Студопедия
rus | ua | other

Home Random lecture






ОРГАНИЗАЦИЯ СБЫТА


Date: 2015-10-07; view: 599.


ОРГАНИЗАЦИЯ И КОНТРОЛЛИНГ В СИСТЕМЕ СБЫТА

Коммерческое понимание маркетинга как метода и инструмента сбыта, озна­чающее лишь поиск и отбор покупателя (заказчика) продукции, которую пред­приятие произвело или в состоянии производить, не соответствует развитому уровню рыночных отношений. Ориентация производства только на сбыт товаров является причиной постоянной несогласованности между спросом и предложе­нием, а также кризиса перепроизводства, поскольку внешний вид и производствен­ные характеристики товара слабо или совсем не увязаны с фактическими потреб­ностями рынка.

Концепция маркетинга взаимодействия основывается на принципах активно­го вовлечения в процесс производства, распределения, реализации и потребле­ния товара всех участников маркетинговой системы. Такой подход к бизнес-ком­муникациям меняет цель и направленность организации предпринимательства, ориентируя менеджмент и всех участников производства и сбыта продукции на потребности покупателей и конечных потребителей товара. Это означает, что не­обходимо производить такие товары и в таком объеме, которые нужны рынку, сбыт которых предопределен с большой вероятностью благодаря предваритель­ным маркетинговым исследованиям потребности рынка, широкому изучению и прогнозированию динамики рынка и окружающей его среды.

Принятие концепции маркетинга изменяет методы, при помощи которых фир­ма достигает намеченных целей производства и сбыта продукции. Однако кон­цепция маркетинга ни в коей мере не приводит к уменьшению значения функций сбыта.

Статус и роль сбытового аппарата фирмы значительно повышаются, так как больше внимания уделяется потребностям рынка; за счет интеграции функций маркетинга осуществляется более глубокая и эффективная увязка сбыта с иссле­дованиями рынка, планированием ассортимента продукции, инструментарием коммуникативного микса (например, рекламы); меняется характер работы по сбы­ту продукции, на первый план выдвигаются потребности и удовлетворенность покупателей, а не производителя товара; производитель становится активным уча­стником сбыта продукции благодаря широкому взаимодействию с работниками торговых организаций, включается в переподготовку персонала отдела сбыта.

С другой стороны, работники отдела сбыта благодаря тесному взаимодействию с другими подразделениями маркетинговой службы имеют доступ к более обшир­ной репрезентативной информации о своих клиентах, что повышает эффектив­ность коммерческих коммуникаций в бизнес-сети.

Повышение роли сбыта в деятельности фирмы вызывает необходимость неко­торой реорганизации сбытового аппарата и реструктуризации в системе органи­зации и управления его деятельностью. Интеграция службы сбыта в службу мар­кетинга может сопровождаться передачей этой службе отдельных функций (рек­лама, изучение рынка, анализ цен, разработка новых товаров, кредитная политика), так как ответственность за эти вопросы передается другим подразделениям службы


442Глава 6. Маркетинг .

маркетинга. В этой связи функции руководителей отдела сбыта несколько огра­ничиваются в оперативном отношении. Их деятельность сосредоточивается в рам­ках своего отдела, они занимаются администрированием, формированием и кон­тролем планов реализации товаров, оказанием услуг клиентам, заключением до­говоров на поставку товаров, работой с персоналом по обучению и оплатой труда торгового персонала.

В то же время наряду с уменьшением оперативных обязанностей повышается ответственность и расширяются стратегические обязанности по организации, планированию и контроллингу деятельности службы сбыта. Это вопросы страте­гического планирования, контроля организационной дисциплины и качества де­ятельности персонала службы сбыта. Особенности трудового процесса большей части работников службы сбыта, например торговых представителей, коммивоя­жеров, комиссионеров, требуют соблюдения на высоком уровне самодисципли­ны и самоконтроля, поскольку эта категория работников действует, как правило, вне фирмы, самостоятельно, по индивидуальным графикам.

Организационная дисциплина в таких условиях должна строиться на основе следующих принципов.

Возложенностъ полномочий — усложнение трудовых технологий, развитие спе­циализации требуют передачи определенных функций и работ подчиненным; с передачей полномочий должны передаваться и необходимые права.

