп фирм, находящихся на рынке, и расчет средней рыноч­
ной доли, приходящейся на группу;


tS6___________________________ Глава 2. Маркетинговые исследования и бенчмаркинг

13) расчет темпа прироста рыночной доли каждой группы фирм;

14) построение конкурентной карты рынка;

15) выявление типовых стратегических положений фирм на рынке;

16) ситуационный анализ и прогнозирование стратегии конкуренции фирмы на
данном рынке.

Диагностику конкурентной среды, деятельности конкурентов следует считать важнейшим звеном всего процесса маркетинговых исследований, так как она яв­ляется условием, гарантией успеха товара, технологий, услуг, предлагаемых фир­мой на рынке.

Методические рекомендации по анализу рынбчной доли конкурентов, всей процедуры диагностики конкурентных преимуществ изложены в работах отече­ственных и зарубежных ученых и специалистов. Наиболее четко, упорядоченно и концентрированно они приводятся в работах профессора Г. Л. Азоева [3].

Конкурентное преимущество, которым обладают на конкретных рынках раз­личные соперники (конкуренты), является существенным фактором климата, или конкурентной ситуации, на рынке товара. Конкурентное преимущество оп­ределяется набором характеристик, свойств товара или марки, который создает для фирмы определенное превосходство над своими прямыми конкурентами [Ж.-Ж. Ламбен, 1996].

Превосходство оценивается относительным, сравнительным состоянием, поло­жением фирмы по отношению к конкуренту, занимающему наилучшую позицию на рынке товара или в сегменте рынка. Оно может быть внешним и внутренним.

Конкурентное преимущество является внешним, если оно основано на отли­чительных качествах товара, которые образуют «ценность для покупателя» вви­ду сокращения издержек или повышения эффективности. Внешнее конкурент­ное преимущество увеличивает рыночную силу фирмы, т. е. способность фирмы заставить рынок принять цену товара, более высокую, чем у приоритетных (са­мых опасных) конкурентов, не обеспечивающих соответствующего отличитель­ного качества. Внутреннее конкурентное преимущество базируется на превосход­стве фирмы в отношении издержек производства, управления фирмой или това­ром, которое создает «ценность для изготовителя» и меньшую себестоимость, чем у конкурента. Это преимущество может создаваться благодаря проведению стра­тегии доминирования по издержкам за счет внедрения организационного и про­изводственного нововведения фирмы.

Таким образом, соотношение «рыночной силы» и «производительности» мо­жет характеризовать уровень конкурентного превосходства фирмы над конкурен­тами.

Диагностика конкурентной среды требует не только анализа состояния различ­ных методов и стратегий конкуренции, но и исследования имиджа товара и имид­жа фирмы. Действительно, снижая цену на свой товар или услугу, фирма приоб­ретает возможность укрепить свои позиции по сравнению с конкурентами. По­вышение цены товара или услуги приводит к понижению уровня ее конкурентного преимущества. Улучшая качественные характеристики продукта, компания по­лучает значительное превосходство перед конкурентами, что, в свою очередь, мо­жет быть основанием для назначения более высокой цены. Если же предприятие


2.6. Сегментация рынка и диагностика конкурентной среды в системе маркетинга 157

удерживает цену своих товаров на уровне цен конкурентных товаров, то более высокое качество создает ему лидирующее положение на рынке, позволяет уве­личить численность потребителей и соответственно размер занимаемой фирмой рыночной доли.

В условиях развитого рынка, когда сеть конкурентов велика и насыщенна, ког­да на рынке имеются товары-конкуренты, близкие и практически аналогичные по качеству и цене, характер конкуренции тяготеет к использованию преимуществ имиджа предприятия, т. е. тех социопсихологических характеристик, которые формируют благоприятное отношение покупателей и положительное обществен­ное восприятие фирмы.

Фирма, ориентирующаяся на успех, должна ставить своей целью не только удовлетворение спроса потребителей на товары или услуги. В центре ее внима­ния должна быть и цель разработки и реализации собственной конкурентной стра­тегии. Эта стратегия должна учитывать характер и потенциал конкурирующих сил рынка, которые формируют и отслеживают динамику рынка, диффузию по­требителей и конкурентов в маркетинговой среде.

При разработке конкурентной стратегии используют различные модели, кото­рые были предложены американскими учеными И. Ансоффом (матрица «продукт-рынок»), М. Портером (модель Портера), американской консультационной фир­мой «Бостон консалтинг труп» (портфолио-модель), а также специалистами фирм «Дженерал электрик компани» и «Маккинзи» (модель «Привлекательность рын­ка — преимущества в конкуренции») как развитие портфолио-модели.

Выбор модели зависит от конкретной ситуации, сложившейся в условиях ры­ночной среды.

В условиях растущего рынка для разработки стратегий используется модель Ансоффа, дающая рекомендации по поиску новой стратегии поведения на рынке с учетом мероприятий маркетинга по обработке и развитию имеющегося рынка и мероприятий по развитию и диверсификации нового рынка. Выбор той или иной стратегии зависит от ресурсов фирмы и готовности нести риск. Простота исполь­зования и наглядность моделирования сложной реальности определяют досто­инства этой модели, тогда как исходный принцип ориентации на рост и ограни­ченность рассматриваемых характеристик (продукт-рынок) делают ее малопри­годной в других условиях жизненного цикла функционирования рыночной экономики.

В моделях портфельного анализа фирма рассматривается как совокупность так называемых стратегических производственных единиц (СПЕ). Эти модели, не­смотря на свой недостатки, являются наиболее часто применяемыми инструмен­тами стратегического планирования деятельности на рынке. Наибольшее прак­тическое применение получили модели «рост рынка — доля рынка» и «привлека­тельность рынка — преимущества в конкуренции». Концепции обеих моделей определяют стратегическое положение СПЕ с помощью двухмерной матрицы, которая образуется характеристиками «доля рынка» и «рост рынка» (рис. 2.23). По позиции в матрице различают четыре типа СПЕ, которые принято называть «знак вопроса», «звезды», «дойные коровы» и «бедная собачка». Для каждого типа СПЕ имеется маркетинговая стратегия. Так, для стратегии «знак вопроса» реко­мендуется интенсификация маркетинговых усилий или уход с рынка, Маркетин-


158 Глава 2. Маркетинговые исследования и бенчмаркинг

говая стратегия СПЕ типа «звезды» включает интенсификацию маркетинговых усилии для поддержания или увеличения доли на рынке. По мере замедления развития отрасли «звезды» превращаются в «дойных коров». В условиях медлен­ного роста отрасли «дойные коровы» занимают лидирующее положение. Марке­тинговая стратегия ориентируется на «напоминающую рекламу», периодические скидки к ценам, стимулирование повторных покупок, на использование прибыли для помощи растущим СПЕ, для поддержания существующего положения. СПЕ типа «бедная собачка» характеризуются ограниченным объемом сбыта, отстава­нием от конкурентов, большими издержками и незначительными возможностя­ми роста. Маркетинговая стратегия для «бедной собачки» — ориентация на умень­шение усилий, попытка выйти на специализированный рынок или ликвидация.

