Студопедия
rus | ua | other

Home Random lecture






ПСИХОЛОГИЧЕСКИЕ АСПЕКТЫ ЦЕНОВОГО МЕНЕДЖМЕНТА


Date: 2015-10-07; view: 703.


ПОВЕДЕНИЕ ПОКУПАТЕЛЕЙ.

На политику цен предприятия влияет поведение покупателей, при этом значи­тельное влияние на нее оказывают психологические и социальные факторы, что подтверждено многими эмпирическими исследованиями. Однако эти исследова­ния не обнаружили согласованности между реакцией потребителей на цены и классической теорией цены. Это привело к образованию гипотез, сильно ориен­тированных на теорию поведения.

Несмотря на бесспорное значение психологических и социальных факторов для решения ценовых стратегий, до сих пор не существует закрытой модели, обеспе­чивающей эту взаимосвязь.

Особое место среди исследований цен, проводимых на основе теории поведе­ния, занимает конструкция1: интерес к цене, знание цены и восприятие цены, про­цесс оценки цены, анализ «психологической цены».

Под интересом к ценекак мотивационным аспектом ценового поведения по­купателя понимается потребность покупателя искать информацию по ценам и учитывать ее при принятии решения о покупке. При анализе интереса к цене вы­деляются три характеристики:

• интенсивность и сила интереса к цене;

• объект интереса к цене;

• последствия ценового интереса.

Знание об интенсивности и силе интереса потребителя к ценедля производи^

телей и торговцев важно для того, чтобы можно было заранее реагировать поли­тикой цен на увеличивающуюся или уменьшающуюся восприимчивость цен по­купателями.

Объект интереса к цене— это не только выбор марки продукта, но также не­редко выбор места, времени, величины упаковки покупки. Выбор места покупки как объекта ценового интереса покупателя нередко важнее, чем выбор марки, что видно из табл. 5.8.

Последствия ценового интересачасто формируются в результате упрощения потребителем своего ценового поведения посредством отказа от широкого анали­за всех цен и перехода к анализу цен в интересующих его товарных группах.

Здесь и далее: Diller, 1982,1988, 1991.


5 2 Факторы, влияющие на политику цен предприятия



 


Таблица 5.8. Субъективно ощущаемая важность цены при различных покупательских решениях,%

 

Как важно обращать внимание на разные цены При выборе магазина При выборе марки При выборе величины упаковки При выборе времени покупки
Очень важно 42,2 31,2 37,3 16,9
Важно 38,6 39,8 33,7 34,9
Важно только иногда 14,5 24,1 10,8 16,9
Менее важно 3,6 4,8 12,0 9,6
Совсем неважно 1,2 0,0 6,0 21,7

Выделяются четыре так называемые стратегии упрощения ценового поведения покупателя, в особенности по товарам краткосрочного пользования:

• потребитель имеет склонность к временному перемещению информационной
активности от фазы подготовки к покупке к фазе осуществления покупки;

• это перемещение характеризуется переходом от активного к пассивному при­
ему ценовой информации, которую без труда можно найти при покупке;

• так как спрос теперь ориентируется на предлагаемую при покупке ценовую
информацию, то покупается то, что в торговле представлено как особенно бла­
гоприятное по цене (относительно других цен);

• дополнительно упрощение ценового поведения осуществляется через исполь­
зование обобщенных правил покупки (например, большие упаковки товара
стоят дешевле, чем малые; качество марочного товара выше, чем немарочного,
поэтому высокая цена на марочный товар является обоснованной (достойной)).

Под знанием ценыпонимается всякая информация, получаемая из долговре­менной памяти потребителя и значимая для субъективной оценки выгодности покупки желаемого продукта (услуги) с точки зрения цены. Знание цены, кото­рое еще часто называют осведомленностью о цене, описывается следующими ха­рактеристиками (рис. 5.10).

В начальных исследованиях знания цены акцент был сделан на тщательности и объеме знания цены, т. е. на том, как покупатели могли точно вспомнить цены каких-нибудь продуктов. Дальнейшими аспектами знания цены стали субъектив­ная уверенность в возможности вспомнить цены и возможность переработать зна­ние цены в ценовую информацию.

Под содержанием знания ценыпонимаются предметы и качество хранимой в памяти ценовой информации. При этом важное значение имеет форма знания цены. Первый опыт по структуризации содержания знания цены в рамках опроса потребителей по десяти категориям продуктов представлен на рис. 5.11.

