Студопедия

Мы поможем в написании ваших работ!




Замкнутая система исходных уравнений

 

Обычно искомыми величинами в задаче теории пластичности являются:

1. Компоненты напряжений σik – ? σik (x1,x2,x3) - ? 6 величин

2. Компоненты деформации

εik (x1,x2,x3) - ? 6 величин

3. Компоненты перемещений

Ui (x1,x2,x3) - ? 3 величины

 

Всего 15 искомых величин, которые являются координатными функциями (зависят от координат).

Исходные системы прежде всего дает МСС.

I. Уравнение статики или уравнение равновесия.

 

 

Имеем систему дифуров в частных производных от компонентов напряжений.

Система включает 6 функций σik (x1,x2,x3), которые однозначно определить только из этой системы невозможно. Статически неопределенная задача.

 

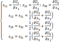
II. Геометрические уравнения (Коши)

Они дают связи между компонентами деформации и перемещения.

 

 

Система имеет 9 неизвестных величин – их надо указать – координатных функций.

ε11 (x1, x2, x3) 6

ε31 (x1, x2, x3)

U1 (x1, x2, x3) 9

U2 (x1, x2, x3) 3

U3 (x1, x2, x3)

Задача геометрически неопределимая.

Совместное рассмотрение первой и второй систем дает 9 уравнений с пятнадцатью неизвестными.

Для получения замкнутой системы необходимо еще 6 уравнений, не включающие новых неизвестных.

 

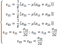
III. Физические или определяющие уравнения (реолог)

Эта система описывает связи между компонентами напряжения и деформации. Тем самым характеризуются механические свойства деформируемого материала.

Для упругой среды при линейной связи между напряжениями и деформациями имеет место обобщенный закон Гука.

Уравнения включают константы упругости:

Е – модуль упругости первого рода ;

Е – численно это то условное напряжение, при котором длина изменится вдвое то есть ε = 1.

G – модуль упругости II рода (модуль упругости на сдвиг) ;

μ – коэффициент Пуассона безразмерность.

Это коэффициент поперечной деформации. Показывает отношение поперечной деформации к продольной.

μст = 0,3

 

Для упругих сред указанные константы зависят только от материала.

Получили замкнутую систему уравнений (15) для определения НДС в деформируемой упругой среде.

Для постановки задачи теории пластичности необходимо записать физические уравнения так, чтобы они характеризовали пластическую деформацию (в какой-либо модификации).

Один из удобных вариантов такой записи – это использование вместо констант упругости других величин. Например, для упруго-пластических сред используют модули деформации: E, G, μ.

Эти величины переменные. Они зависят не только от материала, но и от уровня достигнутой деформации.

 


<== предыдущая страница | следующая страница ==>
Граничные условия в задачах теории пластичности | Условие пластичности

Дата добавления: 2015-07-26; просмотров: 197; Нарушение авторских прав




Мы поможем в написании ваших работ!
lektsiopedia.org - Лекциопедия - 2013 год. | Страница сгенерирована за: 0.092 сек.