Рис. 2.23.Типология рынков — модель «Бостон консалтинг труп»

Модель «Маккинзи» («Привлекательность рынка — преимущества в конкурен­ции») представляет собой развитие предыдущей модели. Матрица этой модели включает девять позиций фирмы, в зависимости от уровня привлекательности рынка и преимущества на рынке по отношению к конкурентам. Наиболее харак­терные положения стратегий находятся по углам матрицы. Ж.-Ж. Ламбен пред­ложил многокритериальную матрицу для интерпретации стратегических пози­ций в условиях динамики привлекательности и конкурентоспособности рынка (рис. 2.24) [67].

В зоне С рекомендуется стратегия агрессивного роста, в зоне А — стратегия продолжения деятельности без инвестиций (деинвестирование), в зоне В — стра­тегия селективного роста, в зоне Д — стратегия низкой активности. Промежуточ­ные зоны дают характеристику менее четким стратегиям, которые могут иметь место на рынке.

Индикаторами привлекательности и конкурентоспособности рынка могут вы­ступать различные критерии, а не только относительная доля рынка и темпы ро­ста рынка (рис. 2.25).



2.6. Сегментация рынка и диагностика конкурентной среды в системе маркетинга 159

Рис. 2.24.Многокритериальная матрица

Выбор индикаторов — тонкий процесс, требующий не только знаний, но и опы­та маркетинговой деятельности при соблюдении следующих условий:

• при оценке конкурентоспособности фирмы следует ориентироваться на уро­
вень преимуществ фирмы по сравнению с самым опасным конкурентом;

• при сравнении индикаторов следует приводить их к сопоставимому виду с по­
мощью весовых коэффициентов;

• оценки конкурентоспособности должны отражать не только текущий, но и ожи­
даемый уровень индикаторов;

• анализ должен заканчиваться итоговой оценкой привлекательности рынка то­
вара и конкурентной позиции фирмы на этом рынке.

М. Портер предложил концепцию учета пяти конкурирующих сил рынка (рис. 2.26). Эта концепция соперничества исходит из того, что способность фир­мы реализовать свое конкурентное преимущество на базовом рынке зависит не только от уровня прямой конкуренции, но и от роли конкурентных сил. Проявле­ние конкурентных сил определяется действиями потенциальных конкурентов на этом рынке, появлением или наличием продуктов-заменителей, потребителей, по­ставщиков и действиями конкурентов внутри отрасли. Именно взаимодействие пяти сил, по М. Портеру, определяет потенциал рентабельности товарного рын­ка. Однако степень проникновения в отрасль, на рынок кроме этих сил зависит еще и от политики в области регулирования конкуренции, которую проводит го­сударство.

Поэтому при анализе конкурентной среды целесообразно учитывать влияние на нее шести сил, включая в их состав и силу государственной политики в обла­сти регулирования конкуренции. Примером организации такой политики явля­ется создание в 1991 г. Антимонопольного комитета РФ, который призван осуще­ствлять государственную политику по развитию товарных рынков и конкурен­ции, мероприятия по ограничению монополистической деятельности в стране.

Исследования М. Портера показали, что:

• как крупные предприятия, нацеленные на овладение большой долей рынка, так
и небольшие специализированные предприятия имеют возможность достичь
требуемого уровня рентабельности;



Глава 2. Маркетинговые исследования и бенчмаркинг


 


 

 

Критерии Диапазон оценок привлекательности
Низкая Средняя Высокая
Доступность рынка Страны вне Европы и США Европа и США Европа
Темп роста <5% 5-0% > 10%
Длительность цикла жизни < 2 лет 2-5 лет > 5 лет
Потенциал валовой прибыли <155 15-20% > 25%
Острота конкуренции Структурированная олигополия Неструктурированная олигополия Распыленная конкуренция
Возможности неценовой конкуренции Товар стандартизован Товар слабо дифференцирован Товар сильно дифференцирован
Концентрация клиентов >2000 2000-200 < 200

 

 

Критерии Диапазон оценок конкурентоспособности
Низкая Средняя Высокая
Относительная доля рынка < 1/3 лидера >1/3 Лидер
Издержки > прямого конкурента = прямого конкурента < прямого конкурента
Отличительные свойства Товар типа «как все» Товар слабо дифференцирован «Уникальное предложение»
Степень освоения технологий Осваивается с трудом Осваивается легко Освоена полностью
Метод продаж Посредники не контролируются Посредники контролируются Прямые продажи
Известность — имидж Отсутствуют Имидж размыт Сильный имидж

Рис. 2.25.Индикаторы привлекательности (а) и конкурентоспособности (б) пяти рынков товаров в секторе текстильной промышленности [67]

• наиболее опасно пребывание в средней позиции на рынке;

• предприятиям, не имеющим возможности для достижения лидерства на рын­
ке, следует сконцентрировать деятельность на определенном сегменте и искать
способы увеличения своих преимуществ применительно к этому сегменту.

В соответствии со стартовыми позициями фирмы может быть использована одна из следующих конкурентных стратегий: снижение себестоимости продук­ции, дифференциация продукции, сегментирование рынка, внедрение новшеств, ориентация на потребность рынка.

Содержание этих стратегий, их достоинства, границы применения и недостат­ки достаточно полно изложены в имеющейся литературе [3; 67; 53; 63; 116].

Методологической основой анализа конкурентной ситуации является идея рыночной доли, которая рассматривается как часть ресурсов, обращающихся на рынке. Размер доли определяет возможность влияния компании на рынок и на конкурентов. Чем выше доля, тем шире доступ к ресурсам, тем выгоднее их раз­мещение и выше степень свободы в деятельности фирмы. В зависимости от вели­чины рыночной доли фирма может быть на рынке лидером или аутсайдером, иметь



2.6. Сегментация рынка и диагностика конкурентной среды в системе маркетинга 161

Рис. 2.26.Концепция конкурирующих сил нетоварных рынках

сильную или слабую конкурентную позицию. Для анализа состояния конкурен­
ции могут использоваться и другие показатели (например, динамика рынка, ди­
намика рыночной доли фирмы). Динамика доли достаточно объективно характе­
ризует:

• круг конкурентов, чьи интересы затрагивает деятельность фирмы;

• цели, которые реально могут быть поставлены и достигнуты фирмой на рас­
сматриваемом рынке.

Дополнительные сведения о мере привлекательности рынков могут быть по­лучены с помощью агрегированных коэффициентов, отражающих динамику, рен­табельность и конкурентную активность (табл. 2.20) [3].