Потенциальное содержание знания цены характеризуется как имеющаяся в распоряжении информация о розничных ценах, их распределении и об «якоре» суждений о ценах. Последнее является результатом связи знания о розничных




Рис. 5.10.Характеристики знания цены

ценах и их распределении с индивидуальными реакциями согласия с ценами. При якоре суждения о ценах речь может идти, во-первых, о справочной (рекомендуе­мой) цене (например, цена в одной продуктовой группе, воспринимаемая как сред­няя) и, во-вторых, о пороге ценового согласия.


Рис. 5.11.Формальное расчленение возможного знания о цене

Если цена покупки продукта (цена в представлении клиента) будет ниже или выше этого абсолютного ценового порога, то доля покупателей (более или менее) снизится. Цены ниже нижнего ценового порога приводят, как правило, к сомне­нию покупателей в качестве продукта. Цены выше верхнего ценового порога не принимаются во внимание (например, ввиду недостаточной покупательской спо-


5.2 Факторы, влияющие на политику цен предприятия 319

собности). Абсолютная высота ценового порога особенно зависит от имеющегося в распоряжении покупателя дохода и уровня его притязаний. При постоянно ра­стущих или снижающихся ценах область нормируемых цен приспосабливается с временной задержкой к действительным ценам. В рамках ценового согласия по­купателя, т. е. между высоким и низким абсолютным уровнем ценового порога, часто можно также отметить скачкообразно протекающую оценку цен. Потреби­тель распределяет воспринятые им цены внутри товарной группы по определен­ным категориям Границы этих категорий называют относительными ценовыми порогами (рис. 5.12).

Рис. 5.12.Относительные пороги цен и категоризация суждений о цене

Интерес к цене, знание цены и процесс оценки цены являются важной частью аспекта восприятия (осознания) цены. Под восприятием цены понимаются уста­новки и ожидания покупателей относительно цены покупки определенной про­дуктовой группы или отдельного продукта. Восприятие цены имеет большое зна­чение для объяснения покупательского поведения.

В рамках эмпирических исследований было установлено, что связь между вос­приятием цены и покупательскими решениями сильно зависит от спрашиваемых продуктовых групп. Поэтому анализы восприятия цен по специфическим про­дуктовым группам могут поставлять важные указания для политики цен, а также и для марочной политики производителей и торговцев.


320 Глава 5. Маркетинг взаимодействия: ценовая политика

Следующий аспект восприятия цен касается оценки цены. При решении о по­купке главным для покупателей является не объективная цена продукта, а субъек­тивная оценка предложенной за продукт цены. В этой связи различают суждения (мнения) о «благосклонной цене» и «достойной цене».

В рамках суждения о «благосклонной цене» потребители оценивают исклю­чительно цену и не принимают во внимание качество данного товара. Такое по­ведение можно наблюдать при оценке цен таких продуктов, которые восприни­маются потребителями как «взаимозаменяемые» и предлагаемые в различных местах покупок по различным ценам. Суждения о «благосклонной цене» имеют существенное значение для оценки мест покупок, а также для политики имид­жа торгового предприятия.

Суждения о «достойной цене» касаются соотношения «цена-качество» благ «Достойная цена» характеризует воспринятое покупателем соотношение между пользой (ценностью) продукта и уплачиваемой ценой. В этом отношении «дос­тойная цена» находится под влиянием размера субъективно воспринятой пользы (ценности) продукта. При суждении о «достойной цене» речь чаще всего идет о многомерном оценочном процессе, в который вливается также оценка пользы (цен­ности) продукта, воспринимаемой покупателями. Для производителей и торгов­цев является особенно значимой обоснованная техника оценки, так как она дает указание, насколько вариация отдельных цен, либо общее изменение цен, либо изменение одиночных или всех качественных свойств блага ведет к желаемому успеху.

Анализ восприятия цены и вид оцениваемой цены позволяют производителю и торговцу целенаправленно провести мероприятия в области политики цен. Обычно в розничной торговле предлагают продукт с дробной ценой, которая вплотную примыкает к круглой цене. Этот широко распространенный вид уста­новленной цены в экономической литературе называют «психологической це­ной». Различие между дробной, округленной ценой и выраженной круглой циф­рой зависит от вида рассматриваемой продуктовой группы. Цены вида 7,99 руб. называются дробными, цены вида 3,40 руб. — округленными, а цены вида 10 руб. — круглыми.

