Студопедия
rus | ua | other

Home Random lecture






РЕКЛАМА


Date: 2015-10-07; view: 512.


Уникальные свойства Интернета позволяют использовать его как эффектив­ное средство для проведения рекламных кампаний. Исследования показывают, что реклама в WWW может влиять на покупателей более эффективно, чем теле-или радиореклама. В области рекламы в Интернете доминируют пять отраслей: реклама потребительских товаров — 30%; реклама финансовых услуг — 22; ком­пьютерные продукты — 21; новые средства массовой информации и телекомму­никации — по 7%.


Таблица 7.34, Схема использования cookie для разных типов web-серверов

 

Задача / Тип сервера Интер­активные магазины Серверы присутствия в Интернете Информа­ционные серверы Рыночные серверы Иниции­рующие серверы Поисковые агенты, каталоги
Предотвращение преувеличенного использования баннерной рекламы + + + + + +
Использование целевой рекламы на основе поведения покупателя + + + +
Организация удобной автоматической регистрации пользователя + + + +
Отслеживание сессии пользователей + + + + + +
Усовершенствование навигации и содержания web-сервера + + + + + +
Организация корзины для покупок + - - + - -
Организация взаимосвязи с другими серверами + + +
Сбор и продажа данных о пользователях + - + + - -

606_________ Глава 7. Маркетинг взаимодействия: методология и методика организации...

Проведение рекламной кампании в Интернете требует системного планомер­ного подхода, начиная от формулирования конкретных целей проводимой кам­пании, методов и используемых средств и заканчивая оценкой эффективности, анализом результатов и выработкой рекомендаций для проведения будущих рек­ламных кампаний. Поэтому для проведения эффективной рекламной кампании необходимо определить следующее:

1) главную цель проведения рекламной кампании: создание благоприятного имид­
жа фирмы или продукции; сокращение издержек на рекламу; доступность ин­
формации о фирме или ее продукции независимо от каких-либо территориаль­
ных или временных ограничений; обеспечение поддержки рекламных агентов
и сокращения издержек на печатные виды рекламных и информационных бук­
летов и т. д.;

2) основные задачи рекламной кампании: при подготовке рекламной кампании не­
обходимо выяснить, на какой стадии по отношению к рекламируемой продук­
ции находится потенциальный потребитель (знание, предпочтение, убеждение,
покупка). Это, в свою очередь, определит действия, необходимые для перевода
потребителя на следующую стадию;

3) цель рекламы: реклама фирмы или ее продукции. Методы развития фирменно­
го или товарного имиджа: развивается только имидж фирмы; развивается имидж
уникального товара или товарной группы; формируется уникальная торговая
марка; развивается одновременно имидж товара и фирмы;

4) кто является потенциальным покупателем продукции фирмы и какой объем
аудитории необходимо охватить рекламной кампанией.
Следует определить
число потенциальных покупателей, которых необходимо проинформировать о
фирме или ее товаре, емкость сегмента, для которого в первую очередь пред­
назначается продукция фирмы. Это поможет понять, где требуется разместить
рекламу, чтобы информацию получило необходимое количество потенциаль­
ной аудитории;

5) методы оценки эффективности рекламной кампании. Об эффективности реклам­
ной кампании судят в первую очередь по тому, насколько выполнены задачи,
напрямую связанные с потенциальным потребителем. Можно рекомендовать
следующие способы: анализ статистики сервера и числа обращений к реклам­
ным страницам; опрос потенциальной аудитории об ее уровне информирован­
ности и расположенности к товару или фирме; использование регистрационных
или анкетных форм на сервере или странице фирмы для получения большей ин­
формации как о посетителях, так и об их мнении о фирме и предлагаемом товаре;
проведение экспертной оценки.

Особенностью рекламы в Интернете является то, что ее центральный элемент — это web-сервер фирмы. На его основе строится весь комплекс рекламных ме­роприятий. Перед владельцем web-сервера стоят две основополагающие зада­чи: реализация своей идеи в виде web-сервера, выполняющего те или иные функ­ции, и его рекламирование, чтобы пользователи Интернета узнали о его суще­ствовании и могли его посетить. Таким образом, используется двухуровневый


7.4. Мультимедиатехнологии и концепция маркетинга в среде Интернета 607

подход, когда на web-сервере размещается подробная информация о фирме, то­варах и услугах, а все рекламные усилия направляются на привлечение посети­телей на сервер.

