Студопедия

Мы поможем в написании ваших работ!




Полный термодинамический расчет каждого процесса

Полный термодинамический расчет любого процесса включает вычисления тепла и работы за этот процесс, изменение внутренней энергии, энтальпии, энтропии.

Для политропного процесса 1-2 количество тепла вычисляется по формуле(1):

,

где - средняя массовая теплоемкость в процессах при постоянном объеме в интервале температур от доТ2;

- показатель адиабаты для процесса 1-2;

- средняя массовая теплоемкость воздуха в процессах при Р=const для того же интервала температур.

Если принимать зависимости = f(T) и = f(T) линейными, то величины средних теплоемкостей воздуха легко вычислить по формулам [10]:

и

,

где и — температура в начале и в конце процесса в °С.

Проводим вычисления:

,

;

;

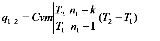
=

Итак, тепло за процесс 1 -2

= ;

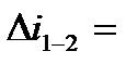
Работа в процессах 1-2 вычисляется по формуле:

;

Рассчитываем изменения внутренней энергии, энтальпии, энтропии в процессе 1-2, используя известные формулы, полученных для идеального газа.

;

;

.

Чтобы проверить правильность расчетов, запишем выражение первого закона термодинамики и проведем сопоставление значений :

Неувязка свидетельствует об отсутствии ошибок в вычислениях.

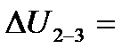
Проводим расчеты для изобарного процесса 2-3

;

;

;

;

Для проверки составим выражение первого закона термодинамики

Неувязка свидетельствует об отсутствии ошибок в вычислениях.

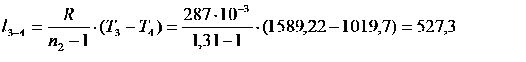
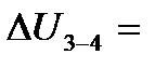
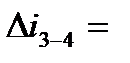
Расчет политропного процесса 3-4, проводим аналогично расчету процессу 1 - 2.

= ;

Итак, тепло за процесс 3-4:

;

Рассчитаем изменение внутренней энергии, энтальпии, энтропии.

;

;

Чтобы проверить правильность расчетов, запишем выражение первого закона термодинамики и проведем сопоставление значений :

Неувязка свидетельствует об отсутствии ошибок в вычислениях.

Проводим расчеты для изобарного процесса 4-1

;

;

;

;

;

Для проверки составим выражение первого закона термодинамики

Неувязка свидетельствует об отсутствии ошибок в вычислениях.

 


<== предыдущая страница | следующая страница ==>
Определение параметров (р,v,Т) всех характерных точек цикла | Вычисление термодинамических характеристик цикла

Дата добавления: 2015-06-30; просмотров: 247; Нарушение авторских прав




Мы поможем в написании ваших работ!
lektsiopedia.org - Лекциопедия - 2013 год. | Страница сгенерирована за: 0.785 сек.