Студопедия
rus | ua | other

Home Random lecture






БАЛЛОВЫЙ МЕТОД


Date: 2015-10-07; view: 450.


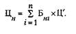
Определение цен с ориентацией на полезность можно осуществлять на основе баллового метода. Суть баллового метода состоит в том, что с учетом экспертных оценок значимости параметров изделий для потребителей каждому параметру присваивается определенное число баллов (оценок), суммирование которых дает своего рода интегральную оценку технико-экономического уровня изделия. Ум­ножением суммы баллов по новому изделию на стоимостную оценку одного бал­ла изделия-эталона определяется ориентировочная цена нового изделия. Цена на новое изделие, по которому оцениваемые параметры не равнозначны для потре­бителей, исчисляется по формуле

где Цн — цена нового изделия; n — количество оцениваемых параметров; Бнг — балловая оценка t-го параметра нового изделия; аt — коэффициент весомости t-го параметра нового изделия; Ц' — средняя оценка одного балла изделия-эталона (стоимостной показатель).

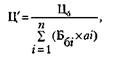
Средняя оценка (Ц' ) балла определяется по формуле:

где Цб — цена базового изделия-эталона; Ббt — балловая оценка i-ro параметра базового изделия-эталона.

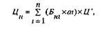
Если оцениваемые параметры равнозначны для потребителя, то цена нового изделия определяется по формуле:

Балловый метод на практике может встречаться в различных вариантах.

Рассмотрим условный пример.Определить проекты цен на новые схожие то­вары: А, В, С, если известно, что средняя рыночная цена аналогичных,товаров равнд 330 тыс. руб.

Схема определения цен на основе баллового метода включает в себя следую­щие этапы:

• распределение экспертами 100 баллов между тремя новыми товарами;

• определение суммы баллов с учетом коэффициентов весомости параметров по
каждому товару;

• определение средней суммы баллов по рассматриваемым товарам;

• определение средней рыночной цены одного балла;

• определение цен товаров А, В, С.

Результаты расчетов балловых оценок представлены в табл. 5.40,



Глава 5. Маркетинг взаимодействия: ценовая политика


Таблица 5.40. Расчет балловых оценок на новые товары А, В, С

 

 

 

Коэффи­циенты весомости Параметры товаров Оценки товаров
А В С
0,25 Прочность 5,0
0,30 Надежность 9,9 9,9 9,9
0,30 Легкость в эксплуатации 15,0 7,5 7,5
0,35 Качество сервиса 6,75 5,25 3,0
1,0     41,65=42   32,65 * 33   25,4 * 25

• цена товара А равна: 416,2 (9,91 * 42);

• цена товара В равна: 327,03 (9,91 х 32);

• цена товара С равна: 247,75 (9,91х 25).

Полученные расчетные цены должны быть дополнительно осмыслены с уче­том других факторов.


<== previous lecture | next lecture ==>
НА БАЗЕ НЕСКОЛЬКИХ ПАРАМЕТРОВ ПРОДУКТА | ОПРЕДЕЛЕНИЕ ЦЕН НА БАЗЕ ЭКОНОМИЧЕСКИХ ПРЕИМУЩЕСТВ
lektsiopedia.org - 2013 год. | Page generation: 0.58 s.