Студопедия

Мы поможем в написании ваших работ!




V2: Чистый сдвиг. Расчет на сдвиг (срез)

 

I: K=B

S: Диаграмма напряжений при чистом сдвиге для пластичного материала имеет вид…

-: 1

+: 2

-: 3

-: 4

 

I: K=B

S: На срез (на сдвиг) рассчитывается соединение, показанное на рисунке…

 

-:

 

-:

 

-:

 

+:

I: K=B

S: Закон Гука при чистом сдвиге ( ) действует на участке диаграммы…

+: 0-1

-: 1-2

-: 2-3

-: 3-4

 

I: K=A

S: Площадь поперечного сечения тела заклепки – А. Касательные напряжения в поперечном сечении, в месте среза, определяются по формуле…

+:

-:

-:

-:

 

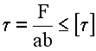
I: K=B

S: – площадь клеевого соединения. – допускаемое касательное напряжение для клеевого соединения. Условие прочности клеевого соединения имеет вид…

-:

-:

+:

-:

 

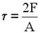
I: K=B

S: А – площадь поперечного сечения тела заклепки, – допускаемое напряжение на срез. Допускаемое значение силы F определяется по формуле…

-:

-:

-:

+:

 

I: K=C

S: Чистый сдвиг – это вид напряженного состояния, показанный на рисунке…

+:

-:

-:

-:

 

I: K=B

S: При чистом сдвиге …

-:

-:

+:

-:

 


<== предыдущая страница | следующая страница ==>
Обработка результатов. 1. Для каждого значения частоты в таблице 1 рассчитать значение индуктивности L в соответствии с формулой 13 | V2: Крутящий момент. Деформации и напряжения

Дата добавления: 2015-06-30; просмотров: 470; Нарушение авторских прав




Мы поможем в написании ваших работ!
lektsiopedia.org - Лекциопедия - 2013 год. | Страница сгенерирована за: 0.001 сек.