Для анализа поведения фирмы на рынке, постановки стратегических задач мар­кетинга товаров и услуг, разработки плана маркетинга строятся конкурентные кар­ты рынка. Построение конкурентных карт осуществляют в виде матрицы, в кото­рой по строкам откладываются темпы роста рыночной доли, а по столбцам разме­щаются фирмы в зависимости от занимаемой ими рыночной доли (лидер, сильная конкурентная позиция, слабая конкурентная позиция, аутсайдер).

Для оценки степени монополизации рынка, которая обратно пропорциональна интенсивности конкуренции, используются:

• CR4 — четырехдольный показатель концентрации, который характеризует об­
щую долю четырех фирм с максимальным объемом товаров на анализируемом
рынке;

• CR10 — десятидольный показатель концентрации, который характеризует об­
щую долю десяти фирм с максимальным объемом товаров на анализируемом
рынке;



Глава 2. Маркетинговые исследования и бенчмаркинг


 


Таблица 2.20. Характеристика для анализа конкуренции на рынке товаров и услуг

 

Показатель Обозна­чение Содержание
Интенсивность конку­ренции Определяется тремя агрегированными факто­рами Ut, Ur, Ud, характеризующими динамику роста рынка, рентабельность рынка и распре­деление рыночных долей конкурентов
Интенсивность конку­ренции по динамике рынка и, Характеризует возможности роста фирмы без столкновения с интересами конкурентов
Интенсивность конку­ренции по рентабельно­сти рынка и, Характеризует соотношение спроса и предложения на рынке. Чем выше рентабельность рынка, тем более спрос превышает предложение и тем слабее влияние конкурентов
Интенсивность конку­ренции по распределе­нию рыночных долей ud Характеризует силу влияния со стороны конкурен­тов, располагающих равной рыночной долей и, ве­роятно, аналогичной стратегией
Обобщенный показа­тель интенсивности кон­куренции Uc Характеризует общую меру привлекательности анализируемого рынка
Рентабельность рынка Rm Определяется как отношение совокупной прибыли к ее совокупному потенциалу
Динамика рынка rm Характеризует годовой темп роста рассматривае­мого рынка в сопоставимых ценах
Объем рынка Vm Определяется совокупными ресурсами всех фирм, имеющихся на анализируемом рынке
Объем ресурсов фирмы vb Определяется как объем ресурсов фирмы, имею­щих место на рассматриваемом рынке
Объем ресурсов конку­рентов фирмы Vc Определяется как объем ресурсов, размещенный фирмами-конкурентами на анализируемом рынке
Количество фирм N Число фирм, расположенных на анализируемом рынке
Рыночная доля фирмы s Определяется как отношение объема ресурсов данной фирмы на анализируемом рынке к объему рынка
Среднеарифметическая доля sm Характеризует среднеарифметическую долю ре­сурсов, приходящихся на одну фирму на рассмат­риваемом рынке
Показатель динамично­сти рыночной доли фирмы AS Характеризует изменение рыночной доли фирмы в анализируемом периоде по сравнению с базовым
Темп прироста рыноч­ной доли фирмы Тs Определяется изменением рыночной доли фирмы в анализируемом периоде по отношению к рыноч­ной доле в базовом периоде Отрицательные зна­чения свидетельствуют об уменьшении рыночной доли, положительные — о ее росте
Среднеквадратичные отклонения рыночных долей сигма1, сигма2, сигмаt Для фирм слабой позиции, сильной позиции и их темпов прироста
Прибыль фирмы Pr Совокупная прибыль фирмы, полученная за анали­зируемый период на рассматриваемом рынке

2.6. Сегментация рынка и диагностика конкурентной среды в системе маркетинга 163

• ШН — индекс Херфиндаля-Хиршмана, оценивающий равномерность распре­деления рыночных долей фирм-операторов анализируемого рынка.

Для диагностики и прогнозирования перспективной конкурентной ситуации может быть использован следующий подход (рис. 2.27).

Рис. 2.27.Схема диагностики конкурентной среды

Изначально формируется перечень фирм, действующих на рассматриваемом рынке и образующих его конкурентную среду на конец анализируемого периода. Осуществляется сбор исходной информации за анализируемый и базисный пе­риоды. Следует иметь в виду, что в случае невозможности получить сведения об объемах тех или иных ресурсов, имеющихся на целевом рынке, принимается рав­номерное распределение ресурсов между конкурентами. Все объемные показате­ли приводятся к сопоставимым значениям по курсу Центрального банка РФ на конец анализируемого и базисного периода. Затем экспертным методом устанав­ливается состояние выбранного рынка, т. е. определяется вид рынка: рынок про­давца или рынок покупателя.

Для определения динамики рынка рассчитывается показатель динамики рын­ка т) по объемам рынка в конце анализируемого и базисного периодов ( Vmu Vm) и длительность периода (t):


164 Глава 2. Маркетинговые исследования и бенчмаркинг

Считают, что темп роста, его максимальная и минимальная границы лежат в пределах 140 и 70% в год. Поэтому если Тт > 1,4, то рынок находится в состоянии ускоренного роста; при изменении Тт от 1,4 до 0,7 рынок проходит состояние позиционного роста, стагнации и сворачивания; если Тт < 0,7, то ожидается кри­зис рынка.

По динамике рынка рассчитываются показатели интенсивности конкуренции ( Ut). Можно принять, что если Тт > 1,4, то Ut= 0; при 0,7 < Тт < 1,4 Ut= (1,4 -- Тт)/ 0,7; если Тт = 0,7, то Ut= 1. Показатель интенсивности конкуренции в данном случае характеризует остроту конкуренции: так, при Ut= 1 конкуренция

максимальна.

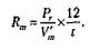
Оценка рентабельности рынка (Rm) возможна, если мы располагаем данными о прибылях, которые имели или имеют конкуренты на данном рынке. Распола­гать такими данными не всегда возможно, однако, имея ретроспективные отчет­ные данные фирмы, а также сведения бенчмаркинга, можно оценить активы и прибыль фирм-конкурентов. В этом случае рентабельность может быть опреде-

лена:

где Ргприбыль, полученная конкурентами в рассматриваемом периоде; Vmактивы кон­курентов в конце анализируемого периода; t — длительность анализируемого периода, мес

Имея данные рентабельности, определяют коэффициенты интенсивности кон­куренции по рентабельности ( Ur). Если имеется неравенство 0 < Rm < 1, то Ur -- 1 - Rm, а в случае Rm < 0 Ur стремится к 1.

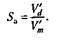
Расчет рыночных долей фирмы, находящихся на рассматриваемом рынке, осу­ществляется по данным о ресурсах фирмы и объемах рынка: а) на конец базисного периода:



 


б) на конец анализируемого периода:

По полученным результатам строится таблица распределения рыночных до­лей (табл. 2.21).