В рамках эмпирических исследований было установлено, что до 90% товаров в розничной торговле имеют дробные цены. Кроме того, выявлено существование порогов круглой цены. Превышение порогов круглой цены ведет к значительной потере сбыта. Новые исследования в розничной торговле показали, что округле­ние дробных цен не ведет к потере сбыта. Округленная цена воспринимается как «честная» цена. Таким образом, округленная цена может улучшить имидж цены и увеличить симпатию потребителей к местам торговли.

На реакцию потребителей на альтернативные ценовые стратегии влияют факто­ры, имеющие отношение к продукту, а именно оценка качества продукта посред­ством цены и жизненный цикл продукта. Поскольку потребителю трудно полу­чить объективную оценку качества продуктов, он классифицирует продукты по качеству, опираясь на уровень цен. Потребители исходят из того, что чем выше цена, тем выше качество продукта. Такое поведение можно объяснить следующим.

1. Цена является величиной одномерной, что облегчает оценку качества про­дукта потребителем. Качество же является многомерной величиной.


5.2 Факторы, влияющие на политику цен предприятия 321

2. Потребители воспринимают затраты на производство продукта как фактор,
влияющий на цену. Высокое качество, по мнению потребителя, сопровождается
высокими затратами и, соответственно, высокими ценами. Отсюда потребитель
увязывает качество с ценой.

3. Потребитель знает по своему опыту о связи высокой цены с высоким каче­
ством, покупая те или иные продукты.

4. Потребители через оценку качества продукта посредством цены пытаются
уменьшить субъективно ощущаемый ими риск от покупки. Высота риска и вместе
с тем интенсивность зависимой от цены оценки качества продукта зависят от боль­
шого числа мотивационных, познавательных и ситуативных факторов (рис. 5.13).

Рис. 5.13.Факторы влияния субъективно ощущаемых покупательских рисков на оценку качества продукта через цену

Знание зависимой от цены оценки качества имеет различное влияние на выбор леновой стратегии. Выбор оптимальной цены введения на рынок нового продук­та находится под влиянием иррадиации «цена-качество» (эффекта излучения). Склонность покупателей проводить оценку качества нового продукта по цене от­крывает производителям и торговым предприятиям значительный простор в об­ласти цен. Это особенно касается рынков, на которых отсутствуют сильные мар­ки, оценка качества потребителями сильно затруднена и покупка связана с соци­альными и экономическими рисками. Соотношение «цена—качество», субъективно воспринимаемое покупателями, имеет большое значение также в рамках диффе­ренциации цен. Поскольку иррадиация «цена-качество» возникает в одной про-д\ ктовой группе, цена представляет собой важный инструмент для управления лмиджем. Поэтому в стратегических ценовых стратегиях предприятия добива­ются консистенции «цена-качество». Безуспешная политика специальных пред-


322 Глава 5. Маркетинг взаимодействия: ценовая политика

ложений в розничной торговле с неизвестными марками объясняется, напримег иррадиацией «цена-качество».

Наряду с оценкой качества продукта по цене при выборе ценовой стратегии принимается во внимание концепция жизненного цикла, которая представляет собой модель реакции рынка во времени. Если бы предприятие знало о реакшь рынка, в зависимости от времени и возможных дополнительных рыночных инс­трументов для отдельных рыночных фаз, то имелась бы возможность для целена­правленных ценовых стратегий. Однако знание реакции рынка, как правило, не­известно.

В исследованиях по развитию цены и связи «цена-качество» в жизненном цикле потребительских благ длительного пользования доказано, что цены указанных выше товарных групп в течение времени падают и одновременно значительно сокращается ценовой интервал между продуктами одной товарной группы. Д<~ полнительно установлено, что величина предложения «цена-качество» с течени­ем времени уменьшается. Это может быть объяснено растущим знанием потреби­теля о продуктах.

ЭЛАСТИЧНОСТЬ СПРОСА

На политику цен предприятия влияет реакция покупателей на изменение цень данного товара, цен других товаров, дохода Эта реакция носит название эластич­ности спроса. Различают прямую эластичность спроса по цене, перекрестную эла­стичность спроса по цене и эластичность спроса по доходу.

