Студопедия
rus | ua | other

Home Random lecture






ОПРЕДЕЛЕНИЕ ЦЕН НА ОСНОВЕ МЕТОДА КОРРЕЛЯЦИОННО-РЕГРЕССИОННОГО АНАЛИЗА


Date: 2015-10-07; view: 410.


Этот метод представляет собой сочетание двух методов — корреляционного и регрессионного. Он позволяет выявить зависимость результативного признака


39В Глава 5. Маркетинг взаимодействия: ценовая Политика

(цены) от изменения одного или нескольких факторных признаков (параметров продуктов). Выявленную зависимость можно использовать для установления ценностных соотношений внутри однородной продуктовой группы (параметри­ческого ряда) и определения цен на новый продукт, который вписывается по сво­им характеристикам в данную группу продукции. Рассмотрим условный пример.

Пример. Требуется: 1) выявить зависимость между ценами и диаметрами услов­ного прохода узлов для трубопроводов из углеродистых и легированных сталей. Узлы не являются взаимозаменяемыми; 2) определить цену 1 т новых узлов с диа­метром условного прохода 350 мм. Исходные данные представлены в табл. 5.41.

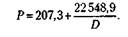
Для ответа на первый вопрос задачи необходимо выявить форму зависимости между оптовыми ценами (графа 2) и диаметрами условного прохода (графа 3). Применив метод корреляционно-регрессионного анализа, мы получили следую­щую формулу связи:

Таблица 5.41. Цены на узлы для трубопроводов

 

Узлы Оптовые цены за 1 т, руб. (Р) Диаметр условного прохода, мм (D)
2

Для определения цены 1 т узлов с диаметром 350 мм воспользуемся формулой.

ОПРЕДЕЛЕНИЕ ЦЕН С ОРИЕНТАЦИЕЙ НА СПРОС

При определении цен с ориентацией на спрос необходимо принимать во вни­мание следующее.

1.Структура спроса. Для ценообразования, прежде всего, представляют инте­
рес общий спрос (количество, тип, группы потребителей), значение спроса для
продукта, замещаемость и дополняемость продукта, эластичность спроса (пря­
мая, перекрестная, по доходу).

2. Представление покупателя о цене. Покупатель ориентируется сегодня на
рынок, на котором он сравнивает продукты одинакового рода и на этой основе
получает некое представление о том, сколько должен, по его мнению, стоить дан-



<== previous lecture | next lecture ==>
ОПРЕДЕЛЕНИЕ ЦЕН НА БАЗЕ ЭКОНОМИЧЕСКИХ ПРЕИМУЩЕСТВ | Методы ценообразования
lektsiopedia.org - 2013 год. | Page generation: 0.705 s.