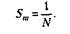
Анализ сведений, занесенных в таблицу, дает возможность выявить изменения в системе конкурентов за анализируемый период и составить список фирм, которые на данном рынке определяют основные тенденции бизнеса (рыночная доля более 0,5), а затем рассчитать среднюю рыночную долю Sm, приходящуюся на одну фирму:

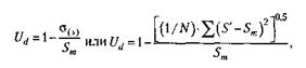
Интенсивность конкуренции ( Ud) тем выше, чем ниже коэффициент вариа­ции и рыночных долей на конец анализируемого периода:


2.6. Сегментация рынка и диагностика конкурентной среды в системе маркетинга



Таблица 2.21. Распределение рыночных долей

 

№ фирмы Фирма Рыночная доля на конец базисного периода Рыночная доля на конец анализируемого периода
 
 
 
 
 
 
  ИТОГО: 1,0 1,0


 


где Smрыночная доля на конец анализируемого периода.

Обобщенная характеристика интенсивности конкуренции рассчитывается по данным показателей Ut, Ur, Ud как среднее геометрическое этих показателей:


При стремлении С/, к 1 конкуренция обостряется. В случае, если С/, или Urне­известны, то Uc не рассматривается.

Оценка степени монополизации рынка осуществляется с учетом того, что сте­пень монополизации рынка обратно пропорциональна интенсивности конкурен­ции. Для этого могут быть использованы четырех- или десятидольные показате­ли концентрации (CR4,CR10), а также другие, которые применяются в мировой практике.

Для оценки монополизации наиболее часто используется доля фиксированно­го числа предприятий (CR), или концентрированная доля предприятий. В Гер­мании, например, этот показатель устанавливает доминирующее положение на рынке, которое возникает, если:


где xtдоля г-н фирмы на рынке, %; и — общее число фирм на рынке.

• на одно предприятие приходится свыше 1/3 всего оборота на рынке;

• на 3 и менее предприятий приходится свыше 1/2 общего оборота;

• на 5 и менее предприятий приходится свыше 2/3 общего оборота.
При этом считается, что если CR4 > 0,75, то рынок монополизирован.
Может рассчитываться индекс Херфиндаля—Хиршмана (ШН):


166 Глава 2 Маркетинговые исследования и бенчмаршнг

Факторный анализ динамики рыночной доли фирм-конкурентов предполага­ет исследование изменения зависимости рыночной доли от ряда факторов (на­пример, от действий конкурентов, изменения емкости рынка, изменения объема ресурсов и т. д.).

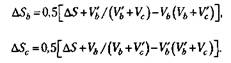
Изменение рыночной доли фирмы (Д5) в данном периоде по сравнению с базо­вым можно рассчитать по выражению:



 


где AS'j, Д5С — факторное влияние выручки фирмы и ее конкурентов на рыночную долю фирмы.

Так как данные о ресурсах конкурентных фирм установить сложно, при расче­те факторного влияния фирмы и конкурентов на рыночную долю принимается равномерное распределение ресурсов (0,5 и 0,5). Таким образом:



 


Для условий AS^ > О, Д5С = 0, Д5С < 0 определяется влияние собственной фирмы на динамику рыночной доли соответственно при Д56 > О, Д56 = О, Д56 < 0.

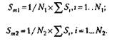
Принимая логарифмическое или нормальное распределение рыночных долей конкурентов, определяют конкурентную позицию фирмы. При этом среднеариф­метическая рыночная доля является разделяющей линией между слабыми и силь­ными позициями (рис. 2.28).

Для определения границ групп-аутсайдеров, фирм со слабой, сильной конку­рентной позицией и лидеров рынка устанавливают: минимальное и максималь­ное значение доли среди фирм; среднеарифметическую рыночную долю для всех фирм, находящихся на анализируемом рынке (5m = 1/JV); число слабых (NJ и сильных (N2) фирм.

Затем по каждой группе фирм рассчитывают средние доли в группах:

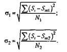
Расчет среднеквадратичного отклонения рыночной доли производят для каж­дой из групп:

где Oj— среднеквадратичное отклонение рыночной доли для фирм с долями на рынке мень­ше средней; о2 — среднеквадратичное отклонение рыночной доли для фирм с долями на рынке больше средней; Stрыночная доля г-й фирмы на данном рынке.


2 6. Сегментация рынка и диагностика конкурентной среды в системе маркетинга 167

Рис. 2.28.Плотности распределения рыночных долей конкурентов

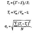
Для каждой из фирм оценивается темп прироста рыночной доли (Ts), опреде­ляются максимальное и минимальное значения Ts среди рассматриваемых фирм (Гтах, Ттiп), рассчитываются средние значения и среднеквадратичное отклоне­ние темпов прироста рыночной доли:

Рассчитанные показатели являются основными для построения конкурентной карты рынка, на которой можно выделить типовые стратегические положения фирмы, а затем провести ситуационный анализ и проектирование стратегии кон­куренции фирмы на данном рынке.

В табл. 2.22 показаны 16 типовых стратегических положений фирмы, каждому положению соответствуют свои значения S и Tt (табл. 2.23).



Глава 2. Маркетинговые исследования и бенчмаркйн?


Таблица 2.22. Конкурентная карта рынка

 

 

Классификация по темпу роста рыночной доли, Г, Классификация по рыночной доле фирмы, S
I. Лидер II. Сильная конкурентная позиция III. Слабая конкурентная позиция IV. Аутсайдер
I. Быстрое улучшение конкурентной позиции
II. Улучшение конкурентной позиции
III. Ухудшение конкурентной позиции
IV Быстрое ухудшение конкурентной позиции

Обозначив показатели 5 и Ts для каждого состояния фирм через Т^ и 5(-, конку­рентную карту можно представить в матричной форме:


2.6. Сегментация рынка и диагностика конкурентной среды в системе маркетинга 169

Конкурентная карта позволяет относительно верно определить соотношение сил на рынке и выявить маркетинговые задачи по положению фирмы в каждой ячейке матрицы, установить текущих и перспективных конкурентов, наметить рекоменда­ции по выбору стратегии конкуренции. В табл. 2.24 приведены базовые стратегии конкуренции в зависимости от условий и преимуществ конкуренции.

