Студопедия

Мы поможем в написании ваших работ!




Производная сложной функции. Производная обратной функции

Ответ:

Сложная функция.

Обратная функция.

Примеры:

ых

Вывод табличных производных.

Ответ:

Нахождение производной для tgx

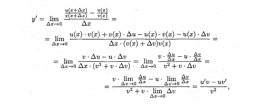
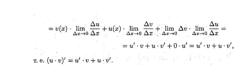
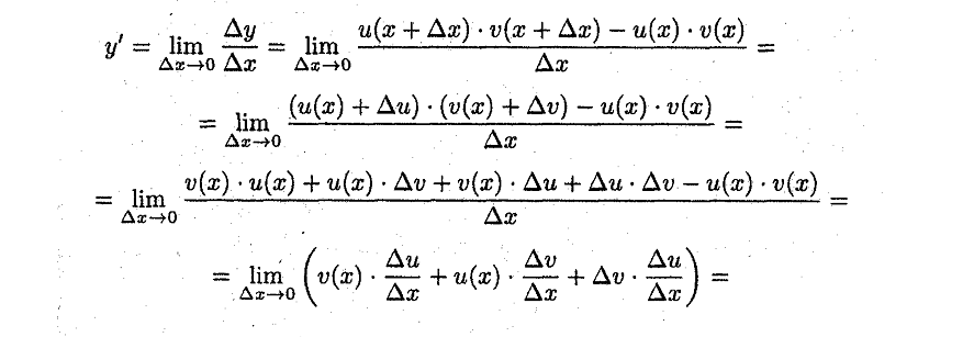
Правило вычисления производных от суммы , произведения,

Частного функций.

Ответ:

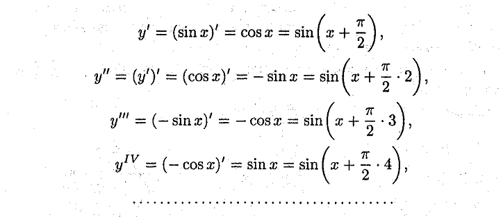
Производные высших порядков. Механический смысл второй производной.

Ответ:


<== предыдущая страница | следующая страница ==>
Приближенные вычисления с помощью дифференциала функции | Доказательство. Пусть - точка минимума. Тогда при

Дата добавления: 2015-07-26; просмотров: 602; Нарушение авторских прав




Мы поможем в написании ваших работ!
lektsiopedia.org - Лекциопедия - 2013 год. | Страница сгенерирована за: 0.016 сек.