Расчет теплового баланса двигателя
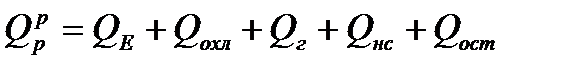
Здесь необходимо дать определение теплового баланса и записать его в виде формулы:
,
где – располагаемое тепло, выделенное при сгорании рабочей массы топлива в двигателе на номинальном режиме, ;
– теплота, которая рассеивается в системе жидкостного охлаждения, ;
– теплота, которая рассеивается в системе жидкостного охлаждения, ;
– потери тепла с отработавшими газами, ;
– теплота, теряемая вследствие неполного сгорания топлива, ;
– остаточный член теплового баланса, учитывающий потери тепла не
поддающиеся расчету, .
1. Расчет располагаемого тепла
= , кВт,
где 
где - эффективная мощность двигателя, кВт;
- эффективный цикл двигателя;
- низшая теплопроводность топлива, ;
=43000 0,0035=150,5 кВт.
2.Теплота, использованная на получение эффективной мощности двигателя, эквивалентна его эффективной мощности, т.е.
= =48 кВт.
3. Расчет тепла, теряемого системой охлаждения
= ,
где =0,96 кг/с, т.к < 100; = 4,19.
4. Расчет потерь тепла с уходящими газами
= ,
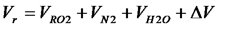
где - объем продуктов сгорания 1 кг топлива, ;
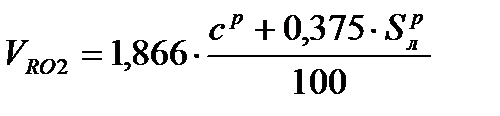
- объем трехатомных сухих газов (С02, SО4), ;
- процентное содержание углерода в 1 кг рабочей массы топлива;
- процентное содержание серы в 1 кг рабочей массы топлива.
,
- содержание азота в теоретически необходимом количестве ,
- теоретически необходимое количество воздуха для полного сжигания топлива ,
- процентное содержание водорода в 1 кг рабочей массы топлива.
,
= 0,79 11,241=8,88 ,
- количество водяных паров, образовавшихся при сгорании водорода в топливе и содержащихся в воздухе ,
- коэффициент избытка воздуха, необходимого для полного сжигания топлива принимаем равным для дизелей - 1.3.
,
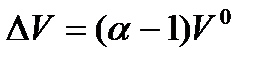
избыточный объем воздуха ,
,
= 1,61+8,88+1,72+3,37=15,58 ,
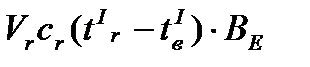
= ,
- объемная изобарная теплоемкость,
- температура уходящих газов для дизельных двигателей равна 800 
5. Количество тепла, теряемого при неполном сгорании топлива, определяется их опыта и соответствует 2% от располагаемого тепла.
.
6. Расчет остаточного члена теплового баланса
.
Полученные результаты сводятся в таблицу
Таблица 2
| Единица
измерения
| Составляющие теплового баланса
|
|
|
|
|
|
|
| 150,5
|
|
| 57,5
| 3,01
| 17,99
| | %
|
| 31,8
|
| 38,2
|
|
|
Дата добавления: 2015-06-30; просмотров: 241; Нарушение авторских прав Поделиться с ДРУЗЬЯМИ:
|