Студопедия

Мы поможем в написании ваших работ!




Определение параметров (р,v,Т) всех характерных точек цикла

Определение параметров всех характерных точек цикла начнем с вычисления удельного объема газа в точке 1. Из уравнения Клайперона-Менделеева[1]:

pv=RT

где R=287 Дж/кг К – газовая постоянная воздуха

Определим параметры точки 2

, следовательно

Процесс 1-2- политропный, с показателем политропы n1

, следовательно

Величину Т2 находим из уравнения состояния идеального газа

Определяем параметры точки 3

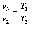
Процесс 2-3 изобарный для него в соответствии с законом Гей-Люссака

;

Процесс 1-4 изобарный, поэтому

Процесс 3-4 - политропный с показателем политропы n2. Для него:

, отсюда

Температура в точке 4 найдем из уравнения состояния для этой точки:

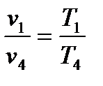
Эту же температуру можно найти, записав закон Гей-Люссака для изобарного процесса 4-1 (1):

, откуда следует

Совпадение полученных результатов служит свидетельством правильности проведенных вычислений и отсутствии арифметических ошибок.


<== предыдущая страница | следующая страница ==>
Описание цикла в целом и характеристика каждого его процесса | Полный термодинамический расчет каждого процесса

Дата добавления: 2015-06-30; просмотров: 201; Нарушение авторских прав




Мы поможем в написании ваших работ!
lektsiopedia.org - Лекциопедия - 2013 год. | Страница сгенерирована за: 0.274 сек.