Студопедия

Мы поможем в написании ваших работ!




Теорема Ролля , геометрический смысл теоремы Ролля

Ответ:

 

Теорема Лагранжа. Геометрический смысл теоремы Лагранжа.

Ответ:

Теорема:

 

Геометрический смысл.

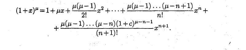
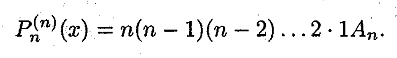
23. Многочлены Маклорена, Тейлора порядка N для функции имеющей производные N+1 порядка в данной точке. Примеры.

Ответ:

Достаточные условия возрастания (убывания) дифференцируемой функции на отрезке.

Ответ:


<== предыдущая страница | следующая страница ==>
Доказательство. Пусть - точка минимума. Тогда при | Понятие экстремума функции. Достаточное условие существование экстремума функции в точке

Дата добавления: 2015-07-26; просмотров: 579; Нарушение авторских прав




Мы поможем в написании ваших работ!
lektsiopedia.org - Лекциопедия - 2013 год. | Страница сгенерирована за: 0.149 сек.