Студопедия
rus | ua | other

Home Random lecture






Фирмы с показателями качества товара конкурента. В связи с этим качественные


Date: 2015-10-07; view: 880.


показатели конкурентоспособности товара подразделяются на классификацион­ные и оценочные.

Классификационные показатели раскрывают свойства товара, которые опреде­ляют его назначение, область применения и условия использования.

Оценочные показатели характеризуют свойства товара, которые определяют его качество. Оценочные показатели используются для анализа соответствия пара­метров продукции технологическим требованиям и стандартам, а также для уста­новления степени соответствия товара, его свойств конкретной потребности.


4.3 Конкурентоспособность товара 249

Оценка соответствия параметров продукции технологическим требованиям и стандартам, как правило, осуществляется на стадии производства и аттестации товара. Поэтому эту группу оценочных показателей можно условно назвать нор­мативно-производственной.

Оценка соответствия свойств товара конкретной потребности производится чаще всего в процессе использования товара. Поэтому эту группу оценочных по­казателей условно можно называть консументной (от англ, consume — потреблять).

Консументные оценочные показатели имеют особое значение в системе комп­лексной оценки конкурентоспособности товара. Они обычно подразделяются на групповые и конкретные показатели. Среди групповых показателей выделяют функциональные, надежностные, эргономические и эстетические.

Функциональные оценочные показатели включают, например, такие единич­ные показатели, как совершенство выполнения основной функции, универсаль­ность применения, совершенство выполнения вспомогательных функций.

Надежностными оценочными показателями являются безотказность, долговеч­ность, ремонтопригодность, сохраняемость.

Эргономические оценочные показатели объединяют такие конкретные показа­тели, как гигиенические, антропометрические, физиологические, психофизиоло­гические, психологические.

В группу эстетических оценочных показателей включают такие конкретные показатели, как рациональность формы, художественная ценность, целостность композиции, совершенство и стабильность товарного вида.

Экономические показатели конкурентоспособности товара должны оценивать цену потребления, т. е. затраты потребителя, необходимые для удовлетворения его потребности. Они включают затраты на приобретение товара и затраты по эксплуатации товара. Цена потребления (Цп) складывается из рыночной цены товара (Цт), а также расходов, связанных с эксплуатацией (Цэ), использованием этого товара в период его жизненного цикла:

Принимая решение о покупке, покупатель обращает внимание не только на цену товара, но и на то, в какую сумму обойдется ему эксплуатация, содержание этого товара в процессе его использования. Установлено, например, что расходы по эк­сплуатации многих видов товаров во много раз превосходят цену, по которой их приобретают. Так, рыночная цена грузового автомобиля составляет лишь 15% общих расходов по его эксплуатации, магистрального самолета — 10, а тракто­ра - 20%.

Поэтому, определяя уровень конкурентоспособности товара, следует учиты­вать затраты потребителя по приобретению и эксплуатации товара, а не только сравнивать товары по степени их соответствия конкретным потребностям.

Затраты по эксплуатации товара в общем случае включают: затраты по обслу­живанию товара (изделия, установки, прибора); расходы на топливо, электроэнер­гию, сырье и материалы; затраты на текущий ремонт; затраты на сервисное обслу­живание по окончании гарантийного срока; расходы, связанные с оплатой нало­гов; затраты на страхование товара; затраты по утилизации отходов, которые могут появиться при эксплуатации товара и оказывать негативное влияние на окружа­ющую среду.


250 Глава 4. Маркетинг взаимодействия: товарная политика в системе маркетинговых решений

Цена товара не полностью отражает единовременные затраты потребителя по приобретению товара, так как при ее определении не всегда учитываются затраты по транспортировке товара от места покупки до места его установки или эксплу­атации, не включаются расходы по его хранению, по оплате труда за монтаж и установку товара, приведение его в работоспособное состояние.

Таким образом, единовременные затраты по приобретению товара складыва­ются из цены товара, затрат по транспортировке, хранению товара, стоимости тех­нической информации и инструкций с учетом их перевода на национальный язык (для импортных товаров), затрат по установке, монтажу и приведению товара в работоспособное состояние.

Однако бывают и исключения, когда, например, фирмы в цену товара включа­ют почти все дополнительные единовременные затраты, обеспечивая высокий уровень сервисного обслуживания до и после приобретения товара. В отдельных случаях предприятия все дополнительные единовременные затраты берут на себя и тем самым создают благоприятные условия для реализации своих товаров. Эти затраты компенсируются дополнительной прибылью, получаемой за счет увели­чения объема продаж товара.

Маркетинговые показатели характеризуют уровень осуществленных или осу­ществляемых затрат предприятия на обеспечение маркетингового окружения то­вара, что создает известность товару и его марке, привлекаемым поставщикам и дистрибьюторам, а также имидж товара. Для анализа конкурентоспособности то­вара определяют и сравнивают структуру маркетинговых показателей для своего товара и товара конкурентов.

По своему содержанию маркетинговые показатели относятся к экономическим1 показателям, однако ввиду их особой значимости для формирования товарной по­литики предлагается условно выделять их в отдельную самостоятельную группу.