Классификация работ — группировка работ в рамках передаваемых обязанно­стей; лица, занимающие одинаковые по названию должности, могут выполнять совершенно различную работу и иметь разный круг обязанностей.

Иерархическая ограниченность возможности контроля за деятельностью под­чиненных требует обоснования для (и от) каждого руководителя численности под­чиненных. Чем выше уровень иерархии управления (координации и контроля), тем меньшим, как правило, числом подчиненных и работ должен заниматься ме­неджер-руководитель.

Учет различий между оперативной и консультативной, разъяснительной дея­тельностью линейного uw оперативного руководителя означает, что каждый ру­ководитель в структуре отдела сбыта должен консультировать или давать ука­зания в рамках своей сферы деятельности и компетентности, не подменяя дру­гого руководителя и не давая распоряжений через голову вышестоящего руководителя.

Организация сбыта предполагает объединение всех сотрудников, выполняю­щих взаимосвязанный комплекс работ в процессе обеспечения перемещения то­вара от производителя к конечному потребителю. Она требует также определе­ния функций и установления служебных взаимоотношений между работниками внутри сбытовой сети и за ее пределами, координации и контроля деятельности в системе сбыта (рис. 6 5). Кроме того, организация сбыта охватывает деятельность по формированию, отбору специалистов, привлекаемых к работе в службе сбыта, оценке качества и результатов работы подчиненных, а также мероприятия по ма­териальному и моральному стимулированию персонала.

В общем случае деятельность сотрудников отдела сбыта может строиться на модели взаимоотношений между тем или иным представителем службы сбыта и организациями при формировании и реализации закупок товара.


6.2. Организация и контроллинг в системе сбыта



Рис. 6.5.Основные функции организации в системе сбыта

Взаимоотношения между агентом по сбыту, фирмой-продавцом, фирмой-поку­пателем и агентом-закупщиком иллюстрирует модель, представленная на рис. 6.6 [93]. Построение и анализ таких моделей взаимодействия особенно эффективны, когда продавцы-конкуренты также вступают в контакт с фирмой-покупателем.

Рис. 6.6.Модель четырехсторонних взаимоотношений между организациями при закупке товара

Работники сбыта наряду с типовыми функциями могут выполнять исходя из особенностей ситуации и другие обязанности в целях увеличения объема продаж и завоевания престижа фирмы. Обобщенная характеристика работ, которые осу­ществляет, например, агент по сбыту, может включать [94]: продажи; работу с за­казами; обслуживание заказчика, работу с дистрибьюторами, обслуживание цен­тров розничной торговли; администрирование; конференции (встречи, обучение); подбор кадров; культурные мероприятия; командировки (табл. 6.2). В зависимо­сти от особенностей отрасли, которую обслуживает агент, функции и действия, выполняемые им, могут меняться.

Организация сбыта тесно связана с планированием, упорядочением всех работ во времени и в пространстве и с распределением их между сотрудниками отдела сбыта.

Основными элементами планирования сбыта являются: подготовка прогнозов общехозяйственной и рыночной конъюнктуры; прогнозное ориентирование объе­мов сбыта фирмы; разработка финансовой сметы сбыта; установление норм сбы-



Глава 6. Маркетинг взаимодействия: основы принятия маркетинговых решений...


Таблица 6.2. Основные функции агента по сбыту

 

Функция Характеристика работы
Продажи Поиск возможных клиентов Планирование встреч Организация встреч Составление графика посещений Ознакомление с историей сотрудничества с заказчиками Подготовка предложений Проведение презентаций Преодоление препятствий
Работа с заказами Решение проблем с доставкой повторных заказов
Обслуживание заказчика Решение проблем заказчика Составление спецификаций на товар Установка оборудования Заказ сопутствующих принадлежностей Демонстрация и обучение Проведение мелкого техобслуживания Представление рыночной информации о конкурентах заказчика Организация ознакомления заказчика с возможностями фирмы
Работа с дистрибьюторами Налаживание отношений Контроль за просроченными платежами
Обслуживание розничной торговли Организация витрин Обеспечение товарных запасов
Администрирование Учет сделанных посещений Составление отчета по издержкам Встречи с менеджером по сбыту Обеспечение обратной связи
Конференции/встречи Участие в совещаниях по вопросу продаж Участие в торговых ярмарках/выставках
Обучение/подбор кадров Поездки для контроля стажеров Планирование действий по сбыту Участие в специальных семинарах по обучению Прослушивание аудиозаписей Ознакомление с инструкцией по использованию товара
Культурные мероприятия Организация встреч, банкетов с заказчиками
Командировки Организационно-функциональные, контрольные

