Студопедия
rus | ua | other

Home Random lecture






ОПРЕДЕЛЕНИЕ ЦЕН НА ОСНОВЕ ПЕРЕМЕННЫХ (ПРЯМЫХ) ЗАТРАТ


Date: 2015-10-07; view: 745.


Общие затраты, как известно, делятся на постоянные и переменные. Сумма постоянных затрат не зависит от количества произведенной продукции. К посто­янным затратам относятся, например, амортизационные отчисления, зарплата административно-управленческого персонала, различные налоги и сборы, обще­производственные и общехозяйственные расходы (охрана, дворники и т. п.). По­стоянные затраты в зависимости от объема произведенной продукции могут быть большими или меньшими в расчете на единицу продукции. Как мы уже отмечали выше, чем больше доля постоянных затрат в общей сумме затрат, тем больше воз­можностей для снижения цены, тем меньше нужна эластичность спроса по цене для обеспечения сохранения прибыли при снижении цены.

Переменные затраты связаны с объемом выпуска продукции. С ростом объема выпуска продукции растет сумма переменных затрат. Эти затраты равны нулю, когда нет производства. К ним относятся: материалы, энергия и топливо техноло­гическое, заработная плата производственных рабочих и пр.

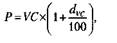
Формула расчета цены имеет вид:

где VC — переменные затраты на единицу продукта; dvcпроцентная надбавка к VC.

Надбавка (dvc) должна быть выше, чем при расчете цены на основе полных затрат, так как она должна внести вклад в покрытие постоянных затрат и обеспе­чить получение планируемой прибыли. Размер надбавки может основываться на отраслевых традициях, собственном опыте, эмпирических правилах. Смысл это­го метода ценообразования можно выразить словами, к примеру так: «Товар дол­жен продаваться по цене, которая в 2,5 раза выше переменных затрат».

Определение цен на основе переменных затрат имеет преимущество по сравне­нию с определением цен на базе полных затрат. Здесь не возникает проблем, свя­занных с калькулированием постоянных затрат, которое носит условный (произ­вольный) характер. Метод основывается на более надежных сведениях о прямых


370Глава 5 Маркетинг взаимодействия: ценовая политика

(переменных) затратах и способствует в условиях конкуренции определению оп­тимальной цены. Постоянные затраты не влияют на вид кривой прибыли, поэто­му их можно не определять при калькулировании цены.

Рассматриваемый метод имеет недостатки. Снижение объема сбыта ведет к повышению цены, так как постоянные затраты должны распределяться на мень­шее количество единиц продукции, так что постоянные затраты повышаются на единицу продукции, т. е. предприятие начинает «калькулировать из зоны прибы­ли». Снижение цены при эластичном спросе связано с высокими объемами про­даж, переменные затраты на единицу продукта снижаются, и это снижение в ито­ге может привести к ухудшению ситуации с прибылью предприятия. Данный ме­тод не учитывает спрос и субъективную оценку покупателями полезности товара. Переменные (прямые) затраты рассматриваются как нижний предел цены, или, иначе, как минимальная цена, ниже которой производство продукта невозможно.

Рассмотрим вопрос о минимальной цене, ориентированной на затраты, более подробно. Целесообразно различать долгосрочную и краткосрочную цену. В дол­госрочном периоде цена должна полностью покрывать полные затраты в расчете на единицу продукции. В краткосрочном периоде товар может продаваться по цене, превышающей переменные затраты, и вносить вклад в покрытие постоянных зат­рат. Чтобы объяснить различие между долгосрочной и краткосрочной минималь­ной ценой, рассмотрим следующий пример [154].

При средней загрузке одной гостиницы в 60% полные затраты составляют 110 ден. ед. за номер. Поэтому средняя цена в 110 ден. ед. является минимальной ценой в дол­госрочном периоде. Гостиница может получать прибыль при данной загрузке только в том случае, если средняя цена за номер за ночь будет выше 110 ден. ед.

Переменные затраты за номер составляют 20 ден. ед. (уборка, стирка и т. д.). Сле­довательно, в краткосрочном периоде минимальная цена равна 20 ден. ед. Каждый клиент, который платит за сутки больше 20 ден. ед., положительно влияет на сумму покрытия (прибыль). Поэтому гостиница предлагает номера на выходные дни за 80 ден. ед. Это разумно, хотя гостиница может и не выжить при цене 80 ден. ед. Если гостиница имеет свободные мощности и они могут использоваться для чего-то дру­гого, то минимальную цену определяют альтернативные затраты (вмененные затра­ты). Вмененные затраты — это упущенная прибыль, так как свободная мощность не была использована для альтернативных целей. Если у нашей гостиницы есть дого­вор с туристической фирмой, по которому дополнительных гостей на короткий срок размещают за 50 ден. ед., то минимальная цена в краткосрочном периоде для слу­чайных клиентов повышается с 20 до 50 ден. ед. Если бы гостиница в такой ситуа­ции принимала клиентов за 25 ден. ед., то она отказалась бы от суммы покрытия в 25 ден. ед. (50 - 25). Обобщая сказанное, сделаем вывод: минимальная цена в долго­срочном периоде равна полным затратам, в краткосрочном периоде — переменным затратам, при неполном использовании мощности — альтернативным (вмененным) затратам на единицу услуги (продукции).