Таким образом, конкурентоспособность товара — относительный показатель, который отражает отличие характеристик данного товара от характеристик това­ра-конкурента как по степени соответствия конкретной общественной потребно­сти, так и по затратам, связанным с производством товара, его маркетинговым сопровождением и использованием (эксплуатацией). Показатель конкурентоспо­собности товара не тождествен показателю уровня качества товара. Дело в том, что при оценке качества товара сравниваются однородные товары, тогда как при оценке конкурентоспособности возможно сопоставление и неоднородных това­ров, различающихся только способами удовлетворения одной и той же потребно­сти. При этом следует иметь в виду, что конкурентоспособность товара обеспечи­вается на протяжении всего жизненного цикла товара и должна реализовываться на всех его стадиях.

Оценка уровня конкурентоспособности товара начинается с обоснования или уточнения цели и задач по ее достижению (рис. 4.13). Главной целью оценки кон­курентоспособности товара является обеспечение постоянной привлекательности конкретного товара на рынке, наделение его преимуществами по сравнению с ана­логичным по назначению товаром конкурентов. В зависимости от конкретных ус­ловий ня рынке и возможностей фирмы достижение этой цели может быть связано с решением различных задач, которые определяют содержание и объем необходи­мой информации о рынке, товаре и конкурентах. Такими задачами могут быть, на-



4.3. Конкурентоспособность товара 251

Рис. 4.13.Примерная схема оценки уровня конкурентоспособности товара

пример, производство и вывод малого товара на национальный или международ­ный рынок; повышение конкурентоспособности существующего на рынке товара по сравнению с товаром-эталоном; оценка перспективного конкурентного статуса товара и фирмы; разработка мероприятий по повышению уровня конкурентоспо­собности по отдельным параметрам товара; регулирование цены потребления то­вара; изменение стратегии и тактики маркетинга на конкретном рынке в связи с появлением на рынке новых производителей аналогичного товара и т. д.

Определив цель оценки анализа конкурентоспособности товара, переходят к сбору и комплексному исследованию данных о рынке, покупателях и конкурен­тах. На основе комплексного исследования, которое проводится с использовани­ем методов и инструментария маркетинговых исследований (см. главу 2), опре­деляют требования к товару-эталону и выбирают параметры оценки товара.


252 Глава 4 Маркетинг взаимодействия: товарная политика в системе маркетинговых решений

Прежде всего анализируются показатели качественных параметров: норматив­но-производственные, консументные и классификационные. Так, анализ норма­тивно-производственных параметров начинают с исследования патентной чисто­ты изделия, затем устанавливается соответствие параметров изделия существую­щим стандартам и нормам, их границам. В случае если установлено несоответствие патентной чистоты изделия или несоблюдение стандарта, то изделие не может быть рекомендовано для удовлетворения существующей потребности.

Для оценки уровня нормативных параметров используется специальный по­казатель, который имеет только два значения: 1 или 0. Если изделие соответствует обязательным нормам и стандартам, то этот показатель равен 1, если нет, — то 0. Общий показатель по нормативным параметрам (Iнп) рассчитывается как произ­ведение частных показателей по каждому параметру:

где qiчастный показатель по i-му нормативному параметру; т — число нормативных параметров, подлежащих оценке.

Как видно, если один из частных показателей будет равен 0, то общий показа­тель также будет равен 0, а значит, изделие или товар в этом случае является не­конкурентоспособным.

При оценке консументных параметров устанавливается, какие свойства товара наиболее ценны для покупателя, а затем определяется соответствие свойств су­ществующего товара этой потребности или эталону. В количественном отноше­нии такая оценка может быть произведена по формуле:

где Кi — частный консументный показатель по i-му параметру; Рнiвеличина i-ro пара­метра анализируемого изделия, Рэiвеличина i-го параметра эталонного изделия (на­пример, товара-конкурента).

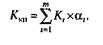
После расчета других частных консументных показателей определяют общий показатель по консументным параметрам кп):

где аi-— удельный вес i-ro параметра из общего числа параметров (т); т — число парамет­ров, по которым осуществляют оценку способности.

Рассчитанный общий показатель Ккп показывает, насколько создаваемый (или уже созданный) товар соответствует эталонному товару по данному параметру. На практике такое сопоставление возможно с товаром-конкурентом. Поэтому реальное значение Ккп должно быть проверено на соответствие конкретной по­требности:


4.3. Конкурентоспособность товара_____________________________________ 253

где Рнi — величина консументного параметра создаваемого изделия; PKiвеличина консу-ментного параметра изделия-конкурента.

Оценка экономических параметров конкурентоспособности связана с опреде­лением цены потребления анализируемого (или создаваемого) изделия и сравне­нием ее с ценой потребления товара-конкурента. Сравнение цен потребления про­изводится по формуле:

где Э — общий показатель по экономическим параметрам; Цпацена потребления анали­зируемого изделия; Цпк — цена потребления товара-конкурента.

Конкурентоспособность товара как относительный и комплексный показатель привлекательности товара обладает также таким свойством, как индивидуаль­ность, поскольку отражает потребности конкретных покупателей и конкретных рынков.

