Студопедия

Мы поможем в написании ваших работ!




Метод линий скольжения для решения задач плоской пластической деформации (ППД)

Примером случая ППД может служить листовая прокатка, при которой практически отсутствует поперечная деформация, то есть уширение.

 

Постановка задачи ППД

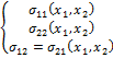
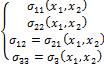
Запишем тензоры деформации и напряжений для этого случая.

 

– плоская деформация в плоскости x1 x2

 

 

σ33 = σ3 – это проявление действия «тисков», которые препятствуют деформации по третьему направлению.

σ33 = σ3 – это главный компонент тензора, так как на его площадке σ23 = σ32 = 0.

При плоской деформации между нормальными компонентами напряжений существует соотношение, которое следует из физического уравнения:

– при плоской деформации

σ33 = μ11 + σ22)

 

Известно, что при развитой пластической деформации коэффициент Пуассона μ = ½

– при плоской деформации

 

Поставим задачу определения НС при ППД. Определить НС означает знать все компоненты тензора напряжений в каждой точке деформируемой области:

 

 

Таким образом, решение задачи отыскания напряженного состояния при ППД сводится к определению четырех координатных функций.

С учетом соотношения для плоской деформации можно говорить о необходимости определения только трех функций:

 

 

Для решения такой задачи необходимо иметь исходную систему из трех независимых и совместных уравнений.

 


<== предыдущая страница | следующая страница ==>
Условие пластичности Треска – Сен-Венана | Уравнения статики при ППД

Дата добавления: 2015-07-26; просмотров: 211; Нарушение авторских прав




Мы поможем в написании ваших работ!
lektsiopedia.org - Лекциопедия - 2013 год. | Страница сгенерирована за: 0.072 сек.