Студопедия
rus | ua | other

Home Random lecture






ОПРЕДЕЛЕНИЕ ЦЕН НА ОСНОВЕ ОПРОСА ЭКСПЕРТОВ И ИХ САМООЦЕНОК


Date: 2015-10-07; view: 620.


ОПРЕДЕЛЕНИЕ ЦЕНЫ НА НОВЫЙ ПРОДУКТ НА ОСНОВЕ ОПРОСА ПОКУПАТЕЛЕЙ И ПРИСПОСОБЛЕНИЕ ЗАТРАТ К ВЫЯВЛЕННОЙ ЦЕНЕ

Этот метод включает в себя следующие этапы:

1) на основе опроса клиентов определяется возможная рыночная цена нового про­
дукта;

2) устанавливается доля желаемой прибыли в цене;

3) сравниваются допустимые затраты с ожидаемыми, связанными с изготовлени­
ем единицы нового продукта;

4) в случае превышения ожидаемых затрат над допустимыми изменяется концеп-
! ция продукта, с тем чтобы найти приемлемые затраты.

Существенным элементом этого метода является снижение затрат через изме­нение продуктовой концепции.

Требуется назначить цену на товар Л. Экспертам предлагается назвать свою цену (табл. 5.50) и провести самооценку своего опыта (табл. 5.51).

Таблица 5.50. Оценки (цены) продукта»

 

Эксперты
Цены товара А

Таблица 5.51. Самооценка экспертов

 

Эксперты
Самооценки

Самооценка экспертов производится по пятибалльной шкале. Оценки ставят­ся в зависимости от следующих условий.

1.Вы лично не имеете опыта продажи товаров такого рода, но по некоторым со­
ображениям считаете, что...

2. Вы не имеете опыта продажи товаров такого рода, но уверены, что...

3. Ваш опыт продажи товаров такого рода скуден, но вы считаете, что...

4. Вы имеете достаточный опыт продажи товаров такого рода, но в оценке не уве­
рены.


5.5. Методы ценообразования 407

5. Вы имеете достаточный опыт продажи товаров такого рода и в оценке не со­мневаетесь.

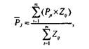
Значение усредненной оценки (цены) (Pj) определяется с учетом самооценок экспертов по формуле:

где j — номер товара; i — номер эксперта; Рjiоценка (цена ) товара j i-м экспертом; Zji -самооценка i-ro эксперта по j-му товару.


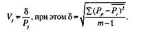
Для оценки разброса цен определим коэффициент вариации по формуле:


Произведем расчет средней цены:

где т — число оценок.

Согласно расчетам V= 29%, что говорит о некотором разбросе мнений экспер­тов, и это надо учитывать при окончательном назначении цены. Возможно, сле­дует повторить опрос, чтобы уточнить предлагаемые экспертами цены.


<== previous lecture | next lecture ==>
НА ОСНОВЕ ВЫЯВЛЕННЫХ «НАМЕРЕНИЙ» О ПОКУПКЕ | ОПРЕДЕЛЕНИЕ ЦЕН С ОРИЕНТАЦИЕЙ НА КОНКУРЕНЦИЮ
lektsiopedia.org - 2013 год. | Page generation: 0.675 s.