та; селекция каналов распределения товаров; организация торговых коммуника­ций (включая выбор месторасположения торговых предприятий); планирование и осуществление коммерческой отчетности; анализ хода и динамики продаж; пла­нирование и оценка деятельности персонала службы сбыта; составление и осуще­ствление плана координации деятельности службы сбыта, связей с другими под­разделениями фирмы; разработка плана консультаций и работы с заказчиками и т. д.

Общехозяйственная и рыночная конъюнктурахарактеризует создавшееся положение в хозяйственной и рыночной средах, направление и степень измене­ния устойчивости их совокупных элементов по сравнению с прошлой динами­кой. Прогноз конъюнктуры включает такие этапы, как анализ состояния отрасли экономики, с которой фирма сотрудничает по сбыту продукции; прогноз вероят­ного объема сбыта отрасли в целом; прогноз емкости рынка; анализ удельной ем­кости (доли) рынка всех фирм в общем объеме сбыта.


6 2 Организация и контроллинг в системе сбыта 445

Степень важности разработки прогноза общехозяйственной конъюнктуры за­висит от характера деятельности той или иной фирмы.

Прогноз рыночной конъюнктуры, как правило, осуществляется отделом мар­кетинговых исследований и базируется на анализе состояния и динамики спроса на конкретный или вновь вводимый на рынок товар. К наиболее часто использу­емым показателям экономической конъюнктуры относятся показатели цен, объе­мов спроса, предложения, объемов продаж и т. д.

Прогноз общехозяйственной и рыночной конъюнктуры играет важную роль во внутрифирменном планировании сбыта продукции. По временному интервалу прогнозы конъюнктуры могут быть краткосрочными (3-12 мес.), среднесрочны­ми (1-5 лет) и долгосрочными (5-20 лет).

Прогнозное ориентирование объемов сбыта (продаж) продукции фирмы осу­ществляется с учетом прогноза емкости рынка и задания по реализации продук­ции фирмы на этом рынке. Фирма-производитель, определяя прогноз сбыта, долж­на ориентироваться на долю в общем объеме сбыта всех предприятий отрасли, с которыми она не конкурирует, на потенциальные возможности сбыта своего то­вара с учетом планов конкурентов (если они известны) и планов покупателей. Установленная таким образом величина будущего объема сбыта фирмы как доля всего товарооборота фирм, действующих на данном рынке, служит оценкой того задания по сбыту продукции, которое фирма должна выполнить

Прогноз сбыта необходим для проведения торговых операций фирмы в крат­косрочном периоде; установления финансовой сметы сбыта и распределения объе­ма продаж по торговым предприятиям; управления запасами и разработки произ­водственных заданий смежным подразделением; составления бюджета фирмы и планирования прибыли; планирования развития производственных мощностей и потребностей в ресурсах.

Финансовая смета сбыта продукции фирмы представляет собой документ, в котором фиксируются объемы продаж, торговых расходов и прибыли от реализа­ции. На основе индивидуальных смет для каждого товара или группы товаров составляется сводная смета сбыта продукции.

Финансовая смета базируется на оценках объема продаж на предстоящий год, в ней детализируются объемы по географическим районам, категориям покупа­телей, распределительным каналам, месяцам. Благодаря грамотно составленной финансовой смете фирма добивается выполнения текущей торговой политики и получения запланированной нормы прибыли от продаж.

Структура финансовой сметы сбыта включает следующие статьи: оборот от реализации; общие издержки производства; издержки обращения; валовая при­быль; расходы на рекламу, взаимодействие и стимулирование сбыта; общие (ад­министративные и накладные) расходы; чистая прибыль. При планировании фи­нансовых смет по сбыту новых товаров показатели оборота прогнозируются по реализации и издержкам, что позволяет определить момент безубыточной реали­зации продукции и период возмещения убытков.

