Студопедия
rus | ua | other

Home Random lecture






ОПРЕДЕЛЕНИЕ ЦЕН НА БАЗЕ ЭКОНОМИЧЕСКИХ ПРЕИМУЩЕСТВ


Date: 2015-10-07; view: 424.


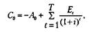
Этот подход, в первую очередь, значим для инвестиционных благ. Оценка ин­вестиционных благ основывается на чистой сегодняшней ценности годового до­хода, ожидаемого от применения этого инвестиционного блага. Она определяет­ся по формуле:

где c0чистая сегодняшняя ценность годового дохода; А0цена приобретения продук­та; Et — чистый годовой доход; i — дисконтная ставка.

Если потенциальный покупатель инвестиционного блага принимает решение только на основе чистой сегодняшней ценности блага, т. е. ориентируется на за­траты (цену) приобретения и чистый годовой доход, и если имеется конкурент­ный производитель, то рассматриваемый производитель должен установить цену предложения так, чтобы потенциальный покупатель мог получить большую чис­тую сегодняшнюю ценность, от его предлагаемого инвестиционного блага чем от блага конкурента. Рассмотрим примеры [14].

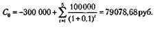
Пример 1.Печатная машина конкурента приносит ежегодно в течение 5 лет постоянный чистый доход на уровне 100 000 руб. Цена покупки машины равна 300 000 руб. Остаточная стоимость равна 0. Рыночная ставка процента в год рав­на 10%.


5.5. Методы ценообразования 397

Чистая сегодняшняя ценность конкурентного блага равна:



 


Рассматриваемый производитель считает, что его машина обеспечивает чис­тый годовой доход на 5% выше, чем машина конкурента.

Тогда сегодняшняя ценность доходов, ожидаемых от эксплуатации его печат­ной машины (PV) (или капитальная цена блага), равна:



 


Чистая сегодняшняя ценность блага рассматриваемого производителя состав­ляет:

Разница (С'0 - С0) составила 18 953,93 руб. (98 032,61 - 790 778,68).

Отсюда следует, что рассматриваемый производитель может оценить свою ма­шину дороже на указанную выше разницу. В этом случае покупателю будет пред­ложена сегодняшняя ценность по меньшей мере такая же, как при приобретении конкурентной машины. Напротив, выгодно предложить новую машину по цене 318 953,93 руб. (300 000 руб. + 18 953,93 руб.) - от этого инвестор получает конкурентную выгоду.

Пример 2[148]. Предприятие хочет увеличить свою мощность до 2000 произ­водственных часов в год, для чего собирается купить грузовик. Однако это вызы­вает дополнительные затраты равные 79 320 руб., куда входит сумма амортиза­ции — 40 000 руб. Отсюда дополнительные затраты в год составляют 79 320 руб. -- 40 000 руб. = 39 320 руб. Установлено, что потенциальный покупатель может с каждого производственного часа получать 45 руб. Отсюда ежегодный доход со­ставляет 45 х 2000 = 90 000 руб. Чистый годовой доход до уплаты налога за ми­нусом затрат составит: 90 000 руб. - 39320 руб. = 50 680 руб. Сумма налога, ис­численная с прибыли, равна 10 340 руб. Окончательный чистый годовой доход после уплаты налога, который приносит клиенту использование грузовика, равен 50 680 руб. - 10 340 руб. = 40 340 руб.

Если клиент будет использовать грузовик в течение 5 лет и процентная ставка в год равна 16%, то капитальная цена грузовика составит:

Если цена покупки будет ниже (например, 120 000 руб.), то клиент будет заин­тересован в покупке грузовика.


<== previous lecture | next lecture ==>
БАЛЛОВЫЙ МЕТОД | ОПРЕДЕЛЕНИЕ ЦЕН НА ОСНОВЕ МЕТОДА КОРРЕЛЯЦИОННО-РЕГРЕССИОННОГО АНАЛИЗА
lektsiopedia.org - 2013 год. | Page generation: 0.489 s.