Рассмотрим пример определения цены на базе переменных затрат, а также слу­чаи использования прямых затрат при принятии предприятием отдельных спе­цифических ценовых решений.

Пример.Предприятие «Керамика» получило дополнительный заказ на кера­мические тарелки для продажи их на экспорт. Заказчик берет товар со склада.


5.5. Методы ценообразования



Предприятие располагает свободными мощностями, и этот заказ принят к вы­полнению с целью дозагрузки мощностей и получения максимально возможной прибыли. Исходные данные представлены в табл. 5.22.

Таблица 5.22. Затраты, прибыль, цена

 

Показатели В расчете на 5 тыс. штук, тыс. руб. В расчете на единицу изделия, руб.
Переменные затраты Постоянные затраты 6,0 15,0 1,2 3,0
Полные затраты 21,0 4,2
Прибыль (20% к полным затратам) 4,2 0,8
Цена 25,2 5,0

Данное изделие продается на внутреннем рынке по цене 5 руб., с прибылью 20% по отношению к полной себестоимости. Прямые переменные затраты на еди­ницу изделия равны 1,2 руб. Сумму постоянных затрат в размере 3,0 руб. на еди­ницу изделия возмещать в ценах изделий, реализуемых на экспорт, не нужно, так как вся их сумма в размере 15 тыс. руб. в связи с увеличением объема выпуска не изменится. Вся эта сумма возмещается внутренней ценой. Поэтому в качестве базы для определения экспортной цены можно использовать переменные затраты в размере 1,2 руб. При продаже на экспорт можно ограничиться прибылью мень­шей, чем 0,8 руб. Экспорт керамических тарелок будет осуществляться с прибы­лью в том случае, если их цена будет выше прямых затрат, равных 1,2 руб. Если предприятие желает получить прибыль от экспортного товара в размере 20% к прямым (переменным) затратам, то экспортная цена составит 1,44 руб. (1,20 руб. + + 0,24 руб.).

Следует заметить, что определение цены на основе переменных затрат возмож­но тогда, когда постоянные затраты (15 тыс. руб.) фактически возмещаются в це­нах, исчисленных для определенного количества изделий (5 тыс. штук), а уста­новление цен на базе переменных затрат осуществляется только для дополнитель­ного количества изделий. В дальнейшем объем производства продукции для внутреннего рынка может сократиться. В этом случае первоначальная калькуля­ция изменится, и если продавать товар на экспорт по прежней цене, то это приве­дет к уменьшению общей прибыли предприятия.

Теперь рассмотрим примеры применения прямых затрат при принятии отдель­ных специфических решений, в которых присутствует цена (примеры 1, 2, 3).

Пример 1. Фирма выпускает топливную аппаратуру для тракторов и собствен­ными силами изготавливает все необходимые комплектующие изделия.

Фирме поступило предложение со стороны на поставку детали N по цене 24 руб. за штуку. Фирма должна решить, принять или отклонить предложение. Проведем анализ. Если переменные затраты на изготовление детали N составляют 20 руб. за штуку, а постоянные — 8 руб. за штуку, то полные затраты составят 28 руб. за штуку.

При первом сравнении полных затрат на изготовление детали и предлагаемой цены напрашивается вывод в пользу покупки детали. Однако здесь следует иметь


372 Глава 5. Маркетинг взаимодействия:

в виду, что независимо от того, какое решение примет фирма (покупать либо не покупать), ее постоянные затраты останутся теми же самыми, поэтому не будем принимать во внимание размер постоянных расходов в 8 руб. при принятии ре­шения и сравнение произведем между переменными затратами (20 руб.) и пред­лагаемой ценой (24 руб.). Как видим, сравнение говорит о необходимости отка­заться от предложения покупать деталь.

Пример 2. Фирма выпускает школьные письменные принадлежности, в том числе блокноты для рисования, которые она продает оптовому покупателю по цене 25 руб. за одну упаковку. В настоящее время фирма продает на внутреннем рынке в месяц 1 тыс. упаковок, но производственные мощности позволяют выпускать 2 тыс. упаковок в месяц. Фирма получила заказ на поставку на экспорт 500 упако­вок в месяц по цене 15 руб. за одну упаковку. Фирма должна решить принять или отклонить заказ. Проведем анализ, применяя данные табл. 5.23.