Проведение рекламной кампании должно основываться на четком понимании используемых целевой аудиторией источников информации. Для того чтобы рек­ламная кампания сервера была эффективной, необходимо учитывать возможные способы обнаружения сервера посетителями. Можно выделить три основных спо­соба выхода посетителей на сервер:

• страницы сервера могут быть обнаружены с помощью поисковых машин;

• на сервер можно попасть, воспользовавшись гипертекстовыми ссылками на него,
размещенными на других серверах, в том числе рекламными баннерами;

• можно узнать имя сервера из других источников информации, в том числе тра­
диционных, таких, как газеты, журналы, радио, телевидение и т. д.

Исходя из этого, рекламная кампания, направленная на оповещение пользова­телей Интернета о появлении нового сервера, может включать следующие меро­приятия.

1.Регистрация сервера на поисковых машинах. Даже если не предприни­
мать каких-либо действий по регистрации сервера, новый сервер рано или по­
здно попадет в поле зрения поисковых машин и будет проиндексирован, т. е. в
базу данных поисковой машины будет включена информация о страницах сер­
вера и ключевых словах, соответствующих этим страницам. Тем не менее лучше
проявить инициативу и зарегистрировать новый сервер в поисковых машинах,
выдав тем самым указание поисковым машинам проиндексировать сервер в пер­
вую очередь.

2. Размещение бесплатных ссылок в web-каталогах. Как и поисковые маши­
ны, каталоги используются посетителями Интернета для поиска необходимой им
информации. Каталоги представляют собой иерархические базы данных, органи­
зованные по предметным областям. В отличие от поисковых машин, попасть в
каталог можно, только явно в нем зарегистрировавшись. Поскольку каталоги не
имеют собственных средств сбора информации, аналогичных роботам поисковых
систем, вся информация о включаемом в каталог сервере берется исключительно
из регистрационной формы. Для упрощения этой операции можно поместить
информацию на сервер Submit It (http://ww\v.submit-it. com). Заполненная фор­
ма будет автоматически разослана, а информация о сервере войдет в соответству­
ющие рубрикации нескольких десятков директорий и машин поиска (некоторые
из них: What's New on the Internet, Infoseek, WebCrawler, InfoSpace, Apollo, Starting
Point, ComFind, Yellow Pages Online, What's New Tool, LinkStar, Pronett, Bizwiz,
WebDirect, Nerd World Media, Alta Vista, Mallpark, AAA Matilda, The Web
Magazine).

3. Размещение ссылок в «Желтых страницах». «Желтые страницы» (Yellow
Pages) — стандартный сервис, который включает название бизнеса, номера те­
лефонов и факса, адрес электронной почты, ссылку на страницу в Интернете,
несколько (2-5) рубрик, к которым может быть причислен бизнес, и короткое
(в 20-50 слов) описание деятельности компании. В качестве примера: за 100—


608_________ Глава 7. Маркетинг взаимодействия, методология и методика организации...

200 долларов в год такую информацию можно разместить на серверах: New Riders Official World Wide Web Yellow Pages1, Yellow Pages2, Yellow Pages Superhighway3, YelloWWWeb Pages4,Yellow Pages5, BSN Yellow Pages6.

4. Регистрация на тематических web-серверах. Практически для любой обла­
сти знаний в Интернете можно найти серверы, содержащие коллекции гипертек­
стовых ссылок на информационные ресурсы по данной области GumP Station).
Такие серверы имеют обычно большое число ссылок и очень популярны в каче­
стве отправных точек для поиска информации по определенной теме, поэтому
размещение в них ссылки на сервер может быть весьма полезным для увеличения
числа посетителей сервера.

