Студопедия

Мы поможем в написании ваших работ!




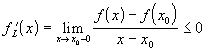
Доказательство. Пусть - точка минимума. Тогда при

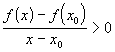
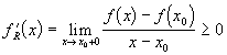
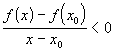
Пусть - точка минимума. Тогда при . Значение выражения . Значит, . Рассмотрим теперь , при этом также , и выражение . Значит, правая производная .

Следовательно . Теорема доказана.

 

Геометрический смысл теоремы Ферма Существует такая точка , в которой касательная параллельна оси Ox. Замечания
  1. В точке экстремума может не быть производной. Пример: , - точка минимума, но .

2. Равность нулю производной - необходимое условие существования экстремума, но не достаточное. То есть производная может быть равной 0 и вне точки экстремума. Пример: , но точка 0 - не экстремум.

 


<== предыдущая страница | следующая страница ==>
Производная сложной функции. Производная обратной функции | Теорема Ролля , геометрический смысл теоремы Ролля

Дата добавления: 2015-07-26; просмотров: 203; Нарушение авторских прав




Мы поможем в написании ваших работ!
lektsiopedia.org - Лекциопедия - 2013 год. | Страница сгенерирована за: 0.171 сек.