Студопедия

Мы поможем в написании ваших работ!




Диверсификация портфеля

Приобретая ценные бумаги, инвестор формирует свой инвестиционный портфель. Портфель – совокупность собранных воедино различных инвестиционных ценностей (ценных бумаг и других финансовых активов), служащих инструментом для достижения конкретных инвестиционных задач и целей.

Основная задача портфельного инвестирования состоит в обеспечении совокупности ценных бумаг, входящих в портфель, таких инвестиционных характеристик, которые не достижимы с позиции отдельно взятой ценной бумаги. Желаемые инвестиционные характеристики достигаются посредством манипулирования структурой ценных бумаг в портфеле. Главной же целью формирования портфеля ценных бумаг является достижение наиболее оптимального для инвестора сочетания между риском и доходностью (формирование оптимального портфеля).

Приведенные цель и основная задача портфельного инвестирования отражают важность определения оптимальных пропорций между ценными бумагами с различными инвестиционными характеристиками (такими, как риск и доходность), т. е. оптимальной структуры портфеля. Как правило, в портфель могут входить ценные бумаги одного типа (акции) или различные инвестиционные ценности (акции, облигации и др.).

Основываясь на критериях доходности и риска, наиболее часто выделяют два основных типа портфеля:

· портфель дохода, ориентированный на преимущественное получение дохода за счет процентов и дивидендов;

· портфель роста, направленный на преимущественный прирост курсовой стоимости входящих в него инвестиционных ценностей.

Одним из основополагающих принципов портфельного инвестирования является принцип диверсификации, сущность которого состоит в том, что нельзя вкладывать все инвестиционные ресурсы в одни ценные бумаги, каким бы выгодным это вложение ни казалось. Лишь такая сдержанная позиция может позволить избежать серьезных убытков. Самый простой вид диверсификации состоит в простом делении инвестиционных ресурсов между несколькими ценными бумагами без их детального анализа.

Диверсифицируя свой портфель, инвесторы уменьшают риск, это происходит за счет того, что возможные невысокие доходы по одним ценным бумагам (обладающим незначительным риском) будут компенсироваться высокими доходами по другим (риск которых высок). При этом минимизация риска может достигаться за счет включения в портфель ценных бумаг, доходность по которым имеет отрицательную корреляцию.

Итак, формируя инвестиционный портфель, необходимо оценить его риск и доходность.

Для определения доходности портфеля, состоящего из N количества ценных бумаг в конце периода п, можно использовать следующую формулу:

(21.1),

где Di – ожидаемая (или фактическая) доходность i-й ценной бумаги;

ri – доля конкретного вида ценных бумаг в портфеле на момент его формирования;

n – количество ценных бумаг в портфеле.

Оценка инвестиционного портфеля по критерию риска производится с учетом коэффициентов риска и объемов вложений в соответствующие виды инвестиций. Вначале по каждому виду инвестиций рассчитываются конкретные значения показателей риска. Совокупный риск инвестиционного портфеля предприятия определяется как соотношение сумм инвестиций по различным направлениям, взвешенным с учетом риска, и общей суммы инвестиций по формуле:

(21.2),

где R – совокупный риск;

Ii – инвестиционные вложения по i-му направлению;

Ri – показатель риска по i-му направлению;

I – общий объем инвестиций.

Данная формула используется в случае, когда динамика доходности различных инвестиций в портфеле инвестиций предприятия взаимонезависима или малозависима.

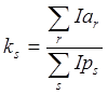
При оценке инвестиционного портфеля банков с точки зрения ликвидности и процентного риска можно использовать показатель уровня риска, который рассчитывается как соотношение между инвестиционными активами и источниками финансирования, взвешенными по объемам и срокам:

(21.3),

где – показатель уровня риска;

Iat – инвестиционные вложения, взвешенные по срокам;

Ipt – источники финансирования инвестиционных вложений, взвешенные по срокам.

Небольшое значение показателя свидетельствует о снижении соответствующих рисков.

Для определения степени стабильности инвестиционного портфеля используется коэффициент, исчисляемый по формуле:

(21.4),

где – инвестиционные активы, взвешенные с учетом риска;

– источники их финансирования, взвешенные с учетом стабильности.

Низкое значение коэффициента свидетельствует о недостаточной эффективности использования источников финансирования инвестиций, а более высокое – о повышенном риске и неустойчивости структуры инвестиционного портфеля. Данный коэффициент может быть рассчитан для оценки стабильности не только совокупного инвестиционного портфеля, но и отдельных инвестиционных активов.

Оценить стабильность инвестиционного портфеля предприятия можно путем расчета соотношения между суммами вложений по различным направлениям инвестирования и объемом собственных средств (капитала) предприятия (К) по формуле:

(21.5).

Приведенные соотношения позволяют оценить соответствие инвестиционной деятельности принципам доходности, ликвидности и надёжности.

При формировании смешанного инвестиционного портфеля необходимо произвести сравнение итоговых оценочных показателей субпортфелей, по результатам которого инвестиционные ресурсы банка могут быть перераспределены для более эффективной реализации инвестиционного портфеля в целом.

Диверсификация инвестиций – вид инвестиционной стратегии, связанный с расширением или изменением инвестиционной деятельности.

Портфели ценных бумаг, построенные по принципу диверсификации, предполагают комбинацию из достаточно большого количества ценных бумаг с разнонаправленной динамикой движения курсовой стоимости (дохода). Такая диверсификация может носить отраслевой или региональный характер, а также проводиться по различным эмитентам. Диверсификация, призванная снизить инвестиционные риски при обеспечении максимальной доходности, основана на различиях в колебаниях доходов и курсовой стоимости ценных бумаг.

Аналитические данные свидетельствуют, что наличие в портфеле 10-15 различных ценных бумаг значительно снижает риск вложений; дальнейшее увеличение количества активов и увеличение степени диверсификации не играет существенной роли при прочих равных условиях для снижения инвестиционного риска и является нецелесообразным, поскольку ведет к эффекту излишней диверсификации. Эффект излишней диверсисрикации характеризуется превышением темпов прироста издержек по ее осуществлению над темпами прироста доходности портфеля, что связано с возрастанием сложности качественного портфельного управления при увеличении количества ценных бумаг, увеличением вероятности приобретения некачественных ценных бумаг, ростом издержек по отбору ценных бумаг, по покупке мелких лотов ценных бумаг и другими отрицательными явлениями.


<== предыдущая страница | следующая страница ==>
Принципы, этапы, факторы | Капитальных активов (модель Шарпа)

Дата добавления: 2015-07-26; просмотров: 166; Нарушение авторских прав




Мы поможем в написании ваших работ!
lektsiopedia.org - Лекциопедия - 2013 год. | Страница сгенерирована за: 0.147 сек.