Таблица 5.23. Затраты на производство, прибыль, цена одной упаковки

 

Показатели Затраты и прибыль на одну упаковку, руб.
Переменные затраты: 1) на материалы; 2) на рабочую силу; 3) накладные расходы; 4) издержки обращения 3,0 6,0 3,0 2,0
Итого: 1 ) переменные затраты; 2) постоянные затраты 14,0 5,0
Полные затраты 19,0
Прибыль 6,0
Цена 25,0

Как видим, полные затраты (19 руб.) превышают цену (15 руб.). Однако здесь надо принять во внимание два обстоятельства. Постоянные расходы — 5 руб. — возмещаются продажей на внутреннем рынке 1 тыс. упаковок. Издержки обраще­ния — 2 тыс. руб. — не должны входить в расчет затрат на экспортный товар, так как товар в данном случае передается покупателю со склада фирмы. Поэтому при определении затрат на одну упаковку блокнотов, предназначенных на экспорт, могут приниматься во внимание только переменные затраты в сумме 12 руб. Срав­нение затрат с ценой говорит в пользу принятия заказа.

Приняв к исполнению экспортный заказ, фирма получит дополнительную при­быль 3 руб. с одной упаковки, что составит в расчете на дополнительный выпуск 1,5 тыс. руб. в месяц (500 ед. х 3 руб.). В результате общая месячная прибыль от продаж на внутреннем и внешнем рынках увеличится и составит (1000 экз. х х 6 руб.) + (500 экз. х 3 руб.) - 6000 руб. + 1500 руб. = 7500 руб.

Пример 3. Обратимся к предыдущему примеру, предположив, что производ­ственные мощности фирмы составляют не 2 тыс., а 1 тыс. упаковок блокнотов в месяц. Теперь, чтобы фирма могла принять экспортный заказ (500 упаковок), она должна уменьшить продажу блокнотов на внутреннем рынке до 500 упаковок. Тогда выручка, затраты и прибыль будут выглядеть так (табл. 5.24).


5.5. Методы ценообразования



Таблица 5.24. Выручка, затраты, прибыль, тыс. руб.

 

  Внутренний рынок Экспорт Всего
Количество, экз.
Цена, руб.  
Выручка от продажи 12,5 7,5
Переменные затраты: 1 ) на материалы; 2) на рабочую силу, 3) накладные расходы; 4) издержки обращения 1,5 3,0 1,5 1,0 1,5 3,0 1,5 3,0 6,0 3,0 1,0
Итого' 1 ) переменные затраты; 2) постоянные затраты; 3) прибыль 7,0 2,5 3,0 6,0 2,5 -1,0 13 5,0 2,0

Анализ данных показывает, что из-за фактора ограниченности производствен­ных мощностей, а также необходимости возмещения постоянных затрат в ценах всех единиц выпускаемой продукции, включая экспортную, принятие заказа при­ведет к уменьшению прибыли с 6 тыс. до 2 тыс. руб. Следовательно, принятие этого заказа является нецелесообразным.

МЕТОД СТРУКТУРНОЙ АНАЛОГИИ

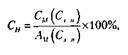
Суть этого метода определения цены сводится к следующему. Определяется абсолютная сумма прямых материальных затрат или заработной платы производ­ственных рабочих по новому продукту. Зная ту или иную сумму и ее удельный вес в структуре полных затрат по аналогичной группе продукции, можно рассчи­тать полные затраты по новому продукту по формуле:

где Снсебестоимость нового продукта, СМ3/П) — материальные затраты (заработная плата) на единицу нового продукта; Дмз/п) — удельный вес материальных затрат (зара­ботной платы) в себестоимости по аналогичной группе продукции. Эти удельные веса оп­ределяются на основе анализа статистических данных.

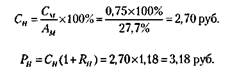
Рассмотрим пример. Определить цену нового топливного фильтра грубой очи­стки, если известно, что прямые затраты на материалы равны 0,75 руб., а удель­ный вес прямых материальных затрат в полной себестоимости составляет 27,7%. Норма окупаемости капиталовложений (RИ) принята на уровне 18%. Полная се­бестоимость равна:


374__________________________ Глава 5. Маркетинг взаимодействия: ценовая политика

Эта расчетная цена подвергается дальнейшему осмыслению на основе привле­чения дополнительной информации и только после этого принимается решение об окончательной продажной цене.


<== previous lecture | next lecture ==>
МЕТОДЫ ЦЕНООБРАЗОВАНИЯ. ОПРЕДЕЛЕНИЕ ЦЕН С ОРИЕНТАЦИЕЙ НА ЗАТРАТЫ. ОПРЕДЕЛЕНИЕ ЦЕН НА ОСНОВЕ ПОЛНЫХ ЗАТРАТ | ОПРЕДЕЛЕНИЕ ЦЕН НА ОСНОВЕ «КРИВОЙ ОСВОЕНИЯ»
lektsiopedia.org - 2013 год. | Page generation: 0.908 s.