Прямая эластичность спроса по цене выступает мерой чувствительности спро­са покупателей на данный товар в зависимости от изменения его цены. Если харак­тер спроса совершенно эластичен, то при снижении цены покупатели повышают, с. при повышении цены снижают объем покупок на неограниченную величину. Ес.и спрос совершенно эластичен, то это значит, что здесь покупатели не желают пла­тить больше, чем цена Р0, за любое количество товара. Объем спроса равен нулк; при более высоких ценах, чем P0. При цене ро покупатели желают приобрести не­ограниченное количество товара. Но так как денежные ресурсы ограничены, то спрос является совершенно эластичным в некотором диапазоне объема спроса. Так чтг потребители желают приобрести любое количество товара в пределах этого про­межутка по цене Р0. Если характер спроса совершенно неэластичен, то объем по­купок совершенно не изменяется как при снижении, так и при повышении цены Спрос совершенно неэластичный касается того, кто говорит: «Я должен иметь этот продукт, какой бы ни была цена». Но так как денежные ресурсы каждого из нас ограничены, то всегда существует такое повышение цены, которое уменьшит объе\-спроса на любой товар. Но эластичность спроса одного человека на конкретный товар могла бы вполне быть нулевой для достаточно широкого диапазона цен. Со­вершенно эластичный и совершенно неэластичный спрос относятся к крайним слу­чаям эластичности и на практике весьма редки. При единичной эластичности, если цена снижается, спрос растет в том же темпе, в каком падает цена; если же цена увеличивается, спрос снижается в том же темпе, в каком растет цена. Если же ха­рактер спроса относительно эластичен, то при снижении цены покупатели значи­тельно повышают свои объемы покупок (причем спрос растет более высокими тем-


5.2 Факторы, влияющие на политику цен предприятия 323

пами, чем снижается цена), а при повышении цены покупатели значительно сни­жают объемы покупок (причем спрос снижается более высокими темпами, чем ра­стет цена). Если характер спроса относительно неэластичен, то при снижении цены темп роста объема покупок меньше темпа снижения цены, а при повышении цены темп снижения объема покупок меньше темпа роста цены.

Эластичность спроса по цене зависит от многих факторов. Рассмотрим их.

Чем больше данный товар имеет товаров-заменителей, тем эластичнее спрос на него. Чем лучше покупатели владеют информацией о товарах-заменителях, тем выше эластичность спроса по цене на данный товар. Эластичность тем ниже, чем выше потребители оценивают уникальные свойства данного товара по сравнению со свойствами товаров-конкурентов. Зная это, предприятия прилагают большие усилия по приданию своим продуктам новых уникальных свойств. Эластичность ниже, когда потребителю неизвестна марка, страна-производитель, отсутствует мнение других покупателей. Чем больше покупатели рассматривают цену как показатель качества, тем ниже эластичность.

Как правило, эластичность спроса выше при высоких ценах и ниже при низких ценах. Однако если переход от товара с высокой ценой (от поставщика одной мар­ки) к товару с меньшей ценой (к поставщику другой марки) вызывает дополни­тельные расходы, то эластичность ниже. Чем выше эти расходы, тем менее эла­стичен спрос. На эластичность спроса влияет трудность определения того, насколь­ко качество одного товара лучше другого. В мире товаров нередко наблюдается тот факт, что, к примеру, два товара имеют одинаковое качество, а цены их раз­нятся значительно. Поскольку покупатель не знает, что дешевый товар имеет то же качество, что и дорогой (потому что он не пользовался им), то он продолжает покупать дорогой товар, так как он ему доверяет. В таком случае покупатель ме­нее чувствителен к цене.

Эластичность спроса тем выше, чем выше доля расходов на данный товар в об­щих расходах потребителя. Эластичность спроса ниже всего у тех товаров, кото­рые с точки зрения покупателя являются для него необходимыми. Эластичность спроса зависит от степени срочности приобретения покупателем данного товара. Если приобретение данного товара не может быть отложено, то эластичность на него относительно ниже, чем эластичность спроса на те товары, приобретение которых может быть отложено на более поздний срок. Эластичность спроса зави­сит от разнообразия возможностей использования данного товара. Чем шире эти возможности, тем выше и эластичность. Эластичность спроса зависит от степени насыщения потребностей. Чем больше насыщение данным товаром, тем меньше эластичность спроса при снижении его цены. И наоборот, если насыщение дан­ным товаром невелико, то сравнительно небольшое снижение цены может вы­звать значительный спрос.