5. Размещение ссылок на других серверах. Ссылки можно размещать на дру­
гих серверах по нескольким направлениям'

 

• размещение ссылок на серверах партнеров по бизнесу: например, фирма — про­
изводитель какого-либо оборудования может разместить на своем сервере ссыл­
ки на серверы своих дилеров или торговая фирма, поставляющая товары раз­
ных производителей, может разместить на своем сервере ссылки на серверы
производителей поставляемых ею товаров;

• обмен ссылками — для обмена ссылками необязательно наличие каких-либо
партнерских отношений, а достаточно примерного равенства показателей по­
сещаемости серверов;

• размещение ссылок в обмен на что-либо другое, например в обмен на разреше­
ние пользоваться информационными материалами сервера, так как проблема
создания значительного объема бесплатной информации стоит перед всеми
разработчиками серверов и использование информационных материалов с ука­
занием ссылки на первоисточник является распространенной практикой.

 

6. Публикация на других серверах материалов, содержащих ссылки на сер­
вер. Примером таких публикаций могут быть он-лайновые (on-line) журналы.
В любой машине поиска можно найти список этих публикаций в соответствии со
спецификой бизнеса.

7. Размещение платных рекламных объявлений на хорошо посещаемых сер­
верах. Многие серверы с высокими показателями посещаемости предоставляют
возможность платного размещения рекламных объявлений на своих страницах.
Например, платные рекламные объявления можно разместить на серверах поис­
ковых машин и web-каталогов, обычно имеющих очень хорошую посещаемость.
Рекламные объявления могут иметь вид текстовых врезок (текстовое сообщение
на странице), графических врезок (баннеров.т. е. картинок-гиперссылок), просто

1 Riders Official New World Wide Web Yellow Pages (http://www.netma-tion.com/www/
velltl.html).

2 Yellow Pages (http'//www.eypages.com).

3 Yellow Pages Superhighway (http://www.kwik-link.com/kwik-link).

4 YelloWWWeb Pages (http://vellowwweb.com).

5 Yellow Pages (http://www.yellow-pg.com).

6 BSN Yellow Pages (http://bcn.net/yellow/index.html).


7.4. Мультимедиатехнологии и концепция маркетинга в среде Интернета 609

гиперссылок. Ограниченность места на странице вынуждает прибегать к «про­крутке» баннеров (аналог — бегущая строка в телепередачах), при этом только каждый N-н посетитель видит определенную ссылку. Размер тарифа за размеще­ние рекламы зависит от посещаемости сервера, конкретной страницы, числа по­казов и может колебаться в очень широких пределах.

Среди методов ценообразования на рекламу можно выделить следующие:

• оплата по числу показов. Цена зависит от числа показов, или «импрессий»,
пользователям страницы, на которой размещен баннер. В основе метода лежит
СРМ (cost per thousand impressions) — стоимость показа рекламного сообще­
ния 1 тыс. чел. СРМ не является постоянной величиной, пределы ее достаточ­
но широкие;

• оплата по числу «кликов». Метод основан не на измерении посещений страни­
цы с баннером, а на учете «кликнувших» на данный баннер, т. е. на учете реаль­
ных посещений страницы рекламодателя. Метод получил название «метод пе­
реходов». Его предпочитают рекламодатели, но он не учитывает пассивного
действия рекламы, т. е. того, что даже поверхностный взгляд на хорошо пост­
роенный баннер отражается в сознании пользователя;

• оплата в зависимости от конечных результатов. Стоимость рекламных услуг
приравнивается к конечным результатам рекламной кампании;

• повременная оплата. Это обычный способ рекламы, однако в основе его — учет
числа посетителей и страниц сервера.

 

8. Участие в телеконференциях. Хорошая возможность рекламы сервера —
участие в работе телеконференций, аудитория которых представляет потенциаль­
ных потребителей продукции фирмы. То же самое относится к спискам рассылки.

9. Использование тематических списков рассылки. Можно отправить сооб­
щение о своем сервере в тематические списки рассылки, соответствующие облас­
ти деятельности компании. Некоторые компании формируют списки рассылки
из адресатов, согласных получать рекламу в обмен, например, на бесплатное
пользование электронной почтой.

10. Использование имени сервера во всех видах рекламной продукции ком­
пании и использование традиционных видов рекламы. Реклама сервера посред­
ством Интернета может прекрасно дополняться рекламой традиционными спо­
собами. Реклама сервера мало чем отличается от рекламы других товаров, и в от­
личие от Интернет-рекламы методы и средства проведения традиционных
рекламных кампаний тщательно отлажены.