Успех товара на рынке определяют все факторы конкурентоспособности, в том числе и маркетинговые параметры, которые могут влиять на величину ожидаемо­го эффекта при выводе товара на рынок.

В настоящее время считается, что современная конкуренция «есть конкурен­ция не между тем, что компании производят на своих заводах, а между тем, что они добавляют к продукту в виде упаковки, услуг, рекламы, консультации поку­пателей, финансирования организации, доставки, складирования и других зна­чимых для потребителей преимуществ» [64].

Отсутствие маркетингового сопровождения товара значительно снижает уро­вень его конкурентоспособности и может быть оправданно лишь в условиях де­фицитной экономики. В условиях становления и развития рыночных отношений, когда на смену сбытовой концепции маркетинга приходят современная концеп­ция маркетинга и концепция маркетинга взаимодействия, при оценке уровня кон­курентоспособности товара необходимо учитывать маркетинговые параметры.

Единичные и групповые показатели по маркетинговым параметрам могут быть рассчитаны по выражениям, аналогичным тем, которые используются при оцен­ке качественных и экономических параметров.

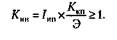
После определения общих показателей конкурентоспособности по качествен­ным, экономическим и маркетинговым параметрам рассчитывается интегральный показатель уровня конкурентоспособности изделия:

При Ккп > либо равно 1 изделие считается конкурентоспособным.

Оценка конкурентоспособности изделия или товара — достаточно сложный процесс. Определенные трудности могут возникнуть при выборе единой размер­ности сопоставляемых показателей и оценке их значимости, определении коэф­фициентов весомости различных свойств изделия для потребителя.

Предложенный методический- подход к оценке уровня конкурентоспособнос­ти носит учебно-аналитический характер. На практике для этих целей использу-


254 Глава 4. Маркетинг взаимодействия, товарная политика в системе маркетинговых решений

ются методики определения конкурентоспособности товара с учетом отраслевых, межотраслевых и международных особенностей оценки тех или иных показате­лей. Особую значимость при расчетах конкурентоспособности товаров имеют квалификация привлекаемых экспертов и уровень проработанности маркетинго­вых исследований.

Таким образом, качество оценки конкурентоспособности товара зависит от того, насколько философия маркетинга охватила всю систему управления производ­ственно-сбытовой деятельности, насколько полно при расчетах учтены потреб­ности существующих или будущих покупателей, а также возможности повыше­ния качества и снижения себестоимости товара.

Мероприятия по повышению конкурентоспособности, таким образом, должны быть нацелены на формирование привлекательности и преимуществ товара на стадии разработки, создания, распределения, сбыта товара и послепродажного обслуживания покупателя

Конкурентоспособность товара является определяющим фактором конкурен­тоспособности фирмы.

Конкурентоспособность фирмы — это реальная и потенциальная способность предприятия с учетом имеющихся у него для этого возможностей проектировать, изготавливать и реализовывать в конкретных условиях товары, которые по сво­им потребительским и стоимостным характеристикам в комплексе более привле­кательны для потребителей, чем товары конкурентов.

Конкурентоспособность фирмы, как всякого предприятия-производителя, ха­рактеризует возможности и динамику приспособления производителя к изменя­ющимся условиям конкуренции на рынке (Н. К. Моисеева, 1998).

Показатель конкурентоспособности производителя п) определяется как про­изведение индекса конкурентоспособности товара или товарной массы (Iт) на индекс относительной эффективности производственной деятельности (Iэ):

В качестве показателей эффективности деятельности фирмы могут исполь­зоваться такие показатели, как рентабельность, объем продаж и их модифика­ции (рентабельность продаж, рентабельность активов, оборачиваемость това­ров и др.).

Методы оценки уровня конкурентоспособности производителя достаточно раз­нообразны — по сравнительным преимуществам; по факторам производства; по рыночным позициям фирмы; по качеству продукции; матричный метод Эти ме­тоды достаточно подробно проанализированы в отечественной литературе, напри­мер профессором Н. К. Моисеевой [21].

Анализ конкурентоспособности производителя включает: анализ текущей ры­ночной ситуации, в которой функционирует или будет функционировать фирма; изучение приоритетных (опасных) конкурентов; анализ возможностей проник­новения на рынок сбыта; анализ программы коммуникативного воздействия в конкурентной борьбе и т. д. Сравнительный анализ стратегий фирмы и стратегий конкурентов проводится по основным элементам маркетинга-микса и служит ба­зой для разработки мероприятий по повышению уровня конкурентоспособности фирмы.


4.4. Стратегические решения в товарной политике__________________________ 255


<== previous lecture | next lecture ==>
Глава 4. Маркетинг взаимодействия: товарная политика в систвмпвпрмкинговых рийений | СТРАТЕГИИ ФОРМИРОВАНИЯ ПРИВЛЕКАТЕЛЬНОСТИ ТОВАРНОГО ПРЕДЛОЖЕНИЯ
lektsiopedia.org - 2013 год. | Page generation: 0.635 s.