Установление норм сбыта для торговых посредников заключается в распреде­лении общего объема сбыта продукции в виде заданий, которые определяются с учетом потенциала торговой организации, категории заказчиков (вида канала


446 Глава 6. Маркетинг взаимодействия: основы принятия маркетинговых решений...

распределения, степени конкуренции в районе расположения потребителей и рыночной конъюнктуры).

Нормы сбыта должны быть реальными. За установление всех норм продажи и за их выполнение несут ответственность руководители отдела сбыта.

Селекция канала сбыта является стратегическим решением фирмы. Во-пер­вых, решается вопрос о выборе прямого или непрямого пути сбыта продукции. Затем формируются различные альтернативные варианты того или иного пути сбыта, осуществляется технико-экономическое сравнение вариантов и выбор од­ного из них. При выборе принимаются во внимание размер и доступность рынка, периодичность совершения покупок, стоимость транспортировки и хранения за­пасов, политика конкурентов в сфере товарораспределения. В случае равнознач­ности вариантов выбирают тот, который учитывает скорость реализации (для ско­ропортящихся товаров) и затраты фирмы-производителя (для промышленных товаров и потребительских товаров длительного пользования), возможности ин­формационных технологий, средства рекламы.

Организация торговых коммуникаций включает организацию отношений с существующими и перспективными заказчиками, как крупными, так и малыми, но растущими — разработку и проведение мероприятий по стимулированию тор­говых посредников (скидки с цен, обучение торгового персонала, реклама на мес­тах распродажи товаров, конкурсы дилеров и т. д.); проведение паблик рилейшнз; мероприятия по внедрению мультимедиатехнологий и т. д.

Важным организационным мероприятием является выбор местоположения торгового предприятия. Основным критерием при оценке эффективности мес­тоположения торгового предприятия или центра является уровень покупатель­ной способности района, который будет обслуживать торговая фирма. При оцен­ке предпочтительного варианта также учитываются: затраты на транспорт по доставке товара от производителя; характер товара (продовольственный, непро­довольственный, производственно-технического назначения); привлекатель­ность ассортимента; наличие и развитость конкуренции; частота покупок; каче­ство транспортной инфраструктуры, обеспечивающей удобство и небольшие затраты, связанные с посещением торгового предприятия потребителями, нахо­дящимися рядом или далеко; привлекательность мест покупок; рекламная до­ступность.

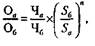
Размеры сферы влияния того или иного регионального образования на его по­купательную способность могут быть определены с помощью закона, предложен­ного американским ученым Рейли. Его идея заключается в том, что с развитием города число покупателей, приезжающих из других мест, возрастает.


где О — оборот розничной торговли в городах А и Б; Ч — численность населения в городах А и Б; S— расстояние между городами А и Б; n — параметр, вычисляемый эмпирически (в расчетах Рейли n = 2).

Распределение торгового оборота по этому закону между городами А и Б оце­нивается по выражению:


6.2. Организация и контроллинг в системе сбыта 447

Оборот розничной торговли в этом случае рассматривается как показатель силы притяжения населения к торговому предприятию того или иного города.

Фактор привлекательности торгового предприятия, центра может быть опре­делен как отношение общей торговой площади предприятия ко времени, которое затрачивает покупатель на поездку на это предприятие. При оценке местополо­жения следует учитывать также наличие общественного транспорта, возможно­сти поставки, наличие автостоянки, сервисных услуг (общественное питание, пун­кты обмена валюты, поток прохожих и т. д.).

Окончательный выбор варианта целесообразно проводить в форме таблицы путем оценки суммы баллов по частным характеристикам. Важнейшие характе­ристики могут быть определены путем проведения опроса экспертами посредни­ческих фирм и потребителей.

Координация деятельности службы сбыта, связей с внутренними подразделе­ниями фирмы и внешними субъектами окружающей среды проводится с целью поддержания эффективного поведения системы сбыта и обеспечения поставки необходимой потребителю продукции в нужное время, в требуемый район, в над­лежащем количестве и установленного качества.

