Студопедия
rus | ua | other

Home Random lecture






МЕТОД УДЕЛЬНЫХ ПОКАЗАТЕЛЕЙ НА БАЗЕ ОДНОГО ПАРАМЕТРА ПРОДУКТА


Date: 2015-10-07; view: 660.


ОПРЕДЕЛЕНИЕ ЦЕН НА БАЗЕ ОСНОВНЫХ ПАРАМЕТРОВ ПРОДУКЦИИ

ОПРЕДЕЛЕНИЕ ЦЕН С ОРИЕНТАЦИЕЙ НА ПОЛЕЗНОСТЬ ПРОДУКЦИИ

Определение цен с ориентацией на полезность продукта базируется на идее, что потребитель при оценке полезности продукта ориентируется на его основные лараметры и свою готовность платить определенную сумму ставит в зависимость от степени выполнения данным продуктом соответствующих требований.

Данный подход к определению цен опирается на две основы:

• определение цен на базе основных параметров продукта (одного или несколь­
ких параметров);

• определение цен на базе экономических преимуществ.

Этот подход к определению цен включает в себя много разновидностей. Рас-_ мотрим наиболее распространенные из них.


388 Глава 5. Маркетинг взаимодействия: ценовая политика

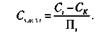
При принятии во внимание только одного показателя продукта можно соста­вить количественное отношение, при котором цена продукта ставится в зависи­мость от специфического показателя. Такой подход к определению цен называют методом удельных показателей, согласно которому

где Pyделудельная цена продукта j; Пi — основной параметр продукта i в соответствую­щих единицах измерения; Рi — цена продукта г.

На основе удельных показателей осуществляется поиск цены аналогичных но­вых изделий. В представленной выше формуле нередко наряду с ценой использу­ют затраты (С):

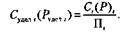
Если в составе затрат на производство продукции данного параметрического ряда наблюдаются значительные различия в комплектующих изделиях к), то могут применяться удельные затраты параметра за вычетом затрат на комплекту­ющие изделия:

Определение цены на новое изделие посредством удельных затрат включает в себя определенную сумму прибыли, исчисленную на основе принятого крите­рия (% к затратам, % к цене). Применение данного метода при расчете цены (Рн) на новое аналогичное изделие предполагает относительное снижение цены (зат­рат на единицу главного параметра (Сн)) нового изделия по сравнению с базо­вым, т. е.

Рассмотрим условный пример. Требуется определить цену 1 т новых узлов для трубопроводов из углеродистых и легированных сталей РУ10МПА (100 кгс см2) с диаметром условного прохода 250 мм. Исходная информация для расчета искомой цены представлена в табл. 5.36. Как видим, абсолютные и удельные цены с увеличением диаметра условного прохода снижаются.

Новый узел по технологии и конструкции изготовления вписывается в данную группу продукции (параметрический ряд), поэтому информация табл. 5.36 мо­жет использоваться для определения его цены. Заметим, что узлы не являются взаимозаменяемыми, однако цены на них должны находиться в определенном со­отношении, понятном для покупателей.

Следует заметить, что если основной параметр изделия в пределах однородно! группы продукции меняется в небольших пределах, то удельная цена меняете = незначительно. Если же основной параметр изменяется значительно, то значи-


5.5. Методы ценообразования



Таблица 5.36. Цены, удельные цены и коэффициенты торможения на узлы для трубопроводов

 

Узлы 1 2 3 4 Оптовая цена за 1 т, руб. 770 658 554 489 Диаметр условного прохода, мм 40 50 65 80 Удельная цена 19,25 13,16 8,52 6,11 Коэффициенты торможения 0,68 0,65 072
6 7 8 9 433 388 358 320 280 100 125 150 200 250 4,33 3,1 2,39 1,6 1,12 0,71 0,72 0,77 0,67 0,7

тельно изменяется и удельная цена. В таких случаях при расчете цены нового из­делия используют коэффициент торможения, который представляет собой отно­шение удельной цены изделия с большей величиной параметра к удельной цене изделия с меньшей величиной параметра. Коэффициент торможения по представ­ленным данным находится в пределах 0,6-0,7. Какое из этих значений нужно при­нять при определении цены нового изделия, зависит от величины изменения ди­аметра условного прохода и необходимости соблюдения ценностных соотноше­ний (больше диаметр, меньше цена).

Обратимся к нашему примеру и определим цену 1 т узлов с диаметром услов­ного прохода 250 мм. В качестве отправного момента при определении цены 1 т новых узлов с диаметром удельного прохода 250 мм принимаем узел с диаметром условного прохода 200 мм и удельной ценой в 1,6 руб. (320 руб.: 200 мм). Цена 1 т нового узла равна 400 руб. (1,6 х 250 мм). Для обеспечения ценностных соот­ношений подкорректируем эту цену с учетом коэффициента торможения 0,7. Тогда цена 1 т нового узла составит 280 руб. (400 руб. х 0,7).


<== previous lecture | next lecture ==>
ОПРЕДЕЛЕНИЕ ЦЕН МЕТОДОМ ТРЕХ ОЦЕНОК | НА БАЗЕ НЕСКОЛЬКИХ ПАРАМЕТРОВ ПРОДУКТА
lektsiopedia.org - 2013 год. | Page generation: 0.936 s.