Студопедия

Мы поможем в написании ваших работ!




Гліцерофосфоліпіди

Гліцерофосфоліпіди,або фосфатиди,– складні ефіри гліцерину, вищих жирних кислот, фосфорної кислоти і азотистої основи. Їх розглядають як похідні фосфатидної кислоти, звідки і береться назва цієї групи фосфоліпідів:

Залежно від характеру азотистої основи серед фосфатидів розрізняють:

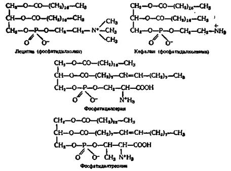
§ фосфатидилхолін (лецитини),

§ фосфатидилетаноламін (кефаліни),

§ фосфатидилсерин,

§ фосфатидилтреонін:

Три перші види азотвмісних фосфатидів, можливо, можуть переходити один в одного, оскільки вони відрізняються лише будовою азотистих основ, між якими можливий, наприклад, такий генетичний зв'язок:

Встановлено також, що більшість фосфатидилхолінів і фосфатидилетаноламінів містять одну насичену вищу жирну кислоту в положенні С-1і однуненасичену вищу жирну кислоту в положенні С-2.

 

Лецитини, холінфосфатиди (від грец. lékithos – яєчний жовток) – ефіри аміноспирту холіну НОСН2 – СН2 – N+(СН3)3 і дигліцеридфосфорних кислот, одна з основних фракцій фосфоліпідів.

Молекули лецитинів утворені залишками гліцерину, жирних кислот (головним чином стеаринової, пальмітинової, олеїнової і лінолевої), фосфорної кислоти і холіну.

Лецитини мають високу біологічну активність, оскільки є донором метильних груп. Основна функція лецитинів в організмі – участь у побудові біологічних мембран.

Широко представлені в організмі тварин (у печінці, крові, речовині мозку, яєчному жовтку) і рослин (у насіннях сої і соняшника, зародках пшениці). Високий вміст фосфатидолхолінів характерний для спинного і головного мозку (12 – 35 %), жовтка яйця (6 – 12 %).

Кефаліни (від грец. kephale – голова), природні сполуки з групи складних ліпідів. Молекули кефалінів утворені залишками гліцерину, жирних кислот, фосфорної кислоти та аміноетилового спирту (етаноламінфосфатиди) або серину (серинфосфатиды).

Окремі представники кефалінів розрізняються між собою природою жирних кислот, що до них входять, з яких одна, як правило, ненасичена. Термін «кефалін» вживається для позначення неочищених фракцій відповідних фосфоліпідів.

Широко поширені в рослинному і тваринному організмах у складі біологічних мембран. Особливо багата на кефаліни нервова тканина (кефаліни вперше виділені з головного мозку).

 

Деякі фосфатиди не містять азотистої основи, місце якої в молекулі в цьому випадку займають гліцерин і його похідні:

Фосфатидилгліцеринє обов'язковою складовою частиною хлоропластів і в невеликих кількостях присутній в бактеріальних клітинх і тканинах тварин.

Кардіоліпін –один з найбільш необхідних сполук у складі мітохондріальних мембран, особливо в мітохондріях серцевого м'язу; він знайдений не лише у тварин, але і в рослинах і у бактерій.

Кардіоліпіни включають в себе три залишки гліцерину, чотири залишки вищих жирних кислот, два залишки фосфорної кислоти.



<== предыдущая страница | следующая страница ==>
Потребление алкоголя в России от Петра Великого до Первой Мировой войны. Упоминания о пьянстве во всех слоях общества. Формирование северного стиля потребления алкоголя | Терпени

Дата добавления: 2015-07-26; просмотров: 712; Нарушение авторских прав




Мы поможем в написании ваших работ!
lektsiopedia.org - Лекциопедия - 2013 год. | Страница сгенерирована за: 0.285 сек.