Основным средством и инструментом координации является организационная форма, структура службы сбыта, которая отражает размер фирмы, тип и ассорти­мент товаров, количество и местоположение покупателей, каналы распределения, методы торговли, права и ответственность от вышестоящего к нижестоящему уров­ню. В зависимости от сочетания этих факторов фирмы могут использовать следу­ющие формы организации службы сбыта: функциональную, региональную, то­варную, отраслевую, комбинированную.


Рис. 6.7.Функциональная организационная структура службы сбыта

Функциональная организация службы сбыта используется малыми и средни­ми фирмами, имеющими однородную номенклатуру товаров (рис. 6.7). Коммер-


448______ Глава &. Маркетинг взаимодействия: основы принятия маркетинговых решений...

ческий директор координирует торговые операции на национальном и внешнем рынках, рекламу и стимулирование сбыта. Управляющий по сбыту на националь­ном рынке организует работу сбыта с помощью трех управляющих по сбыту, осу­ществляет контроль за складированием, транспортировкой и доставкой товара через заведующего отделом распределения.

Недостатком этой формы организации является то, что могут потребоваться значительные средства на ее адаптацию в случае расширения номенклатуры про­дукции и появления возможности реализации товара на различных рынках.

Региональная организация сбытаприменяется компаниями, которые выпус­кают ограниченное количество однородных товаров и используют разветвленную распределительную сеть с большим числом торговых точек.

Каждое подразделение в такой организационной структуре возглавляет региональ­ный коммерческий директор, подчиненный маркетинг-директору фирмы (рис. 6.8). Такая организация позволяет агентам по сбыту тесно сотрудничать с потребителями в пределах обслуживаемой территории и работать с минимальными затратами време­ни и средств на разъезды, так как они проживают на территории этого региона.

Рис. 6.8.Региональная организационная структура службы сбыта

Региональная организационная структура эффективна, когда имеют место рас-средоточенность торговых операций, высокая концентрация предприятий в преде­лах каждого отдельного района и различия во вкусах и предпочтениях покупате­лей, проживающих в разных географических районах. Достоинством такой органи­зации сбыта является то, что такие смежные отделы, как рекламный, маркетинговых исследований, планирования ассортимента продукции, централизованы, т. е. вхо­дят в состав главного управления фирмой и обслуживают все региональные груп­пы сбыта продукции.

Товарная организация сбытаформируется, когда планируется реализация то­варов широкого ассортимента и различной номенклатуры. Вся ответственность за планирование и разработку стратегий для реализации определенного продукта


6.2. Организация и контроллинг в системе сбыта



или группы продуктов возлагается на управляющего продуктом (группой про­дуктов). Управляющий сбытом организует разработку стратегии сбыта, прогноза и сметы сбыта, политики цен и упаковки, мероприятий по рекламе и стимулиро­ванию сбыта (рис. 6.9). Торговые уполномоченные руководят специалистами по сбыту конкретного товара или группы товаров и несут ответственность за форми­рование заказов и реализацию товара А (Б, В и т. д.). Специалисты по сбыту кон­кретного товара являются высококвалифицированными работниками, компетен­тными в области характеристик, назначения и использования товара А, имеющи­ми опыт работы с покупателями.

Рис. 6.9.Товарная организационная структура службы сбыта

Достоинство товарной организации сбыта — возможность комплексной коор­динации сбыта по определенному продукту или товарной группе. Такая органи­зация сбыта целесообразна, в первую очередь, для очень крупных фирм, которые имеют большой товарооборот по каждой группе товаров и каждому виду товара. Однако с расширением номенклатуры товаров значительно возрастают затраты на содержание персонала, так как растет численность сотрудников.

Отраслевая организация сбыта применяется для поставки однородной про­дукции фирмам-потребителям различного профиля (машиностроение, энергети­ка, химия, текстильная промышленность и т. д.).

Коммерческому директору подчиняются управляющие сбытом продукции по каждой отрасли промышленности. Число специализированных отделов (групп) сбыта определяется числом обслуживаемых отраслей промышленности. В каче­стве уполномоченных по сбыту привлекаются торговые работники, имеющие ин­женерную или инженерно-экономическую подготовку по конкретной отрасли промышленности.