Таблица 2.24 Условия формирования и конкурентные преимущества базовых стратегий конкуренции

 

X. Характеристики ^Х. стратегий Вид базовой стратегии ^Х. Условия формирования Конкурентные преимущества
Снижение себесто­имости продукции 1 . Большая доля фирмы на рынке и широкий дос­туп к дешевым сырьевым ресурсам. 2. Ценовая эластичность и однородность спроса на продукцию фирмы 3 Преимущественно це­новая конкуренция 4. Потеря потребителями своего дохода при повы­шении цен 1 Дополнительный рост объема продаж и получение сверхприбыли за счет уменьшения рыночной доли конкурентов с более высокой ценой на аналогичные товары 2 Усиление позиции на рынке благодаря разрушению стратегий конкурентов в области дифференциации продукции и локализации рынка ввиду доступности цен на товары собственной фирмы 3 Сокращение числа конкурентов ввиду ужесточения входного барьера на дан­ный рынок фирмам с аналогичным това­ром
  5. Отраслевая стандарти­зация и отсутствие эф­фективной дифференциа­ции 4. Возможность увеличения резервов при повышении цен на сырье, материа­лы, комплектующие изделия и полуфаб­рикаты 5 Гарантии на получение прибыли в случае, если потребители смогут сни­зить цены у ближайших конкурентов 6 Возможность вытеснения товаров-заменителей за счет массовости и низ­ких издержек производства 7. Хорошие условия для создания имид­жа добросовестного и надежного парт­нера, заботящегося о бюджете потреби­телей
Дифференциация продукции 1. Наличие широкой воз­можности выделения то­варов на рынке, хорошее восприятие и оценка про­дукции потребителями 2 Разнообразная структу­ра спроса на выпускаемую продукцию 3. Неценовая конкуренция 4 Незначительная доля затрат потребителей на приобретение продукции в структуре их бюджета 1 Дополнительный рост объема продаж и получение сверхприбыли за счет за­воевания предпочтений различных групп потребителей благодаря превосходству в технологии и качестве, обеспечению более широкого диапазона или привле­кательности низких цен 2 Усиление позиции на рынке благодаря разрушению стратегий конкурентов в области снижения себестоимости стан­дартной продукции и локализации рынка за счет разнообразия предлагаемой продукции и лояльности потребителя

1?0Глава 2 Маркетинговые исследования и венчмаркинг

Продолжение табл. 2.24

 

V. Характеристики ^х. стратегий Вид базовой X. стратегии . Условия формирования Конкурентные преимущества
  5 Неразвитость стра­тегии дифференциа­ции продукции в от­расли 3 Сокращение числа конкурентов путем уже­сточения условий вхождения в отрасль за счет наличия сформировавшихся предпочте­ний потребителей 4 Возможность появления резервов при по­вышении цен на сырье, материалы, комплек­тующие изделия и полуфабрикаты 5 Гарантии на получение прибыли от реали­зации продукции предприятиям, пользую­щимся услугами только данной фирмы 6 Возможность вытеснения товаров-заменителей путем укрепления связей с потребителями 7 Хорошие условия для создания имиджа добросовестного и надежного партнера, за­ботящегося о потребителях и их специфиче­ских запросах
Сегментирование рынка 1 Различие потреби­телей по потребно­стям и целевому ис­пользованию товара 2 Отсутствие спе­циализации конку­рентов на конкретных сегментах рынка 3 Ограниченность резервов фирмы для обслуживания всего рынка 1 Дополнительный рост объема продаж и получение сверхприбыли за счет специали­зации фирмы на конкретном сегменте рынка (покупатели с особыми потребностями, географический район) 2 Возможность использования преимущест­ва стратегий снижения себестоимости или дифференциации продукции для ограничен­ного круга потребителей в целевом сегменте рынка 3 Дополнительный эффект благодаря ком­плексному обслуживанию конкретного сег­мента рынка на основе комбинированного использования стратегий снижения себе­стоимости и дифференциации продукции 4 Хорошие условия для создания имиджа фирмы, заботящейся о потребностях покупа­телей
Внедрение новшеств 1 Отсутствие анало­гов продукции 2 Наличие потенци­ального спроса на предлагаемые нов­шества 3 Готовность круп­ных предприятий ока­зать поддержку вне­дрению новшеств 1 Возможность получения сверхприбыли за счет монопольно устанавливаемых цен 2 Сокращение числа фирм, желающих по­пасть в отрасль, из-за монопольного владе­ния фирмой исключительными правами на продукцию, технологию и т д 3 Гарантия на получение прибыли в течение действия исключительных прав 4 Отсутствие товаров-заменителей 5 Создание имиджа новатора, использующе­го собственные достижения в области науки и техники для полной реализации потенци­альных возможностей потребителей

2.6. Сегментация рынка и диагностика конкурентной среды в системе маркетинга 171

Окончание табл. 2.24

 

\. Характеристики ^'^ч. стратегий Вид базовой ^^\^ стратегии Условия формирования Конкурентные преимущества
Ориентация на по­требность рынка 1 . Неэластичность спроса на продукцию 2 Отсутствие трудностей для «входа» и «выхода» из отрасли 3 Количество конкурентов на рынке невелико 4. Нестабильность рынка 1 . Получение сверхприбыли за счет вы­сокой цены на дефицитную продукцию 2. Высокая заинтересованность потре­бителей в приобретении товара 3 Небольшое количество товаров-заменителей 4. Возможность создания имиджа фир­мы, готовой пожертвовать всем для не­медленного удовлетворения изменив­шихся потребностей покупателей

Таблица 2.25. Проектирование стратегии конкуренции с учетом динамики рынка

 

Тип рынка Характерные черты рынка Перспективные направления конкуренции
Быстро­растущий новый рынок Неопределенность правил игры Нестабильность технологий, стандартов и предпочтений клиентуры Фирмы скорее заняты разработкой услуг и технологии, чем анализом намерений конкурентов Нет входного барьера для конкурентов Высокие стартовые издержки, но есть резервы снижения себестоимости услуг Отсутствие групп потребителей Инновационный стиль ведения бизнеса Закрепление преимуществ приоритета Расширение границ рынка и поиск новых групп клиентов Формирование приверженности потребителей Быстрое реагирование на новые технологии Защита позиций к моменту прихода крупных конкурентов
Рынок замедленного роста Усиление борьбы за долю рынка и снижение цен Насыщение рынка Разборчивость клиентов к цене и сервису Анализ и сокращение издержек Учет ценообразования конкурентов Инновации, снижающие издержки Увеличение продаж услуг старым клиентам
  Необходимо привлечение внешних источников ресурсов для инноваций Появление межрегиональной конкуренции Падение рентабельности рынка Концепция бизнеса Рост эластичности спроса по цене Поиск конкурентов — кандидатов на вывод с рынка Выход на внешние рынки для привлечения ресурсов и продажи услуг
Застойный или сокращаю­щийся рынок Рост агрессивности конкуренции Стабилизация или падение спроса/предложения Стабилизация цен Достижение высокой концентрации бизнеса Выделение растущего сегмента внутри застойного рынка и концентрация на нем Инновации, открывающие неценовую конкуренцию услуг Снижение себестоимости услуг

В отдельных случаях разрабатывают стратегию конкуренции с учетом динами­ки рынка (табл. 2.25) либо с учетом рыночной доли фирмы (табл. 2.26).


