Студопедия

Мы поможем в написании ваших работ!




Расчет поверхности жидкостного радиатора

 

Расчет поверхности радиатора базируется на двух уравнениях: уравнения теплопередачи и уравнения теплового баланса.

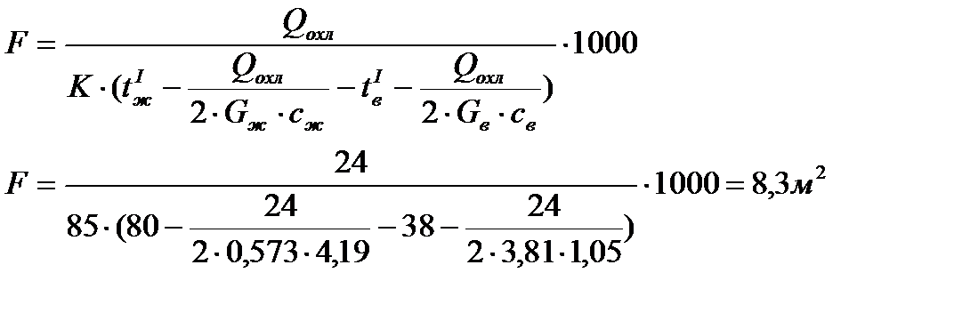
где К - коэффициент теплопередачи в радиаторе от охлаждающей жидкости к воздуху;

F - поверхность радиатора, участвующая в теплообмене, ;

- средние температуры жидкости и воздуха, ;

- количество жидкости и воздуха, циркулирующих в системе охлаждения, ;

сж – массовая изобарная теплоемкость жидкости (принимается для воды 4,19 );

св – теплоемкость воздуха (1.05 );

- соответственно температура жидкости и воздуха на входе в радиатор, ;

- соответственно температура жидкости и воздуха на выходе из радиатора, .

Количество жидкости, циркулирующей в системе охлаждения, определяется из уравнения:

,

.

Считая, что температура жидкости и воздуха меняются по линейному закону, поверхность радиатора можно рассчитать по формуле:

.

Поверхность охлаждения трубчато - пластичного радиатора F омывается воздухом, откладывается из поверхности трубок и пластин.

Зная расчетную поверхность F, оформляется конструкция радиатора. Обычно радиатор выполняется в виде прямоугольника.

Конструктивная компактность радиатора, характеризуется объемным коэффициентом компактности, который вычисляется по формуле:

где F - расчетная поверхность радиатора, ;

- объем сердцевины радиатора, м3;

,

фронтовая поверхность радиатора, . Фронтовая поверхность радиатора определяется конструктивно (для расчета может быть принята для двигателей мощностью до 60 кВт – 0,3 );

- глубина радиатора, принимается = 0,05 м,

тогда

Вычислив значение коэффициента компактности радиатора, рассчитывают его глубину по формуле:


СПИСОК ИСПОЛЬЗОВАННОЙ ЛИТЕРАТУРЫ

 

1. Луканин В.Н. Теплотехника / В.Н. Луканин. - М.: Высшая школа, 2000.-671с.

2. Вукалович М.П. Термодинамика / М.П. Вукалович, И.И. Новиков. М., Машиностроение, 1972. - 312 с.

3. Нащекин В.В. Техническая термодинамика и теплопередача / В.В. Нащекин. - М.: Высшая школа, 1975. - 369с.

4. Бальян С.В. Техническая термодинамика и тепловые двигатели / С.В. Бальян. -М.: Машиностроение, 1973. -354с.


<== предыдущая страница | следующая страница ==>
Расчет теплового баланса двигателя | Методические рекомендации по выполнению курсовой работы

Дата добавления: 2015-06-30; просмотров: 228; Нарушение авторских прав




Мы поможем в написании ваших работ!
lektsiopedia.org - Лекциопедия - 2013 год. | Страница сгенерирована за: 0.002 сек.