Студопедия

Мы поможем в написании ваших работ!




Понятие экстремума функции. Достаточное условие существование экстремума функции в точке

Ответ:

Понятие выпуклости вверх, вниз графика функции.

Точки перегиба.

Ответ:

Нахождение пределов функции по правилу Лопиталя.

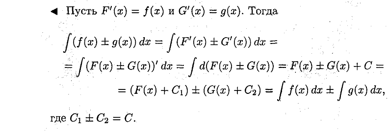
Понятие первообразной функции. Свойства первообразных.

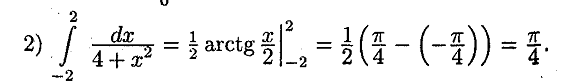
Ответ:

Свойства:

Понятие неопределенного интеграла. Понятие о неберущихся интегралах.

Ответ:

 

<== предыдущая страница | следующая страница ==>
Теорема Ролля , геометрический смысл теоремы Ролля | Тема 10. ФІНАНСОВО-ЕКОНОМІЧНІ РЕЗУЛЬТАТИ ТА ЕФЕКТИВНІСТЬ ДІЯЛЬНОСТІ ПІДПРИЄМСТВА. ЕКОНОМІЧНА БЕЗПЕКА ПІДПРИЄМСТВА. ПЗ.16 – Оцінка ефективності фінансового-економічної діяльності підприємства

Дата добавления: 2015-07-26; просмотров: 346; Нарушение авторских прав




Мы поможем в написании ваших работ!
lektsiopedia.org - Лекциопедия - 2013 год. | Страница сгенерирована за: 0.193 сек.