172_______________________________ Г лава 2 Маркетинговые Исследования и бенчяаркйнг

Таблица 2.26. Проектирование стратегии конкуренции с учетом рыночной доли фирмы

 

Степень доминирования фирмы на конкурентной карте рынка Вероятные методы конкурентной борьбы
Лидер Продолжение наступления анализируется доста­точность ресурсов для продолжения инноваций и усиления давления на конкурентов Стабилизация позиции поддержание достигнутого уровня рентабельности, установление входных барьеров, улучшение сервиса и сбалансирован­ность цен, сохранение доли рынка Борьба с конкурентами развертывание бескомпро­миссных кампаний давления на конкурентов, при­влечение потребителей и поставщиков, дискреди­тация конкурентов, переманивание персонала
Сильная конкурентная позиция Поиск незанятой ниши со слабой конкуренцией Приспособление к выбранному целевому рынку Создание идеальной услуги Имитация действий лидера Поглощение мелких конкурентов Создание отличительного имиджа
Слабая конкурентная позиция Удешевление или дифференциация услуг Сохранение существующей доли рынка и рента­бельности Реинвестиции на уровне достаточного минимума для получения краткосрочных прибылей извлече­ние ресурсов из сворачиваемого направления биз­неса для перемещения их в перспективные сектора
Аутсайдер Радикальная реорганизация фирмы перепозицио­нирование бизнеса, изыскание внутренних резер­вов, слияние с конкурентом, сокращение непри­быльного ассортимента Повышение цен если спрос неэластичен по цене Всемерное снижение издержек Распродажа активов, сокращение работающих, со­кращение части услуг Выход из бизнеса

Прогнозирование будущей конкурентной ситуации осуществляется при усло­вии, что конкурентная среда в ближайшем будущем формируется набором неиз­менных факторов Прогнозирование базируется на методе экстраполяции рыноч­ных тенденций и показателей (динамика рынка, динамика рыночных долей, пока­затели интенсивности конкуренции, показатели монополизации рынка, изменения конкурентных групп, движение конкурентов на конкурентной карте рынка). Точ­ность и надежность прогноза зависят от многофакторности и размера выборки показателей во времени Прогнозированию должен предшествовать макроэконо­мический анализ факторов, которые могут оказать влияние на качество прогноза будущей конкурентной ситуации.


Глава 3

МАРКЕТИНГ ВЗАИМОДЕЙСТВИЯ:

ИНТЕГРАЦИЯ И КООРДИНАЦИЯ

В МАРКЕТИНГЕ


3.1. ЦЕЛИ, ЗАДАЧИ И ВИДЫ ПЛАНИРОВАНИЯ

Во всех сферах и на всех уровнях организации и осуществления предпринима­тельской деятельности, в том числе и в маркетинговой деятельности, требуются подготовка и упорядочение решений о целях, средствах и мероприятиях (действи­ях), которые должны обеспечивать производство и реализацию продукции, удов­летворяющей имеющийся спрос и перспективные потребности покупателей.

Функции подготовки, обоснования, реализации и контроля таких решений в системе управления являются составными элементами процесса планирования.

Планирование как особая форма деятетьности, содержанием которой являют­ся разработка, согласование и контроль за ходом выполнения плана организации по созданию и реализации продукции, которая востребована на рынке, использу­ется в российском предпринимательстве начиная с 1990-х гг. (рис. 31).

Рис.3.1. Сущность планирования

Планирование как процесс разработки плана — это непрерывный поиск и ис­пользование новых путей и способов совершенствования деятельности предпри­ятия в постоянно меняющихся условиях рыночных отношений.

План может рассматриваться как модель поведения (настоящего или будуще­го) фирмы, как система мероприятий, направленных на достижение поставлен­ных менеджментом целей.

План предприятия включает систему мероприятий, необходимых для дости­жения тех или иных целей, их содержание, обеспеченность ресурсами, объемы, методы, последовательность и сроки выполнения работ по производству и реали­зации продукции.

План может рассматриваться и как совокупность прогнозов и социально-эко­номических целей, достижение которых обеспечивается использованием опреде­ленных средств и методов.

В отличие от программирования планирование обеспечивает систематическую, сбалансированную увязку целей организации с ее потенциальными возможно-


3.1. Цели, задачи и виды планирования 175

стями по производству и реализации продукции с целями коммерческого поведе­ния потребителей этой продукции.

При помощи планирования достигаются согласование и координация деятель­ности в системе вертикальных и горизонтальных уровней управления предприни­мательскими структурами, что определяет эффективность целеполагания, форми­рование и использование рациональной системы показателей деятельности, воз­можность более точно определить потребность в необходимых ресурсах (рис. 3.2).

Рис. 3.2.Планирование и координация в системе управления [109]

В рыночной экономике планирование охватывает уровень компаний и фирм, а на общенациональном уровне оно носит, как правило, индикативный, т. е. ори­ентирующий характер. Планы могут разрабатываться на уровне всего хозяйства страны (государственные, национальные), по отдельным отраслям (отраслевые) и регионам (территориальные), на уровне предприятий и фирм.

Цельпланирования заключается в уменьшении предпринимательского риска за счет снижения степени неопределенности будущих бизнес-коммуникаций и концентрации ресурсов на выбранных приоритетных направлениях деятельнос­ти организации.

Основными задачами планирования в системе предпринимательства являются: изучение факторов окружающей среды и конъюнктуры рынка; анализ состояния внутренней среды и ее основных характеристик; прогнозное ориентирование буду­щей стратегии развития; анализ возможных рисков и опасностей; экономическое обоснование концепции и стратегий функционирования и развития; разработка пла­на маркетинга; формирование плана производства и снабжение материалами и ре­сурсами; расчет ожидаемых финансовых результатов деятельности с учетом эколо-гичности производства и потребления продукции; определение источников финан­сирования для реализации обоснованной стратегии предпринимательства фирмы; разработка контрольных мероприятий для отслеживания затрат и результатов.

Планирование должно базироваться на следующих принципах: системность; комплексность; ограниченность ресурсов; вариантность; оптимальность; согласо­ванность; динамичность; адаптивность (табл. 3.1).


176Глава 3. Маркетинг взаимодействия: итефацияитгоординацияв маркетинге

Таблица 3.1. Принципы планирования

 

Принцип Характеристика принципа
Системности При планировании необходимо принимать в расчет многоуровневую структуру и специфические свойства проектируемой или функциони­рующей социально-экономической системы
Комплексности При оценке эффективности планирования должны учитываться по­следствия деятельности социально-экономической системы для внутрен­ней и внешней среды
Ограниченности ресурсов Необходимость наибол'ее рационального использования возобновляе­мых и невозобновляемых ресурсов
Вариантности При планировании предпринимательской деятельности необходимо рас­сматривать несколько вариантов возможных альтернатив достижения поставленных целей
Оптимальности При оценке альтернативных вариантов следует определять наиболее эффективный, который может обеспечить максимальный эффект за определенный момент времени
Согласованности При сравнении альтернативных вариантов необходимо приводить их к сопоставимому виду путем учета обратных и прямых связей, досто­верности их характеристик
Динамичности При технико-экономическом обосновании требуется учитывать фактор времени
Адаптивности При оценке эффективности вариантов следует учитывать вероятностный характер бизнес-характеристик и планировать затраты на адаптацию со­циально-экономической системы

В рыночной экономике функция планирования рассматривается на:

• макроуровне (национальная экономика в целом);

• мегауровне (отраслевые и региональные социально-экономические системы);

• микроуровне (предпринимательские структуры и организации).