На ценовую эластичность влияет также и то, оплачивает ли покупатель цену товара (услуги) полностью или частично. Чем меньшую долю цены покупатель оплачивает сам, тем меньше эластичность. Относительную неэластичность спро­са увеличивают чрезвычайные обстоятельства, приверженность марке. Эластич­ность спроса зависит от фактора времени.

Для истинно инновационных продуктов характерна в начале жизненного цик­ла относительно низкая эластичность, затем с повышением числа конкурентов,


324 Глава 5. Маркетинг взаимодействиягценовая политика

повышением продуктовой стандартизации эластичность повышается. Для новых товаров, которым с самой ранней фазы жизненного цикла противостоят товары-конкуренты, эластичность сначала относительно высокая, в течение фазы роста снижается, достигает своего минимума, потом начинает повышаться.

Эластичность не одинакова для различных уровней цены товара. Эластичность спроса отличается у различных марок товаров одного класса. Чем значительнее цена товара фирмы отличается от среднего значения в своей категории, тем ниже эластичность его спроса. Эластичность спроса по цене ниже, если покупатели рас­сматривают текущую цену ниже относительно цены, ожидаемой в будущем. Эла­стичность спроса зависит от того, считает ли потребитель текущую цену «спра­ведливой». Если цена, по мнению покупателя, выходит за пределы «справедли­вой», то спрос по цене более эластичен.

В заключение отметим, что знание эластичности спроса по цене является важ­ным для политики цен предприятия, а потому ему следует работать как над повы­шением, так и над понижением чувствительности покупателя к цене. Концепция эластичности спроса полезна и для правительства при установлении ставок кос­венных налогов.

Знание эластичности спроса по цене важно для выявления воздействия изме­нения цен на выручку и прибыль продавца. Выручка продавца будет повышаться при росте цен при неэластичном спросе и снижаться при эластичном спросе. И наоборот, выручка продавца будет снижаться при снижении цен при неэлас­тичном спросе. При единичной эластичности спроса выручка от изменения цены остается неизменной.

Представим, что эластичность спроса по цене на товар X равна 1,5%. Это означает, что при повышении цены на товар X на 1% объем спроса на него сни­зится на 1,5%.

В отношении влияния снижения цен на прибыльность с точки зрения эластич­ности спроса по цене и доли переменных и постоянных затрат можно сказать сле­дующее:


5.2. Факторы, влияющие на политику цен предприятия 325

• чем выше относительная доля постоянных затрат в общих затратах, тем мень­
ший уровень эластичности спроса по цене необходим для сохранения прежней
прибыли;

• уровень эластичности спроса по цене, необходимый для поддержания прибы­
ли в прежнем размере при снижении цены, находится в обратной зависимости
от величины прежней прибыли;

• чем больше снижение цены, тем больше должна быть эластичность спроса.
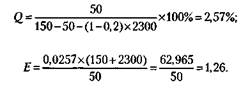
Рассмотрим приведенные выше утверждения на примере. Вопрос: «При какой

величине эластичности спроса по цене прибыль сохранится на прежнем уровне при снижении цены на определенную величину?» Исходные данные:

дельта Р = 50 руб. — размер уменьшения цены;

П =150 руб. — прибыль, получаемая от продажи единицы товара по старой цене;

С = 2300 руб. — себестоимость единицы товара при старой цене;

V = 0,8 — доля переменных затрат в полной себестоимости при существующем объеме производства.

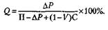
Формула для исчисления требуемого увеличения объема производства, с тем чтобы сохранить прибыль после снижения цены:



 


Формула для исчисления величины коэффициента эластичности спроса по цене:

Сохранение прибыли возможно при эластичности спроса по цене на данный товар, равной 4,37.

Теперь представим, что доля переменных затрат составляет 0,2. Тогда требуе­мая величина эластичности спроса составит 1,26:

При низкой доле суммы покрытия (разница между ценой и переменными за­тратами) и эластичности спроса больше единицы снижение цены может привести



<== previous lecture | next lecture ==>
В) вход на рынок труднодоступен, т. е. имеются высокие барьеры входа на рынок | ЗАТРАТЫ
lektsiopedia.org - 2013 год. | Page generation: 2.534 s.