Студопедия
rus | ua | other

Home Random lecture






Размерность и базис векторного пространства.


Date: 2015-10-07; view: 534.


Векторное пространство R наз-ся n- мерным, если в нем сущ-ет n линейно независимых векторов, а любые из (n+1) векторов являются линейно зависимыми. Rn.

Размерность пространства – max число содержащихся в нем линейно независимых векторов.

Базис – совокупность n линейно независимых векторов n мерного пространства R.

Каждый вектор х векторного пространства Rn можно представить и при том единственным образом в виде линейной комбинации векторов базиса.

15. Евклидово пространство. Длина (норма) вектора, коллинеарные векторы, угол между 2 векторами, ортогональные векторы, ортонормированный базис евклидова пространства. Теорема о наличии ортонормированного базиса в n-мерном евклидовом пространстве.

Линейное векторное пространство, в к-ом занято скалярное произведение векторов, удовлетворяющих следующим св-вам:

1.(х,у)= (у,х)

2.(х, у+z) = (x,y)+(x,z)

3.(ax, y) = a(x, y)

4.(x, x) > 0, если х – ненулевой вектор и (x, x)=0, если х – нулевой вектор.

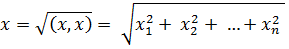
Длиной (нормой) вектора х на евклидовом пространстве наз-ся величина (х), где

Справедливо следующее:

1.

2. где λ – действительное число

3.

4.

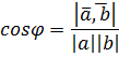
Угол между 2 ненулевыми n-мерными векторами a и b, явл-ся угол, косинус которого вычисляется по формуле:

Два вектора коллинеарные, если найдется такое λ, что a = λb.

Два вектора ортогональны, если их скалярное произведение равно 0.

Векторы n- мерного евклидова пространства образуют ортонормированный базис, если они попарно ортогональны и норма каждого из них = 1.

Теорема:

Во всяком n- мерном евклидовом пространстве существует ортогональный базис.

Теорема:

Каждый вектор x линейного пространства можно представить единственным способом в виде линейной комбинации вектор-базиса

 

16. Собственные векторы и собственные значения матриц. Характеристический многочлен и характеристическое уравнение матрицы А.

Рассмотрим квадратную матрицу А (n*n). Рассмотрим мн-во векторов –столбцов размерности n. В рез-те произведение это матрицы на n-мерный вектор х получиться также n-мерный вектор у: АХ=У

Число α наз-ся собственным значением кв матрицы А, если найдется вектор х, такой, что ах= λ х

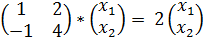
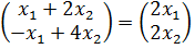
Пример

Собственное значение λ = 5. Собственный вектор (1,1).

Каждый вектор где с – произвольное число, является собственным вектором матрицы А.

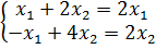
Рассмотрим для удобства кв матрицу А(2*2) и равно ах= х. Или Ах=λех

Ах- λех=0

0 –нулевая матрица – вектор.

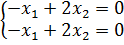
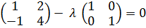
(А- λе) х = 0

Матричному уравнению соответствует однородное уравнение квадратной матрицей (А-λЕ). По теореме ненулевое решение однородной системы существует такая и только такая, когда определитель системы равен 0.

= 0

Теорема. Собственным значением матрицы является решение ур-я . Это ур-е является характеристическим уравнением матрицы А. Это многочлен степени n относительно неизвестной λ.

Собственный вектор при любом с ≠0, образует базис пространства R2

Пример.

- характеристический многочлен.

λ=2 λ=3

Матрица имеет 2 собственных значения. Найдем собственные вектора.

Общее решение:

(2с, с), где с – любое действительное число. То же самое, если λ=3

Замечание:

Собственные векторы, при любом с≠0, образуют базис пространства R2.

 

17. Модель международной торговли (линейная модель обмена). Условия сбалансированности.

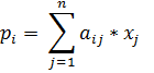
Предположим, что n стран или к-либо других автономных сообществ людей осуществляют между собой торговлю. Пусть доход i-ой страны от торговли составляет х ден. ед. - доля дохода, которую j-ая страна тратит на закупку товара у i-ой страны. S - НД

A =

Расходы

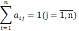
В экономической лит-ре наз-ся структурной матрицей торговли. Ограничимся ситуацией, когда страна тратит все на покупку собственных товаров и товаров из других стран. Тогда (сумма по столбцу)

Произведение представляет собой выручку i-ой страны от продажи товаров j-ой. Поэтому суммарная выручка i-ой страны от продажи товаров на внутреннем и внешнем рынке:

Сбалансированная торговля – НД и выручка равны м-у собой.

В матричном виде: Х(х1, х2,…, хn)т – вектор доходов.

X=AX

AX=P

 


<== previous lecture | next lecture ==>
Определение ранга ч-з минор. Метод окаймляющих миноров. | Межотраслевая модель экономики (модель Леонтьева)
lektsiopedia.org - 2013 год. | Page generation: 1.667 s.