На каждом из этих уровней наряду с планированием могут осуществляться прогнозирование и программирование.

Прогнозирование предпринимательской деятельности связано с выработкой долгосрочной стратегии развития социально-экономической системы (например, фирмы или организации) на основе анализа и оценки различных альтернативных вариантов ее функционирования.

Программирование — это вид деятельности, связанный с выбором наиболее важных проблем развития социально-экономической системы и формированием программ, представляющих собой комплекс мероприятий (заданий), направлен­ных на реализацию наиболее значимых целей, скоординированных между собой и увязанных по исполнителям, срокам и ресурсам.

Планирование различается по следующим признакам: по уровню, занимаемо­му той или иной социально-экономической структурой в иерархической струк­туре управления экономикой; содержательности плана; длительности горизонта планирования; охвату проблем; целевому назначению, точности разработки.

Так, различают план национальный, территориальный, или региональный, от­раслевой, краткосрочный, среднесрочный и долгосрочный, стратегический и так­тический, бизнес-план, маркетинг-план, интегрированный и неинтегрированный,


3.1. Цели, задачи и виды планирования___________________________________ 177

финансовый и экономический, глобальный и детальный, план управления, раз­вития, реконструкции, санации производства, контроля, стимулирования и т. д.

Особое значение для организации предпринимательской деятельности имеют бизнес-план и маркетинг-план.

Бизнес-план отражает, как правило, одно из важнейших направлений деятель­ности предприятия. Он содержит сведения о фирме, товаре, технологии его про­изводства, рынках сбыта, маркетинге, организации и эффективности предполага­емых (или усовершенствованных) предпринимательских решений. Бизнес-план может составляться как для получения информации об этапах, путях и эффек­тивности конкретного вида предпринимательской деятельности или операции, так и для обоснования целесообразности получения кредитов и финансирования, например, инновационного или других проектов.

Бизнес-план по объему и содержанию может совпадать, например на малых предприятиях, с планом предприятия. Крупные предприятия, особенно те, кото­рые имеют несколько направлений деятельности, могут иметь несколько бизнес-планов. Качество бизнес-плана должно быть высоким, так как он не только ис­пользуется внутри фирмы, но и представляется внешним организациям: постав­щикам, инвесторам, банкам и т. д.

Разработку бизнес-плана осуществляют специалисты предприятия разного профиля (экономисты, технологи, строители, финансисты, маркетологи и т. д.). Обязательным является участие в разработке бизнес-плана руководителя орга­низации, фирмы, так как руководитель представляет бизнес-план внешним заин­тересованным организациям. К разработке бизнес-плана могут привлекаться кон­сультанты, а при необходимости и возможности соответствующего финансиро­вания — специализированные организации, агентства.

Структура бизнес-плана в общем случае может включать: характеристику це­лей и задач конкретного бизнеса, анализ рынка, план маркетинга, план организа­ции производства, характеристику и структуру кадров, финансовое обоснование, экономические показатели производственной и сбытовой деятельности, сопро­водительные документы.

Установление планомерности и пропорциональности деятельности предпри­нимательских структур осуществляется в процессе планирования маркетинга, его стратегических целей. Это определяется тем, что цели маркетинга отражают дол­говременные и краткосрочные цели фирмы и выступают в качестве своеобразно­го инструмента их достижения.

Планирование маркетинга — это процесс, процедура составления плана маркетинга, выбора стратегий маркетинга, нацеленных на рост объема продаж товара и максими­зацию прибыли фирмы. Планирование маркетинга может также рассматриваться как обоснование будущего поведения маркетинговой системы, обеспечивающей эффек­тивное производство, распределение и реализацию продукции фирмы.

Планирование маркетинга охватывает все решения, которые должны быть осу­ществлены для достижения целей предприятия благодаря реализации целей мар­кетинга, а также средства и пути их осуществления. План маркетинга, таким об­разом, является составной частью плана предприятия. Он не только служит пред­посылкой реализации маркетинговых целей, но и предопределяет их выполнение (рис. 3.3).




Рис. 3.3.План маркетинга в системе производственного планирования

Необходимость систематического планирования маркетинга вызывают следу­ющие причины:

• неустойчивость, постоянные изменения факторов окружающей среды, что от­
ражается на конъюнктуре рынка;

• рост значимости и эффективности маркетинговой политики в системе приня­
тия предпринимательских решений;

• сложность согласования и упорядочения мероприятий предприятия при фор­
мировании стратегии поведения на рынке;

• рост числа и мощности создаваемых предприятий, которые требуют маркетин­
говой концепции управления;

• интернационализация рынков и конкуренции;

• нестабильность социальной, правовой и экономической информации;

• интенсификация капитала предприятий;

• постоянный рост числа инноваций и нововведений;


3.1. Цели, задачи и виды планирования 179

• непропорциональный рост затрат на маркетинг;

• возможность снижения предпринимательского риска.

Планирование маркетинга и его целей тесно взаимосвязано с планированием деятельности предприятия и его целями.

Цели деятельности предприятия могут быть количественными и качественны­ми. К количественным целям можно отнести: объем прибыли, рост прибыли на инвестированный капитал; объем оборота; долю рынка; производительность труда и др. Качественные цели в основном связаны с имиджем, престижем фирмы, охра­ной окружающей среды, социальной защитой работающих и неработающих граж­дан, поддержкой и спонсорингом общественных организаций и мероприятий.

Цели маркетинговой деятельности (цели маркетинга) выступают как инстру­мент обеспечения целей предприятия и, как правило, связаны с поддержанием или увеличением доли фирмы на действующих рынках, с ростом доли фирмы на рынках за счет охвата и продвижения на другие рынки или ниши (рис. 3.4). Глав­ная цель маркетинга достигается благодаря осуществлению основных целей, та­ких как улучшение качества и дизайна продукта; рационализация распределения и сбыта товара; совершенствование ценообразования и стимулирование покупа­телей; оптимизация коммуникативных процессов в системе маркетинга.

Рис. 3.4.Взаимосвязь целей предприятия с целями маркетинга

План маркетинга включает следующие разделы:

краткое описание важнейших результатов или состояния проблемы;

ситуационный анализ внешней и внутренней среды маркетинга;

постановка целей маркетинга;

разработка стратегий маркетинга;


180 Глава 3. Маркетинг взаимодействия: интеграция и координации в маркетинге

• формирование маркетинговых мероприятий;

• определение затрат на маркетинг;

• контроль выполнения мероприятий плана маркетинга.