Такая организация службы сбыта наиболее приемлема для реализации това­ров производственно-технического назначения и сырьевых продуктов (рис. 6.10).

Комбинированная организация сбыта наиболее часто используется организаци­ями, экстенсивно расширяющими предпринимательскую и торговую деятельность.

Комбинированная структура сбыта, как правило, более гибкая и имеет высо­кую готовность к новым требованиям расширения номенклатуры производимой продукции, появлению новых рынков, новым требованиям покупателей.


450 Глава 6. Маркетинг взаимодействия: основы принятия маркетинговых решений...

Рис. 6.10.Отраслевая организационная структура службы сбыта

На практике применяются различные комбинации структур организации сбы­та, например функционально-продуктовая, продуктово-рыночная, регионально-функциональная и др. На рис. 6.11 приведена комбинированная структура орга­низации службы сбыта, построенная на комбинации региональной и функцио­нальной основ с учетом категорий покупателей. Коммерческому директору подчиняются как управляющие сбытом товаров каждой категории покупателей, так и функциональные службы (рекламы и исследования рынка). Каждый управ­ляющий руководит сбытом продукции через подчиненных ему управляющих скла­дами, которые регулируют и анализируют работу торговых уполномоченных и контролируют работу специалистов в области логистики и статистики.

От того, какая будет принята и использована организационная структура сбы­та, во многом зависят результаты деятельности не только сбытовой службы, но и организации в целом.


Рис.6.11. Комбинированная организационная структура службы сбыта

Развитие рыночных отношений, прогресс информатизации предприниматель­ства вызывают необходимость и создают возможность формирования ориенти­рованных на сближение производителя и потребителя организационных струк-


6.2. Организация и контроллинг в системе сбыта 451

тур сбыта. Взаимодействие и взаимозависимость производителя и потребителя на конкретном рынке являются главными факторами построения адаптивных организационных структур сбыта. Это обусловливается условиями конкурент­ной борьбы, которые складываются на рынке, а также возникающей перед сбыто­выми организациями необходимостью эффективно приспосабливаться к посто­янно меняющимся требованиям внешней среды.

Сбытовые организационные структуры как органичный элемент системы орга­низации управления предпринимательством в целом и маркетингом в частности должны быть ориентированы на рост числа коммерческих сделок и потенциала имеющихся возможностей. Такие структуры должны быть динамичными, обнов­ляться на краткосрочной, эпизодической и поэтапной основах, иметь небольшое число иерархических уровней и носить сетевой характер.

В методологии построения сбытовых организационных структур необходимо учитывать активизацию перехода от строгой координации бизнес-коммуникаций к индивидуальной инициативе и самостоятельности. Руководство в такой структу­ре меняет не только свое место в иерархии управления сбытом, но и свои функции. Например, функция контроля заменяется функцией поддержки и стимулирования работников, вовлеченных в коммерческую деятельность. Главными действующи­ми лицами в структуре становятся торговые представители и специалисты по сбы­ту, непосредственно осуществляющие контакты с покупателями. Такая структура сбыта приближает торговую организацию к потребителю, позволяет своевременно реагировать на все его требования.

Таким образом, любая организационная структура сбыта представляет собой сложную систему, которая имеет экономическую, коммерческую, социальную и техническую значимость как для производителя, так и для потребителя.

Выбор такой структуры требует технико-экономического обоснования с уче­том социальных и экологических факторов взаимодействия ее с внешней средой, а также взаимодействия подразделений торговых организаций и каждого инди­вида этой структуры с организацией.


<== previous lecture | next lecture ==>
ОПРЕДЕЛЕНИЕ ЦЕН И ПРОФИЛЯ ПРОДУКТА МЕТОДОМ ОБЪЕДИНЕННОГО ИЗМЕРЕНИЯ (МЕТОД CONJOINT MEASUREMENT (С. М.)) | КОНТРОЛЛИНГ В СИСТЕМЕ СБЫТА
lektsiopedia.org - 2013 год. | Page generation: 0.845 s.