ПРОДВИЖЕНИЕ ТОРГОВОЙ МАРКИ КОМПАНИЙ

Торговая марка — один из важных элементов товарной политики. Соотнесе­ние потребителями торговой марки с высоким качеством или с важным для них свойством товара является одним из главных элементов на современном рынке. Для фирмы необходимо, чтобы потребитель, принимая решение о совершении покупки, в первую очередь рассматривал именно ее товар, и роль торговой мар­ки играет в этом первостепенную роль. WWW позволяет фирме интерактивно взаимодействовать с потребителями. Если потребители при посещении сервера фирмы будут получать положительные эмоции, то это будет способствовать про-


610_________ Глава 7. Маркетинг взаимодействия: методология и методика организаций..'.

движению торговой марки благодаря ассоциации с положительными эмоция­ми, связанными с торговой маркой фирмы. Таким образом, качество опыта по­сещения web-сервера будет переходить в качество торговой марки.

Связи с общественностью. WWW является эффективным средством расши­рения традиционных видов связей с общественностью. На WWW могут быть опубликованы пресс-релизы или представлена текущая информация для потен­циальных акционеров. WWW может использоваться в кризисных ситуациях, когда фирма нуждается в срочной реакции на рыночную ситуацию. Преимуще­ством WWW является возможность обновления информации в реальном вре­мени.

Особенность WWW как средства коммуникации — возможность для потреби­телей размещать свои web-страницы и выражать на них свое мнение. Для фирмы важно отслеживать источники подобной информации на WWW, которые могут представлять угрозу для имиджа фирмы. Примером может быть, например, опуб­ликование неудовлетворенными потребителями своих претензий.

Поддержка потребителей. Поддержка потребителей может быть существенно расширена за счет применения WWW, что включает:

• дополнительную публичную информацию. Фирмы имеют возможность разме­
щения в Интернете значительного объема информации для предоставления ее
потребителям. Это особенно существенно в случае высокотехнологичной про­
дукции, подобной компьютерной технике. При хорошем дизайне сервера и на­
личии функций поиска потребители могут легко найти важную для них ин­
формацию. Существенным является также наличие раздела «Часто задаваемые
вопросы» (Frequently Asked Questions — FAQ). Предоставление такой инфор­
мации важно не только для существующих потребителей продукции фирмы,
но и для потенциальных потребителей, которых нужно убедить в необходимо­
сти совершения покупки именно у нее. Такая поддержка не ограничена в при­
менении только компьютерной продукцией, но распространяется на любой про­
дукт, требующий информационной поддержки;

• механизм дополнительной обратной связи. WWW можно применять для
организации эффективной обратной связи с потребителями, что значительно
расширяет возможности интерактивного взаимодействия потребителей и фирм.
Большое значение имеет предоставление адекватной поддержки от фирм на
запросы покупателей. Отслеживание и анализ запросов являются необходи­
мым элементом организации эффективной поддержки и конструкции сервера,
включая FAQ;

• сокращение традиционных накладных расходов. Стоимость сервиса поддерж­
ки при помощи WWW может быть значительной, и при оценке его эффектив­
ности фирма должна рассмотреть возможность уменьшения затрат в других
областях деятельности. Так как WWW предлагает дополнительный сервис
поддержки, то это должно привести к уменьшению использования других ви­
дов обратной связи и, соответственно, затрат на их обеспечение. Кроме того,
если потребители будут находить предоставляемую поддержку более качествен­
ной и полной, это будет способствовать накоплению положительного опыта
взаимодействия покупателя и фирмы и усилению их взаимосвязи.


7.4. Мультимедиатехнологии и концепция маркетинга в среде Интернета_______ 611

Расширение информационной инфраструктуры предприятия. Использование Интернета может быть обусловлено не только возможностью взаимодействия с потребителями, но и целями расширения системы коммуникации как внутри са­мой фирмы, так и коммуникации с фирмами, являющимися членами канала рас­пределения. Коммуникативные системы предприятия, построенные на базе тех­нологии WWW, разделяют на два вида по признаку распространения их за пре­делы фирмы: Интранет и Экстранет.

