Студопедия
rus | ua | other

Home Random lecture






ОПРЕДЕЛЕНИЕ ЦЕН МЕТОДОМ ТРЕХ ОЦЕНОК


Date: 2015-10-07; view: 616.


Содержание данного метода рассмотрим на примере определения стоимости (цены) научной продукции.

Пример.Определить цену опытно-конструкторской разработки (ОКР) при­бора «Изыскание» нового принципа действия, повышенной сложности на стадии заключения договора. Данная ОКР состоит из следующих этапов:


382__________________________ Глава 5 Маркетинг взаимодействия: ценовая политика

Таблица 5.29. Многоступенчатый расчет суммы покрытия, руб.

1) эскизный проект;

2) технический проект;

3) разработка конструкторской документации;

4) изготовление опытного образца;

5) испытание и корректировка документации.


5.5. Методы ценообразования 383

Исходным моментом для определения цены новой разработки является оцен­ка трудоемкости. Определение трудности ОКР методом экспертных оценок со­стоит из следующих этапов:

а) формирование группы экспертов;

б) разработка анкеты для получения информации о трудоемкости от экспертов;

в) проведение опроса;

г) анализ ответов, определение усредненного мнения экспертов для установле­
ния среднего значения трудоемкости;

д) обобщение экспертных оценок трудоемкости изготовления ОКР и принятие
решения о стоимости ОКР.

Наиболее ответственным этапом является формирование группы экспертов Специалисты должны быть компетентными в рассматриваемой области. В со­став группы должны включаться научный руководитель (главный конструк­тор), ведущие специалисты. Численный состав группы должен определяться видом работ, их сложностью, новизной и т. д. Группа экспертов должна состо­ять из 3-7 человек. При проведении опроса могут использоваться индивиду­альный, групповой, дельфийский методы опроса. Как показывают исследова­ния, для определения трудоемкости НИР и ОКР лучше использовать индиви­дуальный опрос.

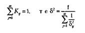
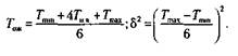
Известно, что трудоемкость НИР, а в отдельных случаях и ОКР носит вероят­ностный характер, так как она зависит от множества трудноучитываемых факто­ров. В связи с этим можно предположить, что распределение случайных значе­ний трудоемкости описывается р-распределением. Применение р-распределения позволяет использовать метод трех оценок для оценки основных параметров рас­пределения — среднего значения (математического ожидания) и среднеквадра-тического отклонения. В этом случае применяются экспертные оценки минималь­но возможной трудоемкости работы — Тmin, максимально возможной — Тmах и наи­более вероятной — Т нв По этим величинам при помощи формул оценивается ожидаемое значение трудоемкости — Тол, (математическое ожидание распределе­ния) и дисперсия б2:

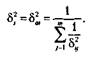
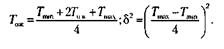
Однако следует заметить, что оценки, вычисленные по этим формулам, часто дают заниженные величины среднеквадратического отклонения. В связи с этим обработку исходных данных, полученных от экспертов, целесообразно вести по формулам:

Чтобы накопить исходные данные, необходимые для определения трудоемко­сти НИР и ОКР, используются специальные формы, в которые вносятся индиви­дуальные оценки экспертов. Обработка результатов экспертного опроса произво­дится в следующей последовательности.



Глава 5. Маркетинг взаимодействия: ценовая политика




2. Составление и заполнение данными сводной матрицы ожидаемой трудоем­кости выполнения работы (табл. 5.31).

3. Составление сводной матрицы дисперсий отклонений оценок (табл. 5.32).

4. Определение усредненного мнения экспертов для установления среднего значения трудоемкости каждого этапа работы. Оценка усредненного ожидаемого значения трудоемкости каждого этапа осуществляется путем нахождения средне­взвешенного значения по наблюдениям всех экспертов по формуле:




Дисперсия усредненного значения трудоемкости определяется по формуле:



Глава 5 Маркетинг взаимодействия ценовая политика


Таблица 5.33 Результаты опроса экспертов

 

 

 

 

Этап ОКР Оценка
Tmin Tнв Тmax расчетные величины
Гож сигма2
1 эксперт
372,5 1406,25
587,5 7656,25
212,5 1406,25
500,0 2500,0
167,5 1406,25
2 эксперт
357,5 1806,25
545,0 6400,0
1056,25
462,5 3906,25
237,5 1406,25
3 эксперт
305,0 3025,0
645,0 3025,0
210,0 400,0
492,5 3306,25
245,0 625,0
4 эксперт
400,0 2500,
555,0 3025,0
225,0 1225,0
520,0 2500,0
215,0 1225,0
5 эксперт
305,0 3025,0
537,5 7656,25
197,5 1806,25
515,0 3025,0
247,5 2256,25

Таблица 5.34. Сводная матрица ожидаемой трудоемкости

 

 

Этапы ОКР Эксперты
372,5 357,5 305,0 305,0
587,5 545,0 645,0 537,5
212,5 197,5 210,0 225,0 197,5
500,0 462,5 492,5 520,0 515,0
167,5 237,5 245,0 215,0 247,5

5 5. Методы ценообразования



Таблица 5.35. Сводная матрица дисперсий отклонения оценок

 

 

Этапы ОКР Эксперты
1406,25 1806,25 3025,0 2500,0 3025,0
7656,25 6400,0 3025,0 3025,0 7656,25
1406,25 1056,25 400,0 1225,0 1806,25
2500,0 3906,25 3306,25 2500,0 3025,0
1406,25 1406,25 625,0 1225,0 2256,25

Применительно к первому этапу рассматриваемого примера

Зная, что средняя стоимость 1 человека-года составляет примерно 10 000 руб., тайдем ориентировочную стоимость (цену) разработки. Стоимость разработки «Изыскание» составляет 10 000 х 156 = 1560 тыс. руб. Полученная стоимость (цена) ОКР и будет объектом договора.


<== previous lecture | next lecture ==>
ОПРЕДЕЛЕНИЕ ЦЕН НА ОСНОВЕ «КРИВОЙ ОСВОЕНИЯ» | МЕТОД УДЕЛЬНЫХ ПОКАЗАТЕЛЕЙ НА БАЗЕ ОДНОГО ПАРАМЕТРА ПРОДУКТА
lektsiopedia.org - 2013 год. | Page generation: 0.786 s.