Для достижения целей маркетинга решаются следующие задачи его планиро­вания:

• выявление целей и критериев оценки планирования маркетинга в зависимости
от целей фирмы, состояния рынка и других факторов, влияющих на деятель­
ность фирмы;

• определение внутренних резервов и потенциала маркетинга на предприятии;

• корректировка (или формирование) стратегического плана маркетинга;

• организация информационного обеспечения процесса разработки плана мар­
кетинга;

• разработка рациональной структуры плана маркетинга по всему комплексу
маркетинга-микса и выявление резервов частных планов (товарного, распре­
делительного, ценового, коммуникативного) маркетинга;

• организация процесса разработки плана маркетинга и его составных элемен­
тов (плана ассортимента, плана поставок, плана ценовой политики, плана сбы­
та и т. д.);

• увязка, координация и интеграция составных частей плана маркетинга;

• создание системы маркетинг-контроля за результатами маркетинговой деятель­
ности по выполнению плана маркетинга и за основными показателями деятель­
ности предприятия;

• оценка перспективных тенденций развития рынка, конкуренции с целью кор­
ректировки плана маркетинга и улучшения адаптации предприятия к постоян­
но меняющейся рыночной конъюнктуре.

Систематизированный план маркетинга интегрирует различные составные ча­сти планов, осуществляет согласование всех мероприятий, проведение которых способствует достижению целей плана. Планы маркетинга классифицируются по таким критериям, как длительность срока действия; содержание или широта ох­вата проблем объекта планирования; точность или глубина проработки; цель пла­нирования маркетинга; способ разработки (степень участия в формировании пла­на) (табл. 3.2).

В зависимости от длительности срока действия различают кратко-, средне- и долгосрочные планы маркетинга.

Краткосрочные планы маркетинга разрабатываются на период до одного года. Они имеют установленные цели и мероприятия по их достижению. Такие планы могут разрабатываться на год, полгода, квартал, неделю и даже на один день. Труд­ности краткосрочного планирования заключаются в планировании оборота и сбы­та товара. Мероприятия этого плана формируются по объему и времени исполь­зования инструментов маркетинга (например, реклама, продвижение товара, об­щественная работа и т. д.). В краткосрочные планы маркетинга включаются также мероприятия по исследованию рынка.


3.1. Цели, задачи и виды планирования



Таблица 3.2. Виды планов маркетинга

 

Критерий Вид плана маркетинга
Длительность срока действия плана маркетинга Долгосрочный, среднесрочный и краткосрочный планы
Содержательность, широта охвата проблем объекта планирования Интегрированный общий план Неинтегрированный план План оборота, план сбыта План маркетинговых мероприятий План исследования рынка План информационного обеспечения и т. д.
Точность, глубина проработки плана Укрупненный (общий) или глобальный план; деталь­ный, подробный план
Целевое назначение плана маркетинга План разработки проекта, план организации управ­ления, план разработки нового продукта, бизнес-план и т д
Способ разработки (степень участия в формировании) плана План целей маркетинга План ценовой политики План товарной политики План маркетинговых коммуникаций План контроля маркетинга План ревизии маркетинга Финансовый план План реализации товара План формирования заказов и поставок План складирования сырья и материалов и т. д.

1 Среднесрочные планы маркетинга разрабатываются на период от одного года до пяти лет. Они базируются на краткосрочных планах маркетинга и на исследова­ниях перспектив развития рынка и инвестиций. На такой основе формируются главным образом планы по сбыту, обороту, затратам и результатам деятельности. Перечисленные планы маркетинга образуют основу для краткосрочных планов предприятия, например для финансового и инвестиционного планов.

Долгосрочные планы маркетинга разрабатываются на период более пяти лет. Центральная задача долгосрочных планов заключается в том, чтобы в сложив­шейся в настоящее время ситуации сформировать маркетинговые решения, кото­рые будут эффективными в долгосрочной перспективе. Трудность составления долгосрочного плана маркетинга состоит в планировании будущих объема пред­ложения и рынков. Поэтому формируются не мероприятия, а структура перспек­тивных маркетинговых решений. Основой для долгосрочных планов маркетинга являются прогнозы и анализ жизненных циклов существующих на рынке това­ров. Период разработки планов зависит от отрасли и вида товара. Для торговли длительность срока действия плана может быть меньше, чем, например, для энер­гетики или транспортной системы.

Основными требованиями для всех видов планов маркетинга являются их ре­альность, достижимость, возможность выражения в количественных величинах и возможность осуществления их согласования и интеграции.

По содержанию или широте охвата проблем объекта планирования выделяют: интегрированные общие планы маркетинга; неинтегрированные отдельные пла-


182________ Глава 3. Маркетинг взаимодействия: интеграция и координация в маркеГиЙгё

ны; планы оборота и сбыта; план маркетинговых мероприятий; план исследова­ния рынка; план обеспечения информацией.

По точности или глубине проработки планы маркетинга делятся на укрупнен­ные (общие), или глобальные, определяющие только рамки будущего развития и сопровождающиеся общими перспективными мероприятиями, и на подробные (детальные) планы, разрабатываемые для конкретной ситуации и конкретной проблемы маркетинга.

По цели планирования маркетинга планы разделяются по тому, как они могут быть использованы при планировании какого-либо предмета или процесса, на­пример в бизнес-плане, в плане разработки проекта нового изделия, в плане уп­равления организацией или в плане производства.

По способу разработки выделяют планы маркетинга, составленные по схеме «сверху вниз» и по схеме «снизу вверх» [74; 92]. В последнем случае для состав­ления плана привлекаются источники и информация, поступающая от продав­цов, управляющих по сбыту, сотрудников отдела маркетинговых исследований и других подразделений службы маркетинга. Планы маркетинга, разрабатываемые «снизу вверх», более реалистичны, но возникают трудности при координации и интеграции планов в единый план маркетинга, так как возможны различные ре­шения одной и той же проблемы.

При разработке планов маркетинга «сверху вниз» таких трудностей не возни­кает, так как имеются централизованное управление и контроль со стороны ме­неджмента. Но возможны нарушения психологического климата, поскольку в про­цесс планирования вовлекается меньше руководителей более низких уровней. Сочетание этих двух способов и распределение функций установления целей и направлений деятельности высшему звену управления, а функций реализации поставленных задач — другим звеньям управления могут быть эффективным на­правлением разработки планов маркетинга (плана целей маркетинга, плана мар­кетинговых коммуникаций, плана формирования заказов и т. д.).


<== previous lecture | next lecture ==>
Этап 6. Внедрение новаций в бизнес-процесс своего предприятия | ТОВАР В СИСТЕМЕ МАРКЕТИНГА
lektsiopedia.org - 2013 год. | Page generation: 1.099 s.