Интранет (Intranet) — сеть WWW, организованная как средство коммуника­ции внутри самой фирмы. Обычно это web-сервер, содержащий информацию, доступ к которой предоставлен только членам организации, и защищенный от внешнего мира при помощи firewall — программного средства, предотвращаю­щего несанкционированный доступ во внутреннюю локальную сеть фирмы из внешнего мира.

Экстранет (Extranet) — термин, обозначающий сеть, подобную Интранету, но доступ к ней возможен как изнутри компании, так и из внешнего мира для тех лиц, кому даны соответствующие права доступа.

Преимущества технологии WWW, позволяющие использовать ее в качестве средства внутренней коммуникации:

высокая масштабируемость. WWW — удобное средство коммуникации вне
зависимости от числа пользователей внутри организации. Возможность добав­
ления нового пользователя означает только добавление сетевого компьютера с
браузером Интернета;

низкая стоимость. Стоимость WWW как средства внутренней коммуникации
низка по сравнению с другими системами. Стоимость, ассоциируемая с WWW, —
это стоимость сервера, предоставления информации и клиентских персональ­
ных компьютеров;

простота использования. В основе использования клиентами WWW лежит
элементарный принцип: указал курсором и нажал («кликнул») (point and click)
на кнопку мыши Таким образом, не требуется значительных дополнительных
ресурсов для обучения персонала;

платформенная независимость. Пользователи имеют доступ к информации в
зависимости от первостепенных функций каждого работника персонала фир­
мы, а не от используемой платформы и средства коммуникации;

совместная работа. Персонал может использовать WWW для выполнения со­
вместной работы независимо от своего местонахождения;

интеграция. WWW можег быть интегрирована с другими технологиями для
эффективного использования информации. Например, WWW можно исполь­
зовать для работы с базами данных, при этом пользователю не обязательно уметь
работать непосредственно с базой данных, от него только требуется умение ра­
ботать с браузером;

эффективность распространения информации. Так как WWW позволяет лег­
ко и быстро обновлять информацию, которая становится сразу же доступной,
где бы ни находился пользователь, повышается эффективность работы, осо­
бенно при наличии у фирмы территориально разбросанных отделов;


612Глава 7. Маркетинг взаимодействия: методология и методика организации...

Network computing. По отношению к WWW это означает, что информация на­
ходится на сервере и может быть доступна с компьютера пользователя по сети.
Это упрощает администрирование информации, так как ее местонахождение
централизовано. Кроме того, персональные компьютеры пользователей из про­
граммного обеспечения требуют наличия только web-браузера. Это уменьшает
стоимость и сложность всей системы;

информация по требованию. Возможность получить информацию тогда, когда
она требуется, уменьшает объем бумажной документации. Таким образом, прин­
цип «всю документацию всем» меняется на принцип «информацию получает
только тот, кому она нужна». Этот подход хорошо сочетается с push-техноло­
гией. Использование push-технологии позволяет фирме доставить нужную
информацию конкретным пользователям и гарантирует, что необходимая ин­
формация будет ими получена, даже если они не посещали web-сервер.

f ОЦЕНКА ЭФФЕКТИВНОСТИ СИСТЕМЫ МАРКЕТИНГА НА ОСНОВЕ WEB-СЕРВЕРА В СРЕДЕ ИНТЕРНЕТА

Она может включать технические, экономические, организационные и другие аспекты.

Задача применения web-сервера в системе маркетинга может включать доста­точно широкий круг вопросов. Поэтому для оценки разных аспектов реализации web-сервера необходимо произвести разбивку критериев эффективности, по каж­дому из которых можно было бы в дальнейшем проводить оценку и в соответ­ствии с ней принимать необходимые меры по корректировке, развитию и совер­шенствованию реализуемой системы маркетинга. Поэтому можно выделить сле­дующие группы параметров: экономические, организационные и маркетинговые (рис. 7.23).

Экономические параметры включают оценку экономической эффективности выбранного варианта построения маркетинговой системы предприятия на осно­ве web-сервера в среде Интернета.

Организационные параметры определяют степень интеграции новой инфор­мационной системы с существующей системой и степень интеграции новой ин­формационной системы с существующей деятельностью предприятия.

Под маркетинговыми параметрами в данном случае понимаются параметры, отражающие эффективность проведения маркетинговой программы реализации и продвижения web-сервера в среде Интернета и характеризующие эффективность использования инструментов web-маркетинга.


Полные затраты при этом составляют:


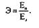
Экономическая эффективность (Э) выбранного варианта построения марке­тинговой системы предприятия на основе web-сервера в среде Интернета может быть определена как отношение результата, получаемого от ее применения (Еп), к затратам, связанным с разработкой и эксплуатацией системы (Ез):


7 4. Мультимедиатехнологии и концепция маркетинга в среде Интернета 613


 



 


Рис. 7.23.Схема оценки эффективности программы маркетинга на основа web-сервера



 


В случае разновременности капитальных и ежегодных затрат капитальные за­траты должны быть приведены к одному (первому или последнему) году эксплу­атации по формуле сложных процентов:



 


где Кt — приведенные капитальные затраты, руб.; t — период времени, через который бу­дут произведены капитальные затраты К, лет.

Результат, получаемый за счет функционирования системы, определяется сле­дующим образом:

где Сe(t)— эффект за счет снижения затрат за время t в результате применения новой системы маркетинга на основе web-сервера.

Таким образом, для определения экономической эффективности необходимо определить основные статьи затрат и снижения расходов за счет использования в системе маркетинга WEB-сервера.

Источники затрат можно разделить на единовременные капитальные затраты и эксплуатационные расходы. К единовременным капитальным затратам можно отнести:


614_________ Глава 7. Маркетинг взаимодействия: методология и методика организации...

• инвестиции на первоначальный анализ и планирование;

• стоимость необходимого оборудования в виде web-сервера;

• стоимость программного обеспечения;

• вложения на организацию линий связи и сопутствующее оборудование;

• стоимость вспомогательного оборудования, например компьютерной техники
для обновления информации на web-сервере, его дизайна или для выполнения
функций по обеспечению работоспособности web-сервера;

• инвестиции на подготовку и переподготовку кадров, в случае если какие-либо
функции по обеспечению работоспособности web-сервера обеспечиваются внут­
ренними ресурсами предприятия.

К эксплуатационным расходам относятся:

• заработная плата обслуживающего персонала;

• расходы на вспомогательные материалы;

• взносы за доменное имя;

• арендная плата за каналы связи;

• плата провайдеру услуг Интернета за предоставление доступа к web-серве­
ру из Интернета, за предоставление места на собственном сервере или за
обслуживание web-сервера предприятия в случае размещения его у провай­
дера;

• амортизационные отчисления;

• дополнительные расходы в случае привлечения сторонних фирм для развития
сервера, его дизайна, выполняемых функций;

• расходы на проводимые рекламные кампании и т. д.

Источники экономии зависят от выполняемых web-сервером функций.

При использовании электронных коммуникаций вместо традиционных снижа­ются расходы на печатные виды продукции, на телефонные разговоры и пересыл­ку факсов. За счет предоставления необходимой информации обеспечивается предпродажная и послепродажная поддержка потребителей, при организации виртуального магазина не нужны традиционный магазин и соответственно затра­ты на него. В случае использования каналов Интернета для распространения ин­формационной продукции нет необходимости в традиционных каналах распрост­ранения. При этом следует учесть, что внедрение и использование web-сервера являются итеративной задачей.

Кроме того, необходимо учесть, что кроме снижения затрат присутствие фир­мы в Интернете посредством web-сервера может принести прибыль за счет: по­вышения имиджа торговой марки компании; продвижения товаров фирмы; при­влечения новых потребителей; добавления нового канала распространения про­дукции; улучшения сервисного обслуживания текущих и потенциальных потребителей.

Оценка организационных аспектов характеризует интеграцию новых способов построения маркетинговой деятельности предприятия в существующую струк­туру предприятия.


7.4 Мультимедиатехнологии и концепция маркетинга в среде Интернета 615

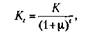
Параметр интеграции с существующей информационной системой (Пи) харак­теризует степень совмещения выполнения различных функций новой и существу­ющей информационной структурами и определяется следующим образом:

где Р — число функций, выполняемых совместно как существующей, так и новой инфор­мационной системой, Рообщее число функций, которые могут быть совмещены суще­ствующей и новой информационной системами.

В качестве примера выполняемых функций можно привести ведение баз дан­ных, совмещение которых может, например, сократить число необходимых дей­ствий по вводу информации и повысить тем самым эффективность деятельности предприятия.

Второй параметр этой группы характеризует интегрированность новой систе­мы с существующей деятельностью предприятия. Он определяется как отноше­ние числа функций, поддерживаемых системой маркетинга на основе Интернета (Рм), к общему числу функций, отражающих деятельность предприятия (Робщ)-

Маркетинговые параметры характеризуют эффективность проведения марке­тинговой программы реализации и продвижения web-сервера в среде Интернета и определяют эффективность использования инструментов web-маркетинга. В их основе лежит анализ информации, получаемой из лог-файлов web-сервера и/или применения cookie-файлов. Полученные данные с наибольшей эффективностью могут быть использованы для анализа их изменения за определенный интервал времени и служить критериями корректировки всего плана реализации и про­движения web-сервера, а также пересмотра проводимых мероприятий в рамках разработанной маркетинговой программы продвижения сервера. Можно выделить следующие критерии эффективности web-сервера.

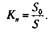
1. Эффективность различных входов на сервер. Этот показатель характеризует эффективность использования различных источников привлечения посетителей на сервер. Определяется как отношение посетителей, воспользовавшихся данным источником (Sистi), к общему числу посещений сервера (Sо):

2. Оценка посещаемости web-страниц сервера, которая характеризует их попу­лярность. Определяется для каждой страницы как отношение посещений страни­цы (Sстрi ) к общему количеству посещений сервера (Sо):


3. Эффективность баннерной рекламы, которая определяет эффективность каж­дого рекламного баннера; с помощью этого показателя можно провести сравне­ние рекламных баннеров, намечая пути их совершенствования. Эффективность баннерной рекламы зависит от числа посетителей, которые благодаря рекламе воспользовались баннером-ссылкой и перешли на web-сервер фирмы. Определя­ется как отношение числа «кликнувших» баннер посетителей (Soi) к числу посе­тителей страницы, на которой размещен баннер (S6i):

4. Эффективность преобразования посетителей сервера в покупателей (для случая реализации на web-сервере виртуального магазина). Определяется как процентное соотношение между посетителями, перешедшими к активным дей­ствиям по приобретению товаров (Sптр) и общим числом посетителей сервера (5):

5. Число повторных посещений. Этот показатель характеризует выполнение второй основной функции web-маркетинга после первоначального привлечения посетителей на сервер, а именно достижение максимального числа повторных посещений сервера. Определяется как средняя величина, равная отношению об­щего числа посещений сервера (Sо) к числу его посетителей (S):

Поскольку построение системы маркетинга — процесс динамичный и постоян­но развивающийся, одним из важных вопросов оценки эффективности является учет обратных связей, позволяющих на основе получения и анализа параметров эффективности принимать необходимые меры по корректировке принятых ори­ентиров и проводимых мероприятий, а также по дальнейшему развитию и совер­шенствованию сервера. Каждая из рассмотренных групп параметров эффектив­ности связана с одним из трех этапов реализации программы маркетинга на осно­ве web-сервера. Так, экономический анализ результатов характеризует в первую очередь первый этап — адекватность поставленных целей и задач текущей ситуа­ции и качество проведенного анализа и планирования; оценка интеграции новой системы с существующей информационной системой и деятельностью предпри­ятия характеризует второй этап программы маркетинга — этап реализации серве­ра; маркетинговые параметры — эффективность проводимой программы продви­жения сервера в среде Интернета.

Предложенный подход к оценке эффективности Интернета не является одно­значным, но вполне может быть использован при определении эффективности вне­дрения концепции маркетинга на основе применения мультимедиатехнологий.


Глава 8

ОСНОВЫ ОРГАНИЗАЦИИ МЕЖДУНАРОДНОГО

МАРКЕТИНГА



<== previous lecture | next lecture ==>
Глава 7. Маркетинг взаимодействия: методология я методика организаций... | ОСОБЕННОСТИ, ЦЕЛИ, ЗАДАЧИ И ОКРУЖАЮЩАЯ СРЕДА МЕЖДУНАРОДНОГО МАРКЕТИНГА
lektsiopedia.org - 2013 год